ORIGINAL RESEARCH article
Front. Plant Sci.
Sec. Plant Abiotic Stress
Volume 16 - 2025 | doi: 10.3389/fpls.2025.1679444
Genotypic Variation in Yield, Physiological Traits, and Drought Tolerance of Quinoa (Chenopodium quinoa Willd.) under Arid Conditions
Provisionally accepted- 1King Abdulaziz University, Jeddah, Saudi Arabia
- 2King Abdulaziz University, Department of Agriculture, Faculty of Environment Sciences, Jeddah 21589, Saudi Arabia, Jeddah, Saudi Arabia
Select one of your emails
You have multiple emails registered with Frontiers:
Notify me on publication
Please enter your email address:
If you already have an account, please login
You don't have a Frontiers account ? You can register here
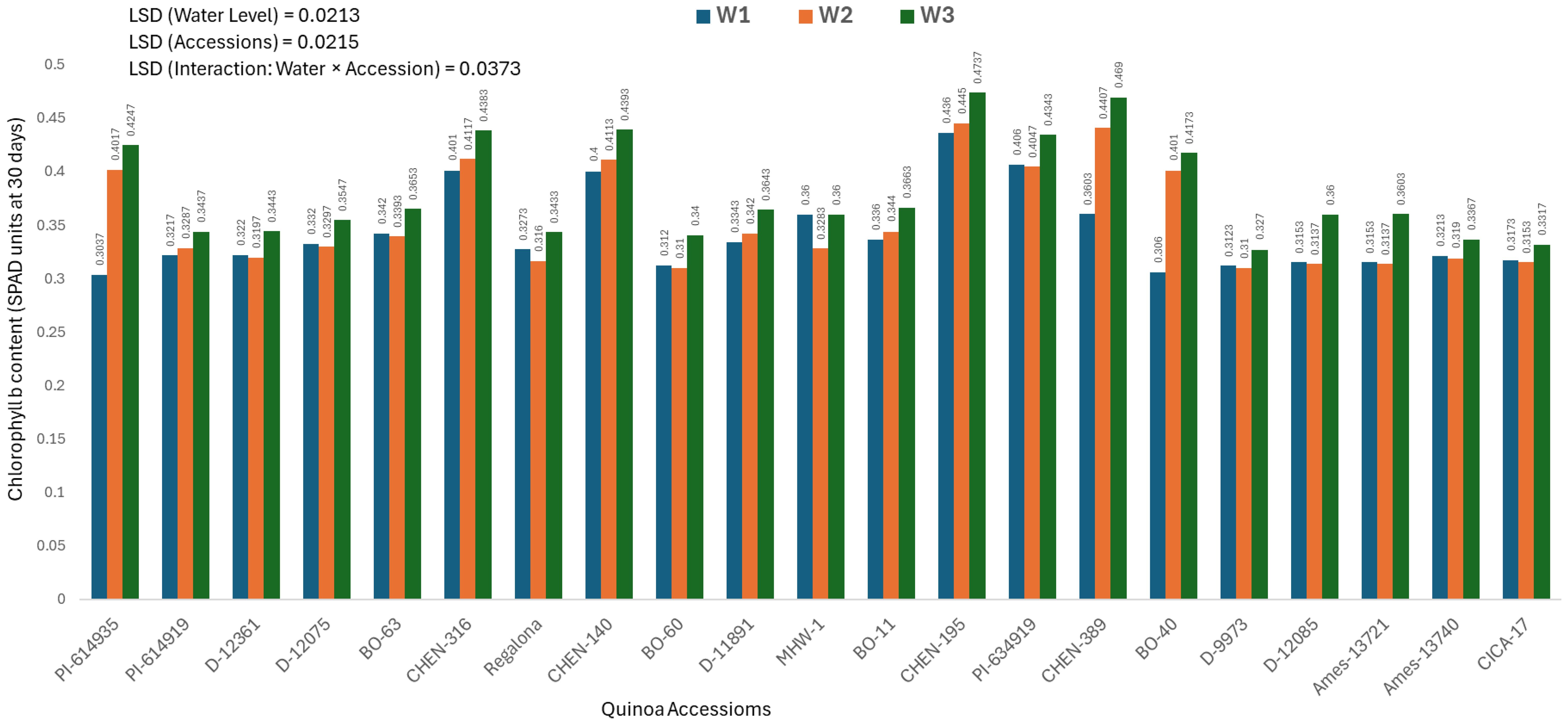
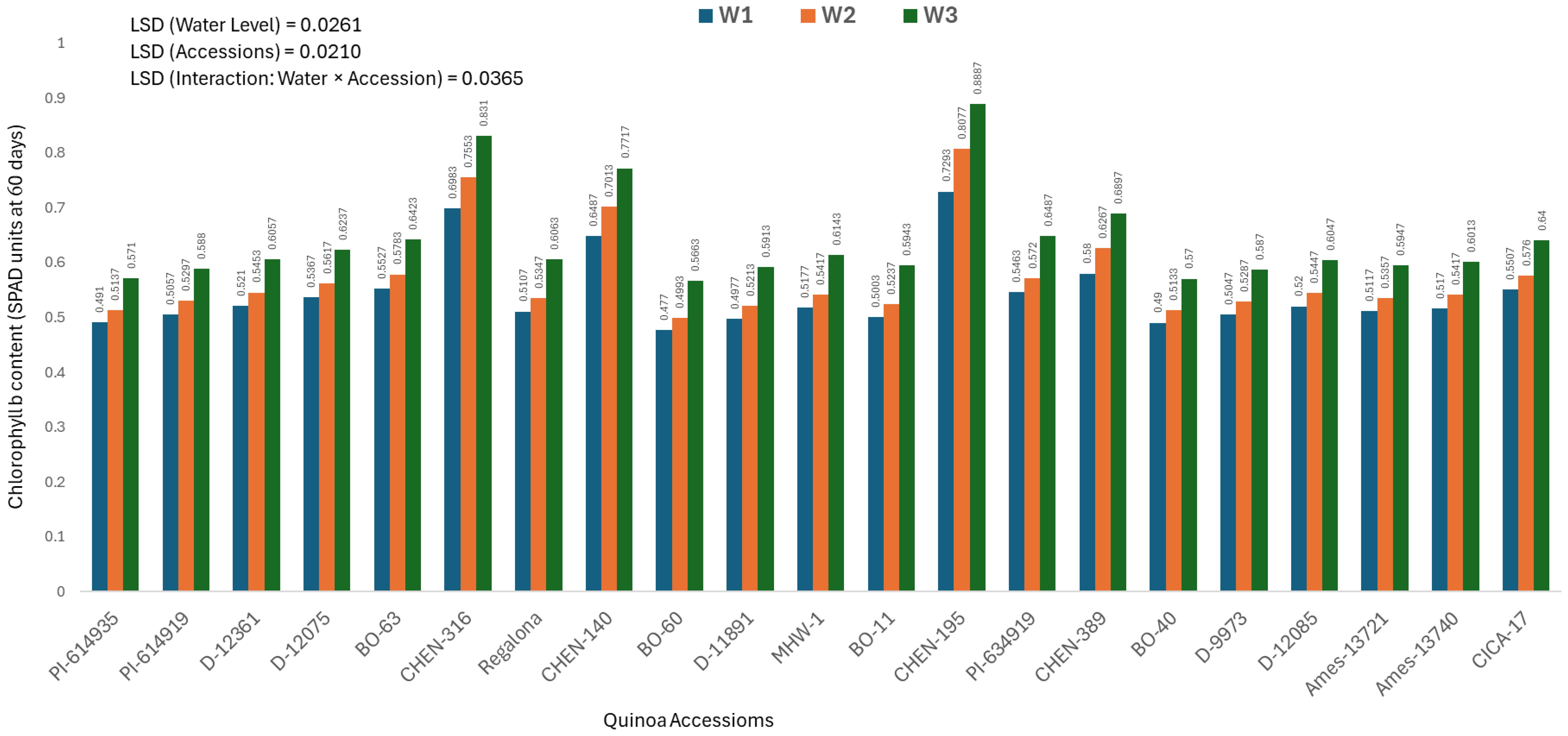
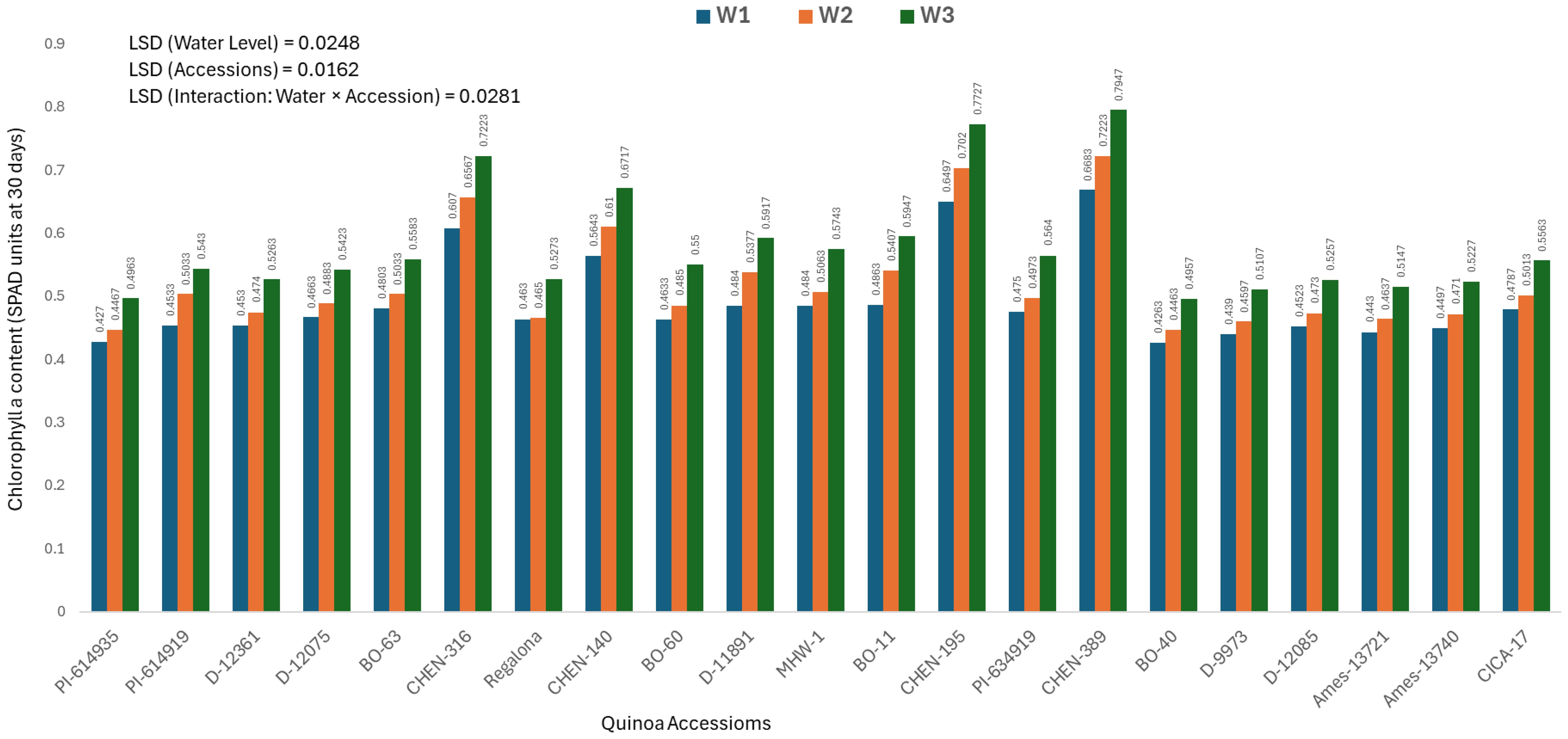
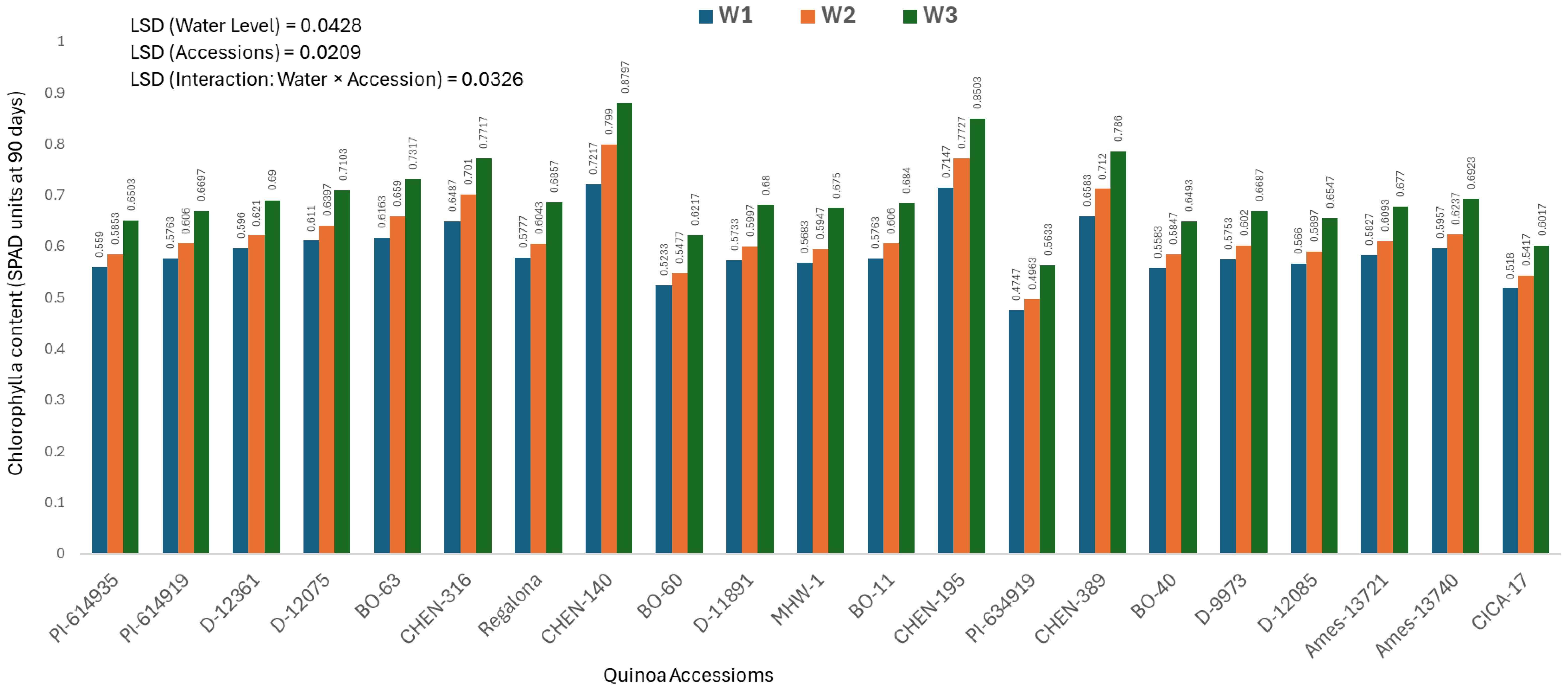
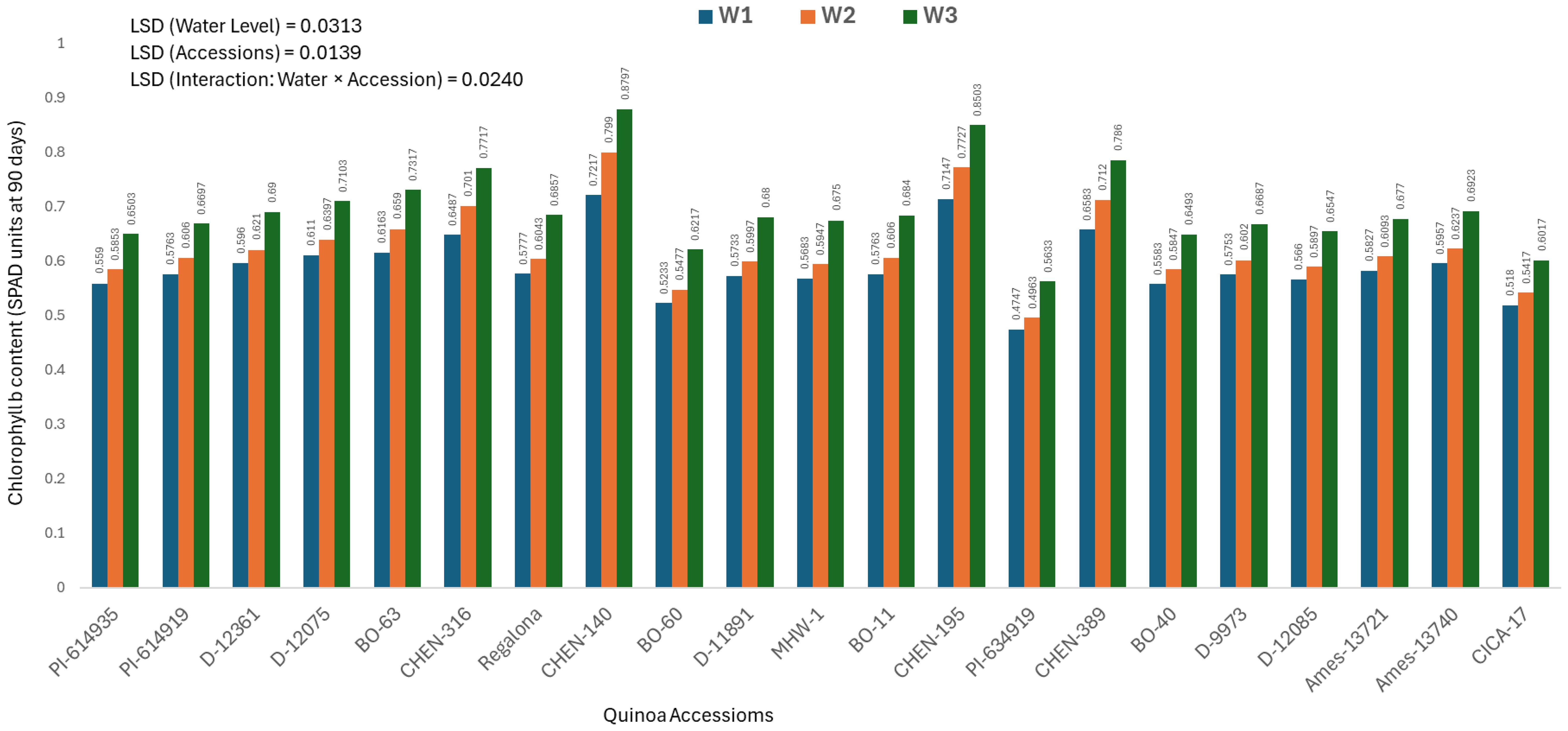
Water scarcity poses a critical challenge to agriculture in arid and semi-arid regions, where efficient resource use is crucial for sustainability. This study evaluated 21 quinoa (Chenopodium quinoa Willd.) accessions under three drip irrigation regimes: W1 (15 min), W2 (10 min), and W3 (5 min) applied twice daily using a split-plot design with three replications in the arid conditions of western Saudi Arabia. Significant effects of irrigation, genotype, and their interaction were observed for key phenological, morphological, physiological, and yield traits. Accessions CHEN-195, CHEN-316, and CHEN-140 consistently outperformed others, achieving the highest seed yields per plant (up to 13.58 g) and per hectare (2400.2 kg ha⁻¹), with superior 1000-seed weights and stable chlorophyll a and b content across developmental stages. PCA explained 70.7% of the variation, with yield, plant height, and drought tolerance indices as major contributors. Heatmap clustering confirmed performance groupings, reinforcing the potential of selected accessions for water-efficient cultivation. These findings highlight the promise of quinoa as a resilient crop for arid regions and support breeding programs targeting improved drought tolerance and resource use efficiency.
Keywords: Quinoa, drought tolerance, Irrigation regimes, seed yield, Chlorophyll, PCA, arid agriculture, genotypic variation
Received: 04 Aug 2025; Accepted: 02 Oct 2025.
Copyright: © 2025 Mousa, Asiry, Alqurashi, Almasoudi and Elsayed. This is an open-access article distributed under the terms of the Creative Commons Attribution License (CC BY). The use, distribution or reproduction in other forums is permitted, provided the original author(s) or licensor are credited and that the original publication in this journal is cited, in accordance with accepted academic practice. No use, distribution or reproduction is permitted which does not comply with these terms.
* Correspondence: Magdi A. A. Mousa, mamousa@kau.edu.sa
Disclaimer: All claims expressed in this article are solely those of the authors and do not necessarily represent those of their affiliated organizations, or those of the publisher, the editors and the reviewers. Any product that may be evaluated in this article or claim that may be made by its manufacturer is not guaranteed or endorsed by the publisher.
