ORIGINAL RESEARCH article
Front. Plant Sci.
Sec. Plant Abiotic Stress
This article is part of the Research TopicPolyamines in Plant Stress Responses and DevelopmentView all 8 articles
Effects of exogenous spermidine on the morphology and physiology of two ecological grasses under flooding stress
Provisionally accepted- Yangtze University, Jingzhou, China
Select one of your emails
You have multiple emails registered with Frontiers:
Notify me on publication
Please enter your email address:
If you already have an account, please login
You don't have a Frontiers account ? You can register here
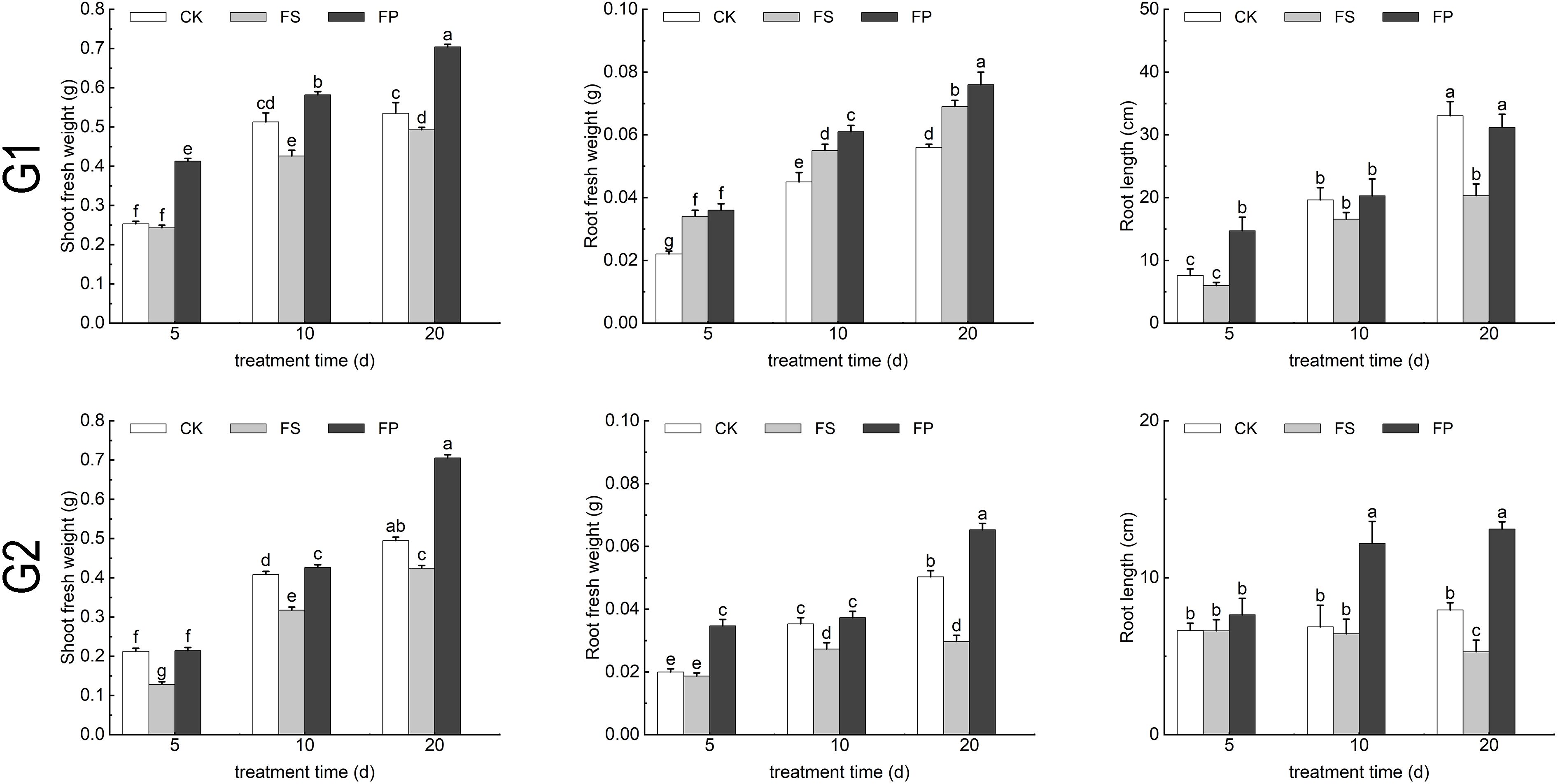
This study used Elytrigia elongata and Cynodon dactylon × C. transvaalensis 'Tifdwarf' as experimental materials. Flooding stress was simulated by raising the water level 2 cm above the soil surface, while the control (CK) involved conventional water management. Three treatments were applied: flooding stress alone (FS), and flooding combined with 1 mmol/L spermidine (FP). Each treatment lasted for 5, 10 and 20 days. The aim was to investigate the impact of 1 mmol/L spermidine (Spd) on the growth and physiological responses of seedlings of both species subjected to different durations of flooding stress. The results showed that applying exogenous Spd under flooding conditions significantly increased the number of epidermal cells and biomass accumulation. Spd increased photosynthetic capacity by raising chlorophyll content and gas exchange parameters while reducing antioxidant enzyme activity. This elevated free-state Spd levels and enabled the removal of accumulated reactive oxygen species (ROS). Additionally, Spd promoted the accumulation of osmoregulatory substances, alleviating oxidative damage to membrane lipids and maintaining cellular osmotic potential. Consequently, Spd mitigated the adverse effects of flooding stress on plant growth. Correlation and principal component analyses of physiological and biochemical indicators confirmed that exogenous Spd improved flooding tolerance in both species. Notably, Elytrigia elongata exhibited greater tolerance to flooding, and the mitigating effects of Spd were more pronounced in this species under the same inundation conditions. Overall, this study provides a theoretical foundation for mitigating flooding induced damage in ecological grasses and offers insights into cultivating flooding tolerant grass species.
Keywords: flooding stress, Waterlogging tolerance, Exogenous spermidine, Elytrigia elongata, Cynodon dactylon × C. transvaalensis 'Tifdwarf'
Received: 11 Aug 2025; Accepted: 13 Nov 2025.
Copyright: © 2025 Sun, Hu, Hu, Yang, Cheng, Chen and Fei. This is an open-access article distributed under the terms of the Creative Commons Attribution License (CC BY). The use, distribution or reproduction in other forums is permitted, provided the original author(s) or licensor are credited and that the original publication in this journal is cited, in accordance with accepted academic practice. No use, distribution or reproduction is permitted which does not comply with these terms.
* Correspondence: Yongjun Fei, fyj2010@163.com
Disclaimer: All claims expressed in this article are solely those of the authors and do not necessarily represent those of their affiliated organizations, or those of the publisher, the editors and the reviewers. Any product that may be evaluated in this article or claim that may be made by its manufacturer is not guaranteed or endorsed by the publisher.
