ORIGINAL RESEARCH article
Front. Plant Sci.
Sec. Plant Nutrition
Effects of Deep Tillage combined with Organic Amendments Application on Carbon and Nitrogen Storage within Aggregates and Wheat Yield
Provisionally accepted- Anhui Academy of Agricultural Sciences Soil and Fertilizer Research Institute, Hefei, China
Select one of your emails
You have multiple emails registered with Frontiers:
Notify me on publication
Please enter your email address:
If you already have an account, please login
You don't have a Frontiers account ? You can register here
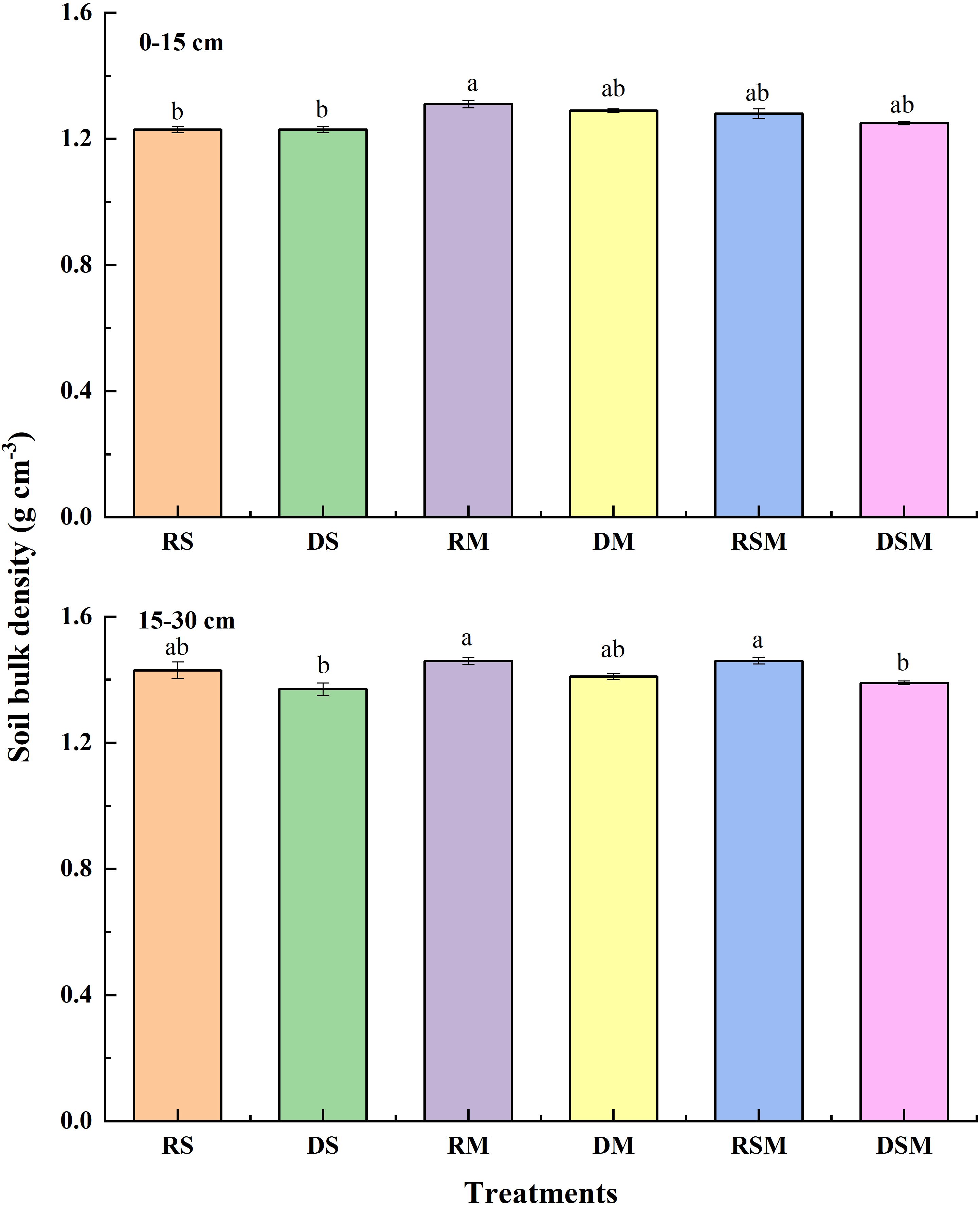
Soil organic carbon (SOC) and total nitrogen (TN) stocks are key determinants of the productive capacity of agricultural soils. This study investigated the effects of six-year tillage practices combined with organic amendments on soil aggregate-associated SOC and TN stocks and their relationship with wheat yield. In a field experiment (initiated in 2016), the following treatments were applied: rotary tillage with straw, rotary tillage with manure, rotary tillage with straw plus manure, deep tillage with straw, deep tillage with manure and deep tillage with straw plus manure. Results indicated that, relative single organic amendments, both rotary and deep tillage with straw plus manure significantly enhanced macro-aggregate-associated SOC and TN stocks in the 0–15 cm layer by 7.86–23.29% and 16.36– 18.99%, respectively. In the 15–30 cm layer, deep tillage with single organic amendments increased macro-aggregate-associated SOC and TN contents by 7.56–18.81% and 5.29–21.47%, respectively compared with rotary tillage. However, deep tillage also reduced macro-aggregate proportions by 5.36–8.16%, which decreased associated SOC and TN stocks by 6.12–7.87% and 6.99–8.53%, respectively. In contrast, deep tillage with straw plus manure increased macro-aggregate-associated SOC and TN contents (18.42–19.39% and 10.17–12.76%, respectively) without reducing macro-aggregate proportions, thereby enhancing SOC and TN stocks in macro-aggregates by 10.49–26.89% and 9.07–26.32%, respectively. The enrichment of macro-aggregate-associated SOC and TN stocks, particularly in the subsoil, showed strong positive correlations with wheat yield. These findings demonstrate that deep tillage combined with straw plus manure is an effective management practice to improve soil aggregate stability, increase subsoil SOC and TN stocks, and sustain high wheat productivity.
Keywords: Carbon, Nitrogen, wheat, straw retention, Manure addition
Received: 20 Jul 2025; Accepted: 14 Nov 2025.
Copyright: © 2025 Cheng, Bu, Han, Tang, Wang, Li, Zhu, Jiang, Tang and Wu. This is an open-access article distributed under the terms of the Creative Commons Attribution License (CC BY). The use, distribution or reproduction in other forums is permitted, provided the original author(s) or licensor are credited and that the original publication in this journal is cited, in accordance with accepted academic practice. No use, distribution or reproduction is permitted which does not comply with these terms.
* Correspondence: Ji Wu, wujiahtfs@126.com
Disclaimer: All claims expressed in this article are solely those of the authors and do not necessarily represent those of their affiliated organizations, or those of the publisher, the editors and the reviewers. Any product that may be evaluated in this article or claim that may be made by its manufacturer is not guaranteed or endorsed by the publisher.
