ORIGINAL RESEARCH article
Front. Plant Sci.
Sec. Plant Bioinformatics
Genome-wide Characterization of WRKY Family Genes in Four Araceae Species and Their Expression Analysis in Amorphophallus konjac
Provisionally accepted- Kunming University, Kunming, China
Select one of your emails
You have multiple emails registered with Frontiers:
Notify me on publication
Please enter your email address:
If you already have an account, please login
You don't have a Frontiers account ? You can register here
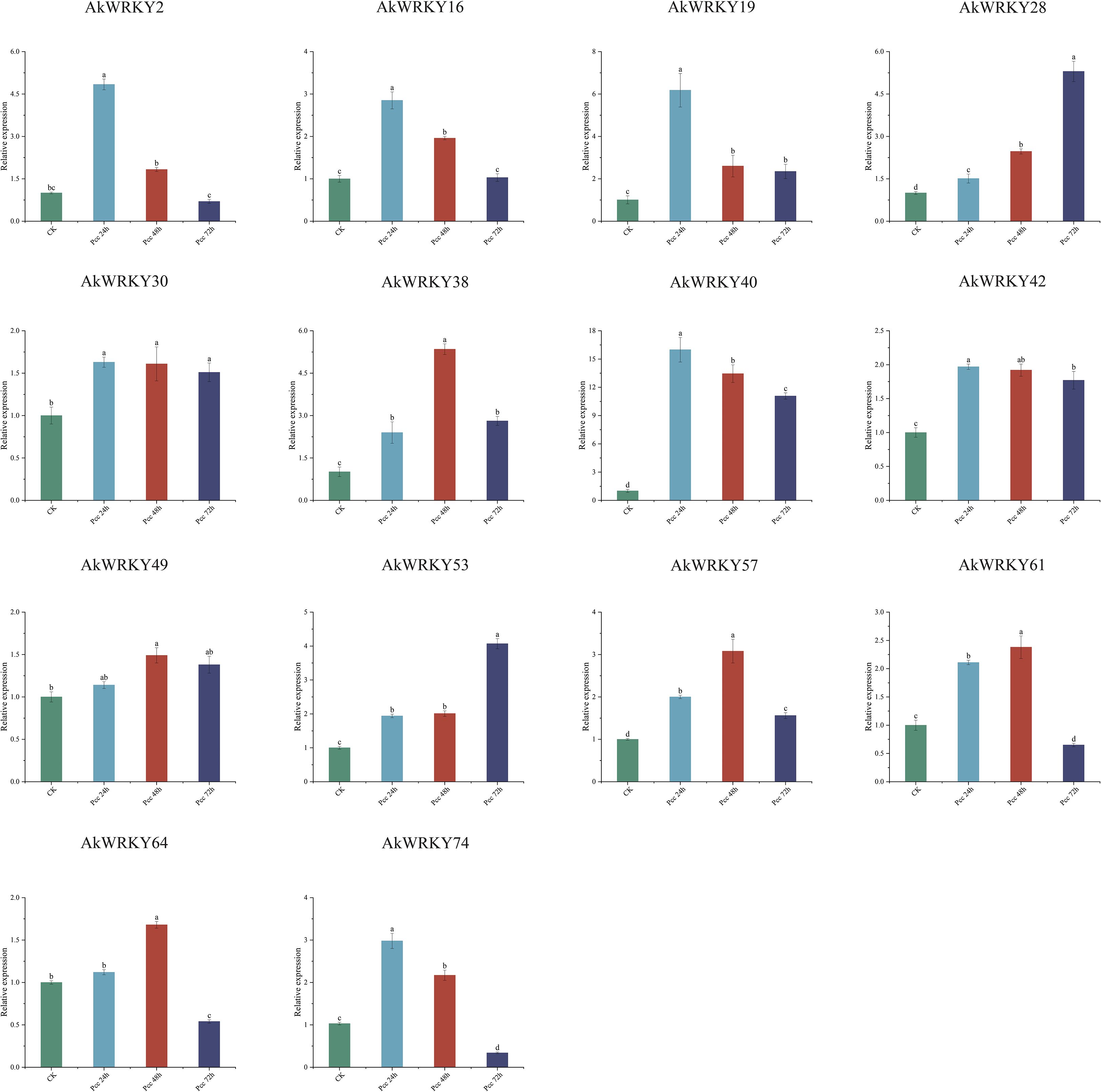
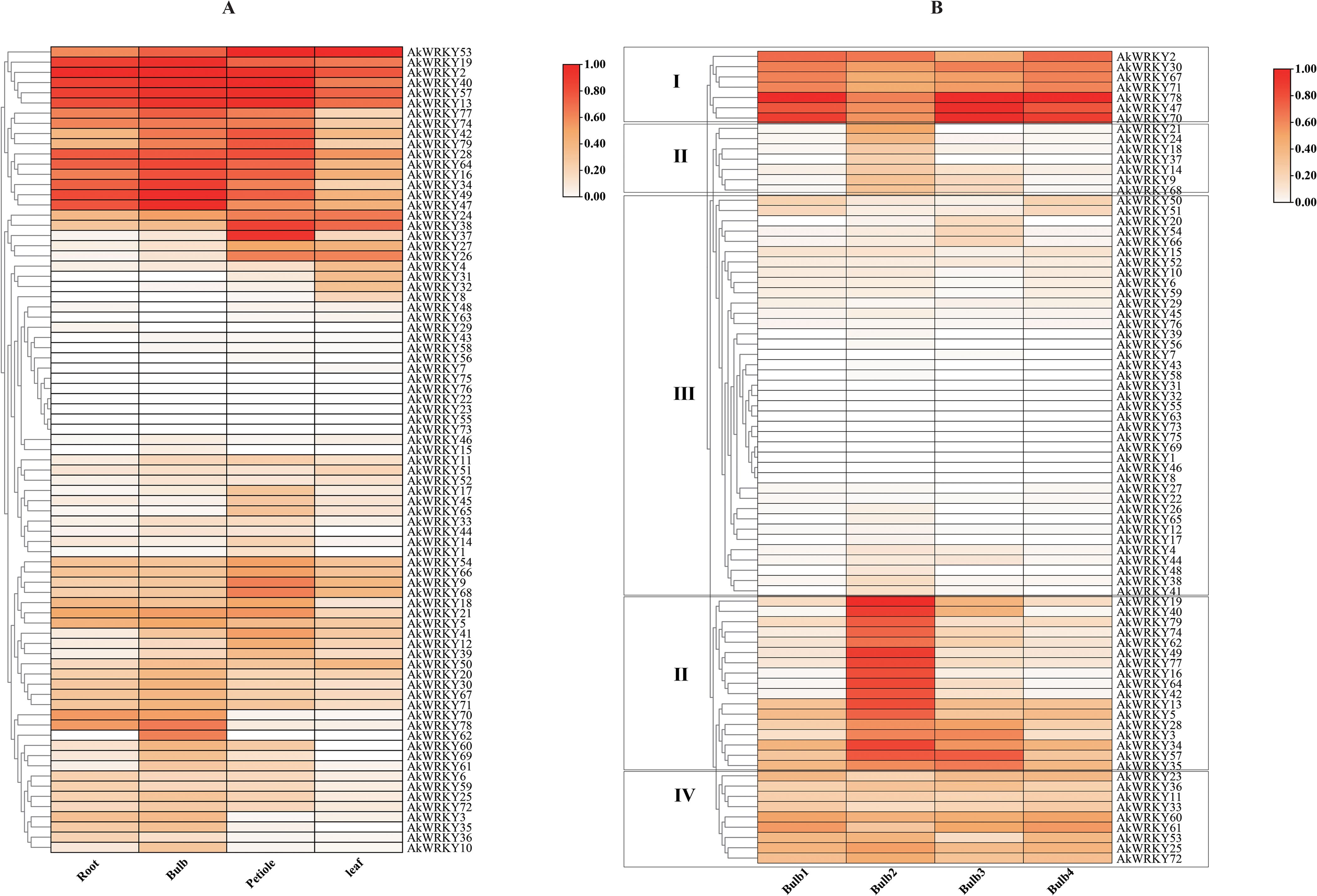
Introduction: The Araceae family is a large family of angiosperms containing many economically valuable and ecologically important species, such as Amorphophallus, Zantedeschia elliottiana, and Spirodela intermedia. The WRKY family is one of the largest plant-specific transcription factor families and plays a crucial role in plant responses to biotic and abiotic stresses. Methods: In this study, WRKY family members were identified and characterized in four species—Amorphophallus konjac (A. konjac), Amorphophallus albus (A. albus), Zantedeschia elliottiana (Z. elliottiana), and Spirodela intermedia (S. intermedia)—using bioinformatics approaches. Characterization included analyses of physicochemical properties, gene structure, phylogenetic relationships, chromosomal distribution, collinearity, and cis-regulatory elements. Expressions were specifically performed in A. konjac using transcriptomics data to examine AkWRKY expression across various tissues and stages of corm development. These expression profiles were further validated by quantitative real-time PCR (qRT-PCR), including tissue types (leaf, petiole, corm, and root); hormone treatments (abscisic acid [ABA]); jasmonic acid (JA); salicylic acid (SA); biotic stress (infection by Pectobacterium carotovorum subsp. carotovorum [Pcc]), and abiotic stresses (low temperature, drought, and salt). Results: A total of 79, 57, 59, and 36 WRKY members were identified in A. konjac, A. albus, Z. elliottiana, and S. intermedia, respectively, with the majority predicted to be localized in the nucleus. Most WRKY members contained the conserved heptapeptide WRKYGQK domain within their motifs, and genes within the same subgroup shared similar gene structures and motif distributions. Phylogenetic analysis revealed that most Araceae WRKY members belong to Group II. Collinearity analysis indicated that segmental duplication was the primary driving force for the expansion of the WRKY gene family in these Araceae species (Ka/Ks < 1), suggesting the action of purifying selection. Cis-element analysis revealed that the promoter regions of WRKY genes contain numerous regulatory elements associated with plant growth and development, hormone regulation, stress responses, and light responses.
Keywords: WRKY, Araceae, bioinformatics, Expansion and contraction analysis, Biotic and Abiotic Stresses, Gene Expression Profiling
Received: 22 Jul 2025; Accepted: 10 Nov 2025.
Copyright: © 2025 Shi, Zou, Yang, Qi, Gao, Zhao, Huang, Liu, Zhao, Yu and Li. This is an open-access article distributed under the terms of the Creative Commons Attribution License (CC BY). The use, distribution or reproduction in other forums is permitted, provided the original author(s) or licensor are credited and that the original publication in this journal is cited, in accordance with accepted academic practice. No use, distribution or reproduction is permitted which does not comply with these terms.
* Correspondence:
Lei Yu, yulei0425@163.com
fang Li Li, csqsmile@126.com
Disclaimer: All claims expressed in this article are solely those of the authors and do not necessarily represent those of their affiliated organizations, or those of the publisher, the editors and the reviewers. Any product that may be evaluated in this article or claim that may be made by its manufacturer is not guaranteed or endorsed by the publisher.
