ORIGINAL RESEARCH article
Front. Plant Sci.
Sec. Plant Nutrition
Effects of Different Nitrogen Treatments on the Growth and Nitrogen Metabolism of Machilus thunbergii Seedlings
Provisionally accepted- 1Nanjing Forestry University, Nanjing, China
- 2Shanghai Forestry General Station, Shanghai, China
- 3Shandong Provincial Center of Forest and Grass Germplasm Resources, Jinan, China
Select one of your emails
You have multiple emails registered with Frontiers:
Notify me on publication
Please enter your email address:
If you already have an account, please login
You don't have a Frontiers account ? You can register here
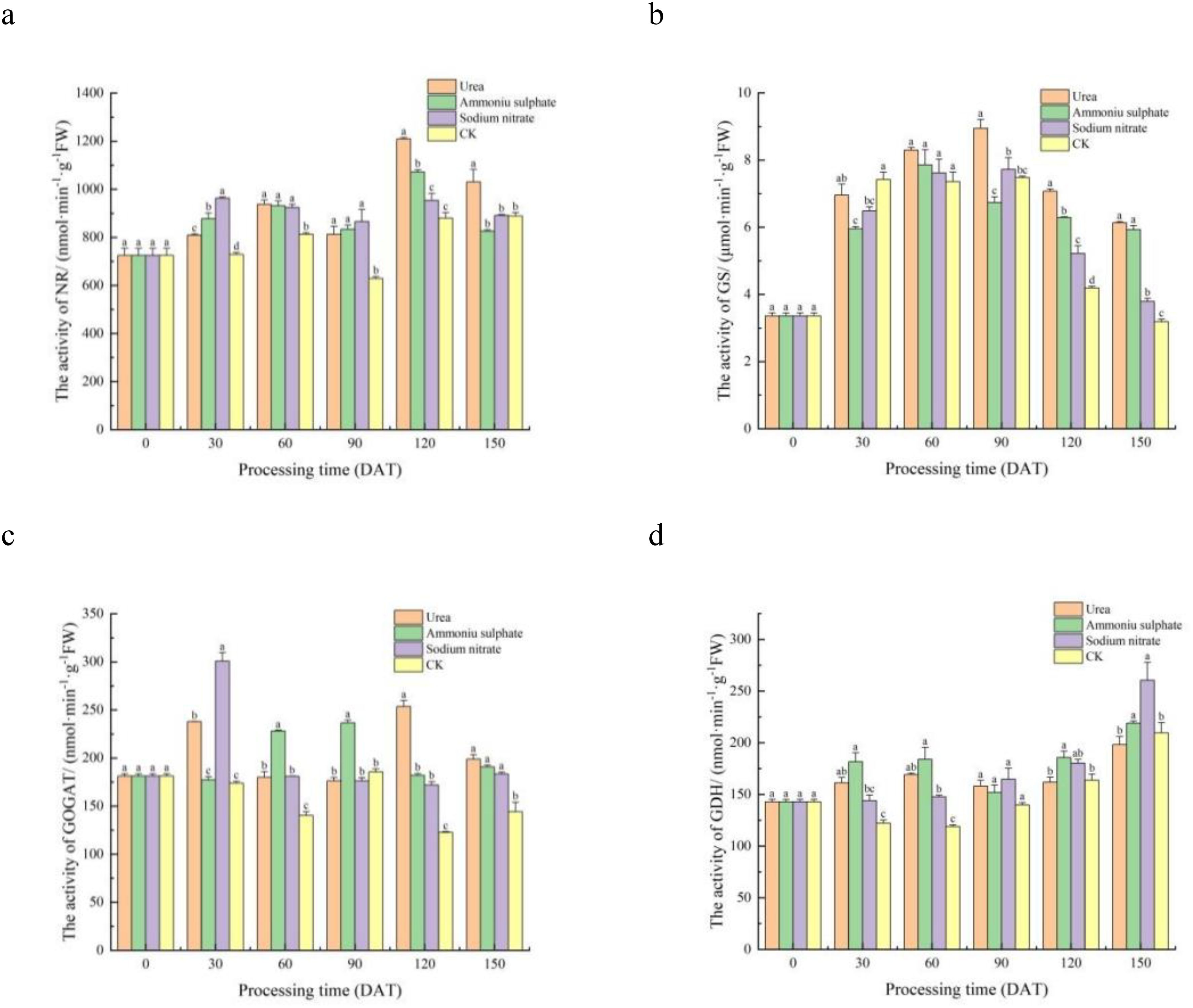
Machilus thunbergii is highly responsive to nitrogen fertilization, yet related studies are scarce. This research seeks to elucidate how different nitrogen fertilizers affect its growth and nitrogen metabolism across different growth stages, thereby determining the most suitable type and establishing a scientific foundation for its fertilization. Methods: This study aims to investigate the effects of topdressing with different nitrogen fertilizers on the growth and nitrogen metabolism of M. thunbergii seedlings. The 3-year-old M. thunbergii seedlings were used as the material, and the fertilization rate was 3g per seedling. The experiment was conducted in a one-way randomized block design with 4 treatments, including the control treatment and 3 nitrogen fertilizer treatments: urea (amide nitrogen fertilizer), ammonium sulfate (ammonium nitrogen fertilizer), and sodium nitrate (nitrate nitrogen fertilizer). Since the experiment began, the branch and leaf morphology, height growth, and basal diameter growth of seedlings in each treatment have been monitored periodically, and the activities of nitrogen-metabolizing enzymes, such as nitrate reductase, glutamine synthetase, glutamate synthetase, and glutamate dehydrogenase, in the leaves have been measured. At growth cessation, all treatments were evaluated for biomass production, root morphological characteristics, and total nitrogen content in different plant parts (roots, stems, and leaves). Results: Due to the high nitrogen content in the cultivation substrate, the application of different nitrogen fertilizers induced varying levels of fertilizer injury. Temporal analysis revealed that the growth inhibition was not uniform across stages. While all nitrogen treatments ultimately suppressed overall height and diameter growth compared to the control, the timing and intensity of these effects varied. For instance, urea treatment initially showed less inhibition, whereas sodium nitrate treatment consistently exhibited the strongest inhibitory effect throughout the experiment. Similarly, the promotion of nitrogen metabolism enzyme activity by different fertilizers also displayed distinct temporal patterns, with peaks occurring at different measurement points. Conclusion: All three nitrogen treatments significantly influenced both growth and physiological indices of M. thunbergii seedlings. Among the nitrogen fertilizers tested, urea proved superior at the application rate of 3 g per plant for three-year-old M. thunbergii seedlings.
Keywords: Machilus thunbergii, nitrogen fertilizer, Seedling growth, nitrogen metabolism, nitrogenaccumulation, Nitrogen metabolism enzyme
Received: 12 Aug 2025; Accepted: 25 Nov 2025.
Copyright: © 2025 Shi, 冯, 李, 白, 鲁, 仝 and 张. This is an open-access article distributed under the terms of the Creative Commons Attribution License (CC BY). The use, distribution or reproduction in other forums is permitted, provided the original author(s) or licensor are credited and that the original publication in this journal is cited, in accordance with accepted academic practice. No use, distribution or reproduction is permitted which does not comply with these terms.
* Correspondence:
Fenghou Shi
仪增 鲁
于卉 张
Disclaimer: All claims expressed in this article are solely those of the authors and do not necessarily represent those of their affiliated organizations, or those of the publisher, the editors and the reviewers. Any product that may be evaluated in this article or claim that may be made by its manufacturer is not guaranteed or endorsed by the publisher.
