ORIGINAL RESEARCH article
Front. Plant Sci.
Sec. Plant Pathogen Interactions
Volume 16 - 2025 | doi: 10.3389/fpls.2025.1668191
This article is part of the Research TopicNon-chemical Strategies for Managing Plant Diseases and Abiotic StressesView all 4 articles
Intrinsic host range of the root-knot nematodes Meloidogyne enterolobii and virulent M. incognita populations
Provisionally accepted- 1Julius Kühn Institute, Institute for Plant Protection in Field Crops and Grassland, Braunschweig, Germany
- 2Faculty of Organic Agricultural Sciences, section Ecological Plant Protection, Universität Kassel., Witzenhausen, Germany
- 3INRAE, Université Côte d’Azur, CNRS, Institut Sophia-Agrobiotech,, Sophia Antipolis, France
Select one of your emails
You have multiple emails registered with Frontiers:
Notify me on publication
Please enter your email address:
If you already have an account, please login
You don't have a Frontiers account ? You can register here
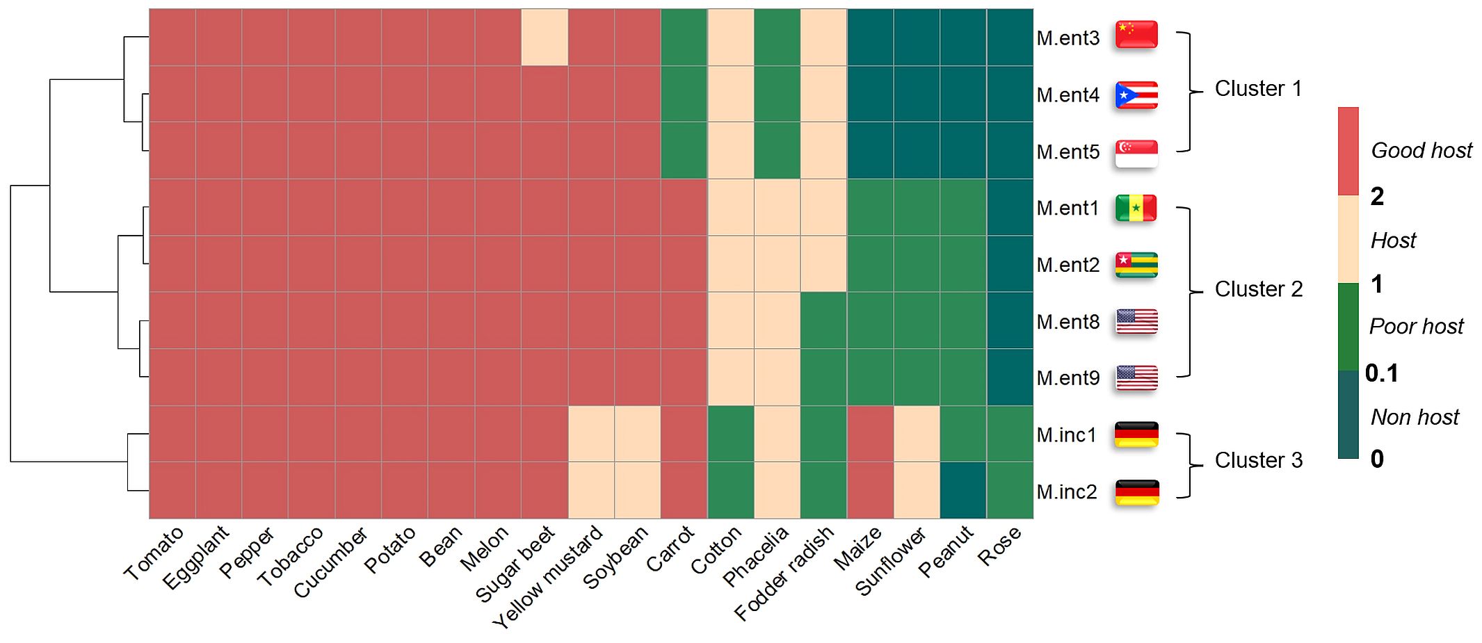
The root-knot nematode Meloidogyne enterolobii poses a significant challenge in agricultural production systems due to its damage potential and the ability to overcome plant resistance genes, which are effective against other root-knot nematode species. With little plant resistance available, few nematicides still allowed, crop rotation with non- or poor host plants is the only option for managing M. enterolobii. As virulence and pathogenicity can vary between Meloidogyne populations, determination of the intrinsic host range and pathogenicity of M. enterolobii populations is crucial for the implementation of effective management strategies in the future. In greenhouse experiments, the host range and pathogenicity of seven M. enterolobii populations were tested on 19 plant species. In addition, two populations of M. incognita, virulent against tomato Mi-1 resistance gene, were included in this study, as they had demonstrated a similar range of reproductive potential and damage compared to M. enterolobii. The study revealed that tomato, eggplant, pepper, tobacco, cucumber, potato, bean, melon, sugar beet, yellow mustard, and soybean were good hosts for all tested Meloidogyne populations. However, variations in reproduction among populations were observed in carrot, cotton, phacelia, fodder radish, maize, sunflower, and peanut. In rose, none of the M. enterolobii populations reproduced (reproduction factor: RF< 0.1). However, virulent M. incognita populations allowed some multiplication with RF > 0.1, but below 1.0. Curiously, three M. enterolobii populations (M.ent3, 4 and 5) showed a lower RF compared to the remaining populations, but were more damaging, resulting in reduced root and shoot fresh weight of the majority of the host plants tested. This is the first study comparing multiple populations of M. enterolobii, including the two type populations, from different geographic regions with a large panel of plant species. This study provides crucial information to develop new and sustainable control strategies against the quarantine nematode M. enterolobii.
Keywords: damage, greenhouse, Reproduction factor, Quarantine nematode, host plant
Received: 17 Jul 2025; Accepted: 16 Oct 2025.
Copyright: © 2025 Konigopal, Finckh, Bailly-Bechet, Danchin and Kiewnick. This is an open-access article distributed under the terms of the Creative Commons Attribution License (CC BY). The use, distribution or reproduction in other forums is permitted, provided the original author(s) or licensor are credited and that the original publication in this journal is cited, in accordance with accepted academic practice. No use, distribution or reproduction is permitted which does not comply with these terms.
* Correspondence: Sebastian Kiewnick, sebastian.kiewnick@julius-kuehn.de
Disclaimer: All claims expressed in this article are solely those of the authors and do not necessarily represent those of their affiliated organizations, or those of the publisher, the editors and the reviewers. Any product that may be evaluated in this article or claim that may be made by its manufacturer is not guaranteed or endorsed by the publisher.
