ORIGINAL RESEARCH article
Front. Plant Sci.
Sec. Plant Abiotic Stress
This article is part of the Research TopicUtilizing Advanced Genomics and Biochemical Tools to Strengthen Crop Adaptation for Biotic and Abiotic StressesView all 11 articles
Identification of new genetic resources for drought tolerance related traits among world Erianthus germplasm collection
Provisionally accepted- 1ICAR - Sugarcane Breeding Institute, Coimbatore, India
- 2Louisiana State University, Baton Rouge, United States
Select one of your emails
You have multiple emails registered with Frontiers:
Notify me on publication
Please enter your email address:
If you already have an account, please login
You don't have a Frontiers account ? You can register here
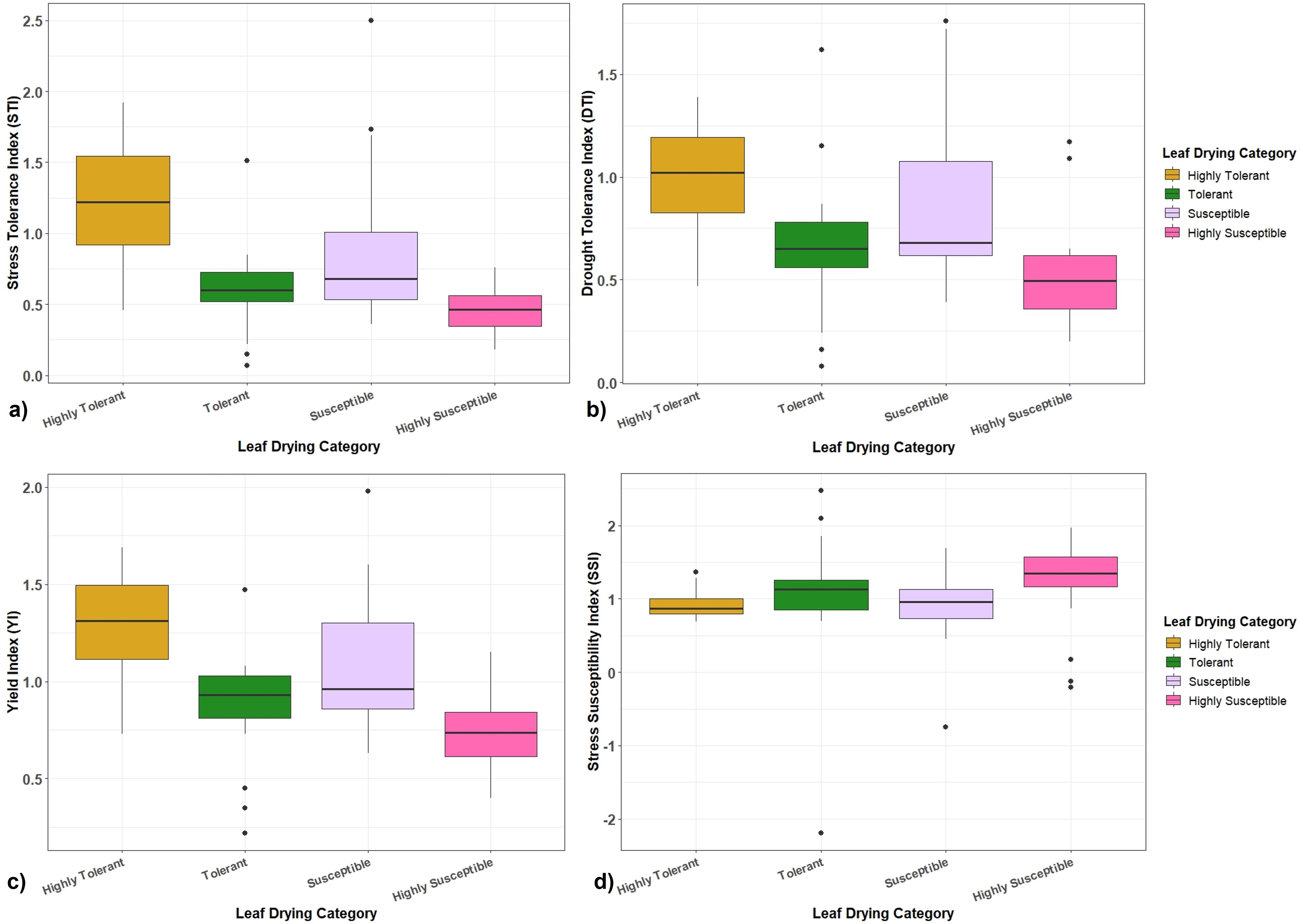
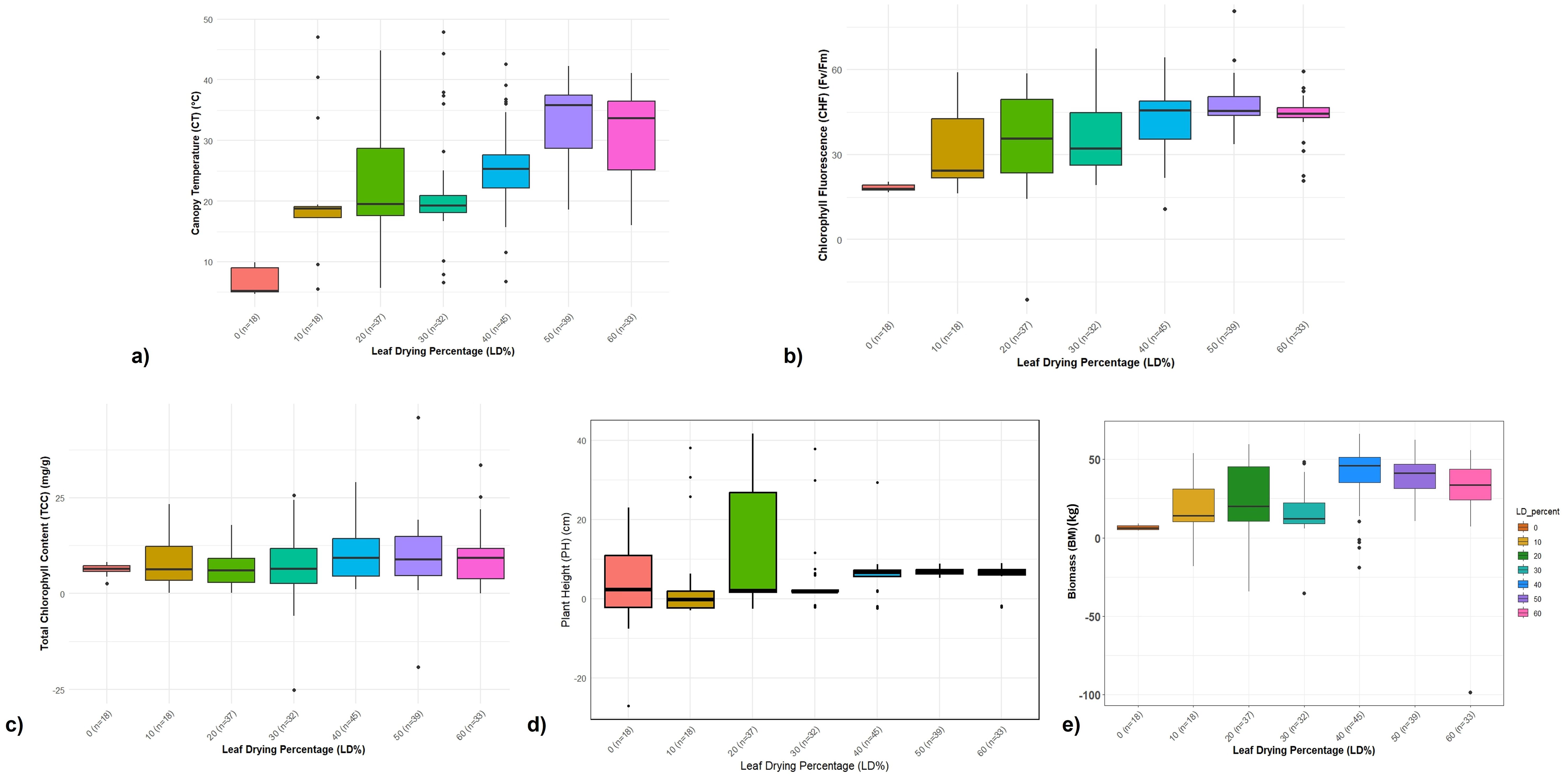
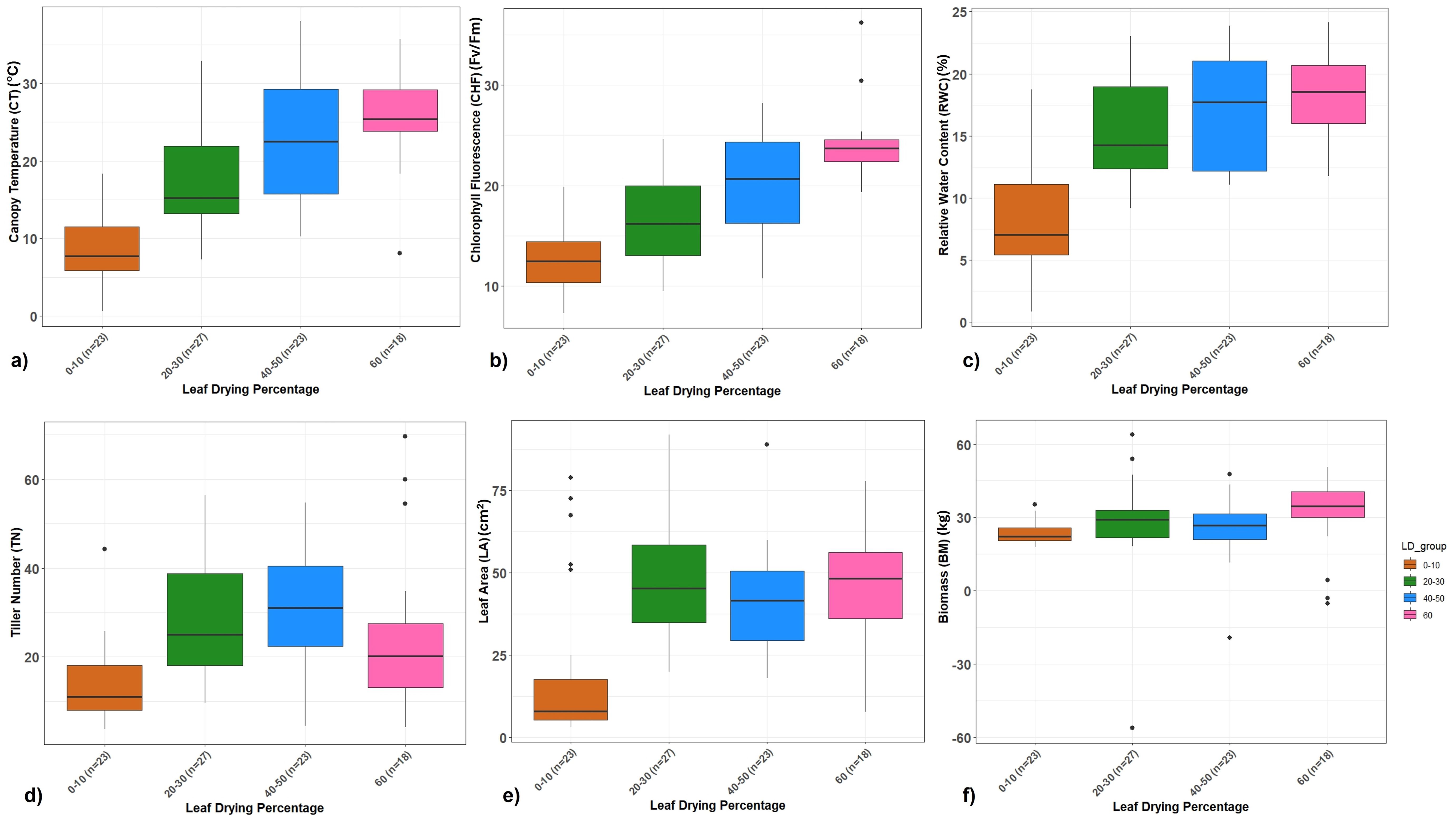
Drought is one of the most complex abiotic stress factors, which significantly affects sugarcane production worldwide. With an objective to identify drought tolerant wild sugarcane germplasm for sugarcane improvement, a set of 223 diverse Erianthus clones collected from seven different countries were assessed for drought tolerance related traits at the formative stage. A drought association panel of 91 Erianthus clones with differential drought response was developed for genomic studies to identify marker-trait associations. Drought tolerant Erianthus clones maintained high chlorophyll fluorescence (Fv/Fm), relative water content and chlorophyll content, and were able to regulate photosynthetic rate as well as canopy cooling to sustain growth and biomass accumulation. They also recorded high stress tolerance indices and low susceptibility index. Moderate to high heritability estimates of the traits suggested that the traits were under genetic control. Genome wide association study conducted using 1,044 genotyping by sequencing derived high-quality single nucleotide polymorphisms markers on the drought panel identified 43 QTNs associated with various physiological traits that explained phenotypic variance in the range of 0.26% and 59.35%. Candidate genes (Target of Rapamycin 2 (TOR2), Trans-Membrane Kinase 1(TMK1), potassium transporter auxin response factor, FAD-binding PCMH-type domain-containing protein, Nitrate Transporter 1/Peptide Transporter Family (NRT1/PTR) involved in drought perception and signaling were successfully identified in the QTN regions. The present study identified drought tolerant Erianthus clones and the QTNs associated with drought tolerance traits for further validation and subsequent utilization in the sugarcane breeding program.
Keywords: drought, Erianthus, heritability, Marker-trait association, SNP effect
Received: 13 Aug 2025; Accepted: 14 Oct 2025.
Copyright: © 2025 RAMANATHAN, Pradhan, Gandham, Chinnaswamy, Mahadeva Swamy, Mohanraj, R and Baisakh. This is an open-access article distributed under the terms of the Creative Commons Attribution License (CC BY). The use, distribution or reproduction in other forums is permitted, provided the original author(s) or licensor are credited and that the original publication in this journal is cited, in accordance with accepted academic practice. No use, distribution or reproduction is permitted which does not comply with these terms.
* Correspondence:
Valarmathi RAMANATHAN, valarmathi.r@icar.gov.in
Niranjan Baisakh, nbaisakh@agcenter.lsu.edu
Disclaimer: All claims expressed in this article are solely those of the authors and do not necessarily represent those of their affiliated organizations, or those of the publisher, the editors and the reviewers. Any product that may be evaluated in this article or claim that may be made by its manufacturer is not guaranteed or endorsed by the publisher.
