ORIGINAL RESEARCH article
Front. Plant Sci.
Sec. Crop and Product Physiology
This article is part of the Research TopicEnhancing Agricultural Water Management: Techniques for Improving Crop Water Efficiency and Sustainability, Volume IIView all 6 articles
Biochar and anionic polyacrylamide modulated soil hydraulic functions catalyze water saving, root development and yield of basmati rice
Provisionally accepted- 1Sher-e-Kashmir University of Agricultural Sciences and Technology of Jammu, Jammu, India
- 2Faculty of Agriculture, Sher-e-Kashmir University of Agricultural Sciences and Technology of Kashmir, Srinagar, India
- 3Gandhi Institute of Technology and Management, Visakhapatnam, India
- 4King Saud University Department of Botany & Microbiology, Riyadh, Saudi Arabia
- 5Amity University Noida, Noida, India
- 6King Saud University, Riyadh, Saudi Arabia
- 7Lovely Professional University College of Agriculture Science, Phagwara, India
- 8Indian Institute of Technology Jammu, Jammu, India
- 9Universidade da Coruna, A Coruña, Spain
- 10KLE Technological University, Hubballi, India
Select one of your emails
You have multiple emails registered with Frontiers:
Notify me on publication
Please enter your email address:
If you already have an account, please login
You don't have a Frontiers account ? You can register here
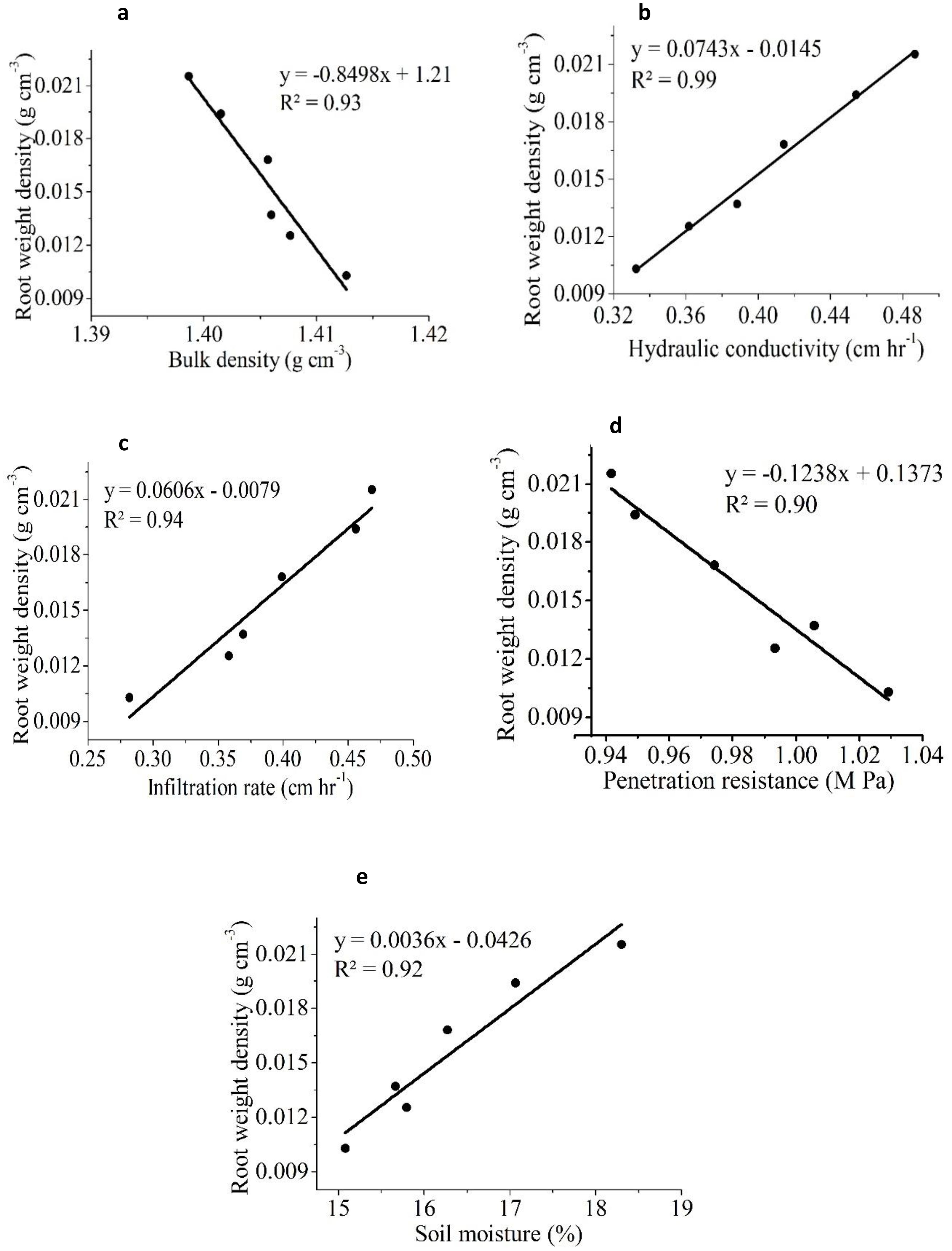
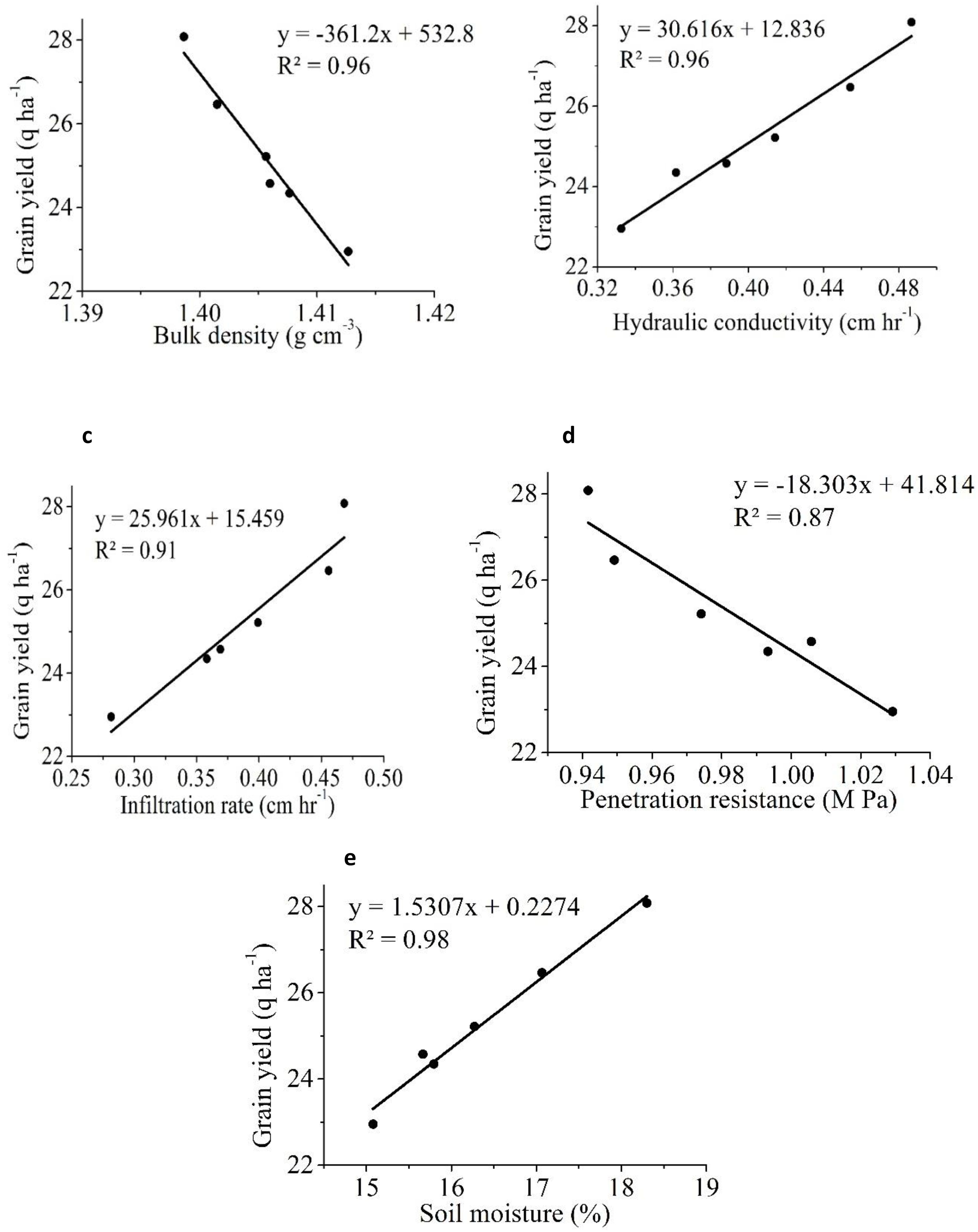
Efficient water use while maintaining rice productivity remains a major challenge amid declining water resources. Biocharwith large surface area and hydrophilic polymers, such as anionic polyacrylamide (PAM), can enhance soil moisture and nutrient retention. However, their combined effects on rice growth and soil hydro-physical properties have not been fully explored. This study evaluated the influence of biochar and PAM on soil properties, water retention, root growth, and rice performance under two establishment methods: the System of Rice Intensification (SRI) and Conventional Method (CM). A two-year field experiment was conducted on sandy clay loam soil using a split-plot design with SRI and CM as main plots and six soil amendment treatments (control, biochar, and polymer) as subplots, replicated thrice.Results showed that SRI produced 15% higher grain yield while using 28.2% less irrigation water compared with CM. SRI also improved soil moisture (SM) content, infiltration rate (IR), hydraulic conductivity (HC), and water productivity (WP) by 6.6%, 5.4%, 9.0%, and 46.5%, respectively. Root length and weight densities under SRI were 1.31 and 1.62 times higher than under CM. The application of biochar (10 t ha⁻¹) and PAM (10 kg ha⁻¹) significantly enhanced soil physical attributes, resulting in 1.22 and 1.27 times increases in grain yield and root length density, respectively, over the control. Integrating biochar and polymer with SRI reduced irrigation water use by 39.45% compared with CM. Overall, the combination of biochar (10 t ha⁻¹) and PAM (10 kg ha⁻¹) under SRI effectively improved soil hydro-physical properties, root development, water productivity, and rice yield in the sub-humid tropical Inceptisols of northern India.
Keywords: biochar, polymer, SRI, root growth, Water saving
Received: 05 Jul 2025; Accepted: 20 Nov 2025.
Copyright: © 2025 Vikas, Sharma, Shabir, Gupta, Gupta, Samnotra, Chandra, Bashir, Amjid, Singh, Hashem, KUMAR, Abd_Allah, Kumar, Sandhu, Chembolu, Lado and Hublikar. This is an open-access article distributed under the terms of the Creative Commons Attribution License (CC BY). The use, distribution or reproduction in other forums is permitted, provided the original author(s) or licensor are credited and that the original publication in this journal is cited, in accordance with accepted academic practice. No use, distribution or reproduction is permitted which does not comply with these terms.
* Correspondence:
Abrol Vikas, abrolvics@gmail.com
Manish Kumar, manishkumar.bt@gmail.com
Disclaimer: All claims expressed in this article are solely those of the authors and do not necessarily represent those of their affiliated organizations, or those of the publisher, the editors and the reviewers. Any product that may be evaluated in this article or claim that may be made by its manufacturer is not guaranteed or endorsed by the publisher.
