ORIGINAL RESEARCH article
Front. Plant Sci.
Sec. Sustainable and Intelligent Phytoprotection
This article is part of the Research TopicAdvancing Plant Science with UAVs: Precision in Agricultural Sensing, Targeted Protection, and PhenotypingView all 6 articles
Optimising nitrogen topdressing for winter wheat by coupling remote sensing data with the DSSAT model
Provisionally accepted- 1Beijing Academy of Agricultural and Forestry Sciences, Beijing, China
- 2Shanxi Agricultural University, Taiyuan, China
- 3Henan Academy of Agricultural Sciences, Zhengzhou, China
Select one of your emails
You have multiple emails registered with Frontiers:
Notify me on publication
Please enter your email address:
If you already have an account, please login
You don't have a Frontiers account ? You can register here
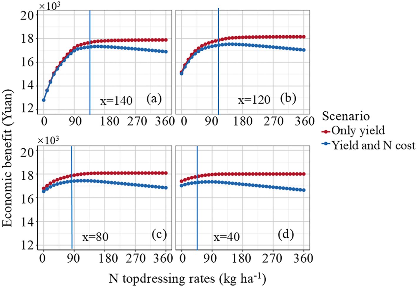
Excessive fertilization not only causes environmental pollution and degrades water and soil quality but also increases production costs and reduces agricultural sustainability. Based on two consecutive years of field experiments, this study developed a two-step data assimilation strategy for nitrogen (N) topdressing recommendations for winter wheat. First, a data assimilation system was established by minimising the discrepancy between aboveground dry biomass (AGB) estimated from remote sensing and that simulated by the crop growth model using a particle swarm optimization approach. Second, target yields under varying growth conditions were constructed using the DSSAT model and N economic return curves to enable optimised N fertilization recommendations. AGB monitoring model was developed, achieving satisfactory results in both the calibration and validation datasets, with determination coefficient (R²) (normalised root mean square error (nRMSE)) values of 0.94 (13.62%) and 0.82 (15.42%), respectively. Based on the data assimilation system, the data assimilation stability for AGB and yield are relatively high. The nRMSE values for AGB are 11.20% and 19.44% for the training and validation datasets, respectively. The nRMSE values for yield are 6.35% and 11.22% for the training and validation datasets, respectively. The data assimilation-based recommended fertilization shows a negative power-law relationship with AGB at the jointing stage (R² = 0.65). Under different yield levels, fertilization was reduced by 6.69%–34.08% compared with that under high yield levels. This study balances yield and production costs by developing a data assimilation strategy for N fertilization recommendations, which can maintain high productivity and sustainability.
Keywords: winter wheat, data assimilation, Nitrogen topdressing, remote sensing, Crop growth model
Received: 02 Jul 2025; Accepted: 31 Oct 2025.
Copyright: © 2025 Zhao, Wen, Wang, Xiao, Li, Li, Feng, Yang and Feng. This is an open-access article distributed under the terms of the Creative Commons Attribution License (CC BY). The use, distribution or reproduction in other forums is permitted, provided the original author(s) or licensor are credited and that the original publication in this journal is cited, in accordance with accepted academic practice. No use, distribution or reproduction is permitted which does not comply with these terms.
* Correspondence: Yu  Zhao, zy928286257@163.com
Disclaimer: All claims expressed in this article are solely those of the authors and do not necessarily represent those of their affiliated organizations, or those of the publisher, the editors and the reviewers. Any product that may be evaluated in this article or claim that may be made by its manufacturer is not guaranteed or endorsed by the publisher.
