ORIGINAL RESEARCH article
Front. Plant Sci.
Sec. Plant Physiology
Effects of nitrogen reduction and aged biochar on soil properties, root characteristics and ascorbic acid glutathione cycle of dryland maize
Provisionally accepted- 1College of Agriculture, Inner Mongolia Agricultural University, Hohhot, China
- 2Vocational and Technical College, Inner Mongolia Agricultural University, Baotou 014109, China, Baotou, China
- 3Hohhot Agricultural and Animal Husbandry Technology Extension Center, Hohhot 010019, China., Hohhot, China
Select one of your emails
You have multiple emails registered with Frontiers:
Notify me on publication
Please enter your email address:
If you already have an account, please login
You don't have a Frontiers account ? You can register here
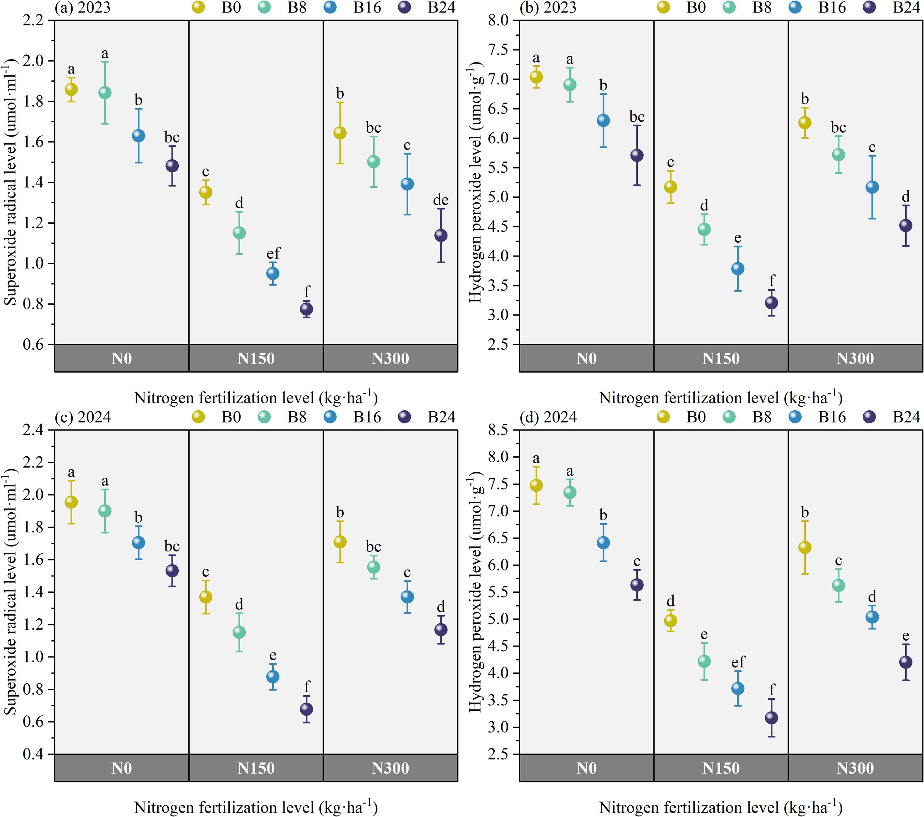
Abstract: Nitrogen (N) and Biochar (B) are well-documented in plant and soil improvement, but their regulatory role in mitigating plant oxidative stress under dryland cultivation is poorly understood. The current study was conducted to investigate the effect of nitrogen reduction and aged biochar on soil texture, root characteristics, antioxidants activities, and yield of maize under dryland cultivation. A split plot design was employed in the field experiments, incorporating three nitrogen levels (N0:0, N150:150 and N300:300 kg N·ha-1) and four biochar application rates (B0:0, B8:8, B16:16 and B24:24 t·ha-1). The soil bulk density (SBD) under B24 decreased by 11.07%, however, the soil porosity (SP) increased by 15.11% as compared to B0. The activities of N-acetyl-β-D-glucosaminidase (NAG) and leucine aminopeptidase (LAP) under N150 treatment increased by 42.82% and 17.20% as compared to N300. B8, B16, and B24 treatment significantly increased total root length (TRL) and total root surface area (TRSA) by 5.72-18.65% and 19.12-38.56%, as compared to B0. Maize experienced less oxidative stress under N150 treatment due to the lower accumulation of superoxide radical (O₂⁻) by 38.32%, and hydrogen peroxide (H2O2) by 19.25% as compared to N300 treatment. The addition of 24t ha-1 biochar reduced the levels of O₂⁻ and H2O2 by increasing the activities of superoxide dismutase (SOD) by 13.64%, ascorbate peroxidase (APX) 11.86%, monodehydroascorbate reductase (MDHAR) 13.13%, dehydroascorbic reductase (DHAR) 11.50%, and glutathione reductase (GR) 9.82% compared to B0. The results revealed that nitrogen reduction and aged biochar could alleviate the harmful effects of drought stress by improving soil quality, root characteristics, and the enzyme activities in ascorbic acid glutathione (AsA-GSH) cycle of maize which indicate that the nitrogen reduction and aged biochar application might be a sustainable strategy to enhance maize growth under dryland cultivation.
Keywords: Nitrogen, Aged biochar, Soil, root, AsA-GSH cycle, Dryland maize
Received: 24 Jul 2025; Accepted: 15 Oct 2025.
Copyright: © 2025 Sun, Ji, Liu, Wang, Hu, Zhou, Liu, Li, Du, Cao, Wang and Sun. This is an open-access article distributed under the terms of the Creative Commons Attribution License (CC BY). The use, distribution or reproduction in other forums is permitted, provided the original author(s) or licensor are credited and that the original publication in this journal is cited, in accordance with accepted academic practice. No use, distribution or reproduction is permitted which does not comply with these terms.
* Correspondence: Jiying Sun, jiying-sun@imau.edu.cn
Disclaimer: All claims expressed in this article are solely those of the authors and do not necessarily represent those of their affiliated organizations, or those of the publisher, the editors and the reviewers. Any product that may be evaluated in this article or claim that may be made by its manufacturer is not guaranteed or endorsed by the publisher.
