ORIGINAL RESEARCH article
Front. Plant Sci.
Sec. Sustainable and Intelligent Phytoprotection
This article is part of the Research TopicSmart Sensing in Plant Science: Advancing Plant-Environment Interactions for Sustainable PhytoprotectionView all 7 articles
Proximal hyperspectral detection of rice and weed: characterization and discriminant analysis
Provisionally accepted- 1Shihezi University College of Mechanical and Electrical Engineering, Shihezi, China
- 2Northeast Agricultural University, Harbin, China
- 3Shihezi University School of Medicine, Shihezi, China
- 4Yantai Agricultural Technology Popularization Center, yantai, China
Select one of your emails
You have multiple emails registered with Frontiers:
Notify me on publication
Please enter your email address:
If you already have an account, please login
You don't have a Frontiers account ? You can register here
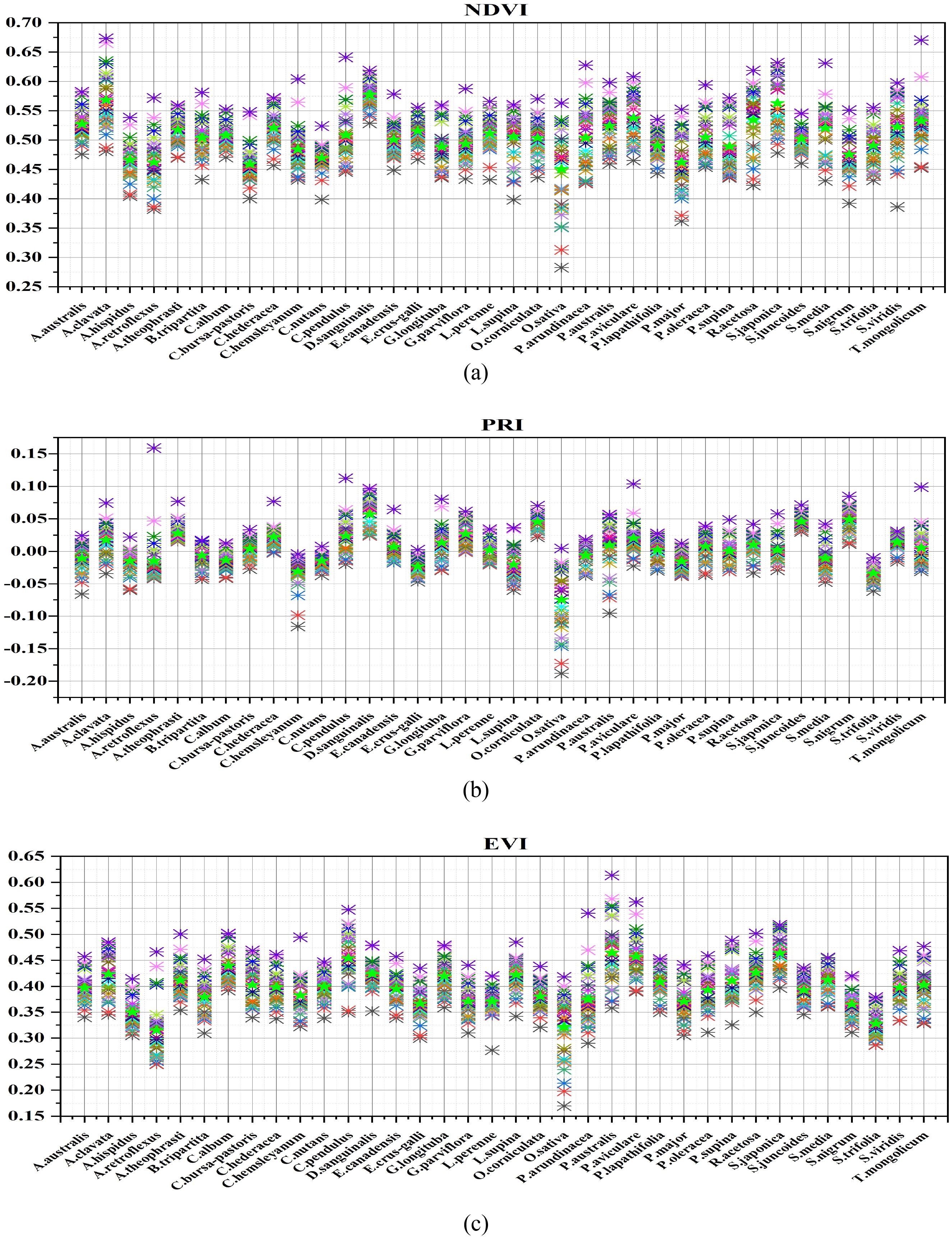
Weeds represent a critical component of agricultural biodiversity and contribute to a range of ecosystem services, yet they remain a major constraint on global crop production. Remote sensing technology, particularly hyperspectral imaging, has advanced from spectral response patterns to species identification and vegetation monitoring. Consequently, the ability to accurately map weed species and assess their physiological activity in agricultural settings is of growing important. In this study, we established a hyperspectral library of rice and weed species in cold regions of northern China, comprising a total of 36 species. Using a ground-based hyperspectral camera (SPECIM-IQ), we collected 1080 hyperspectral images and extracted representative spectral reflectance curves for rice and 35 weed species. We employed canopy spectral profile characteristics, vegetation indices, and principal component analysis (PCA) to characterize and explain the differences among various weeds. A novel deep learning network, SS-CNN, was developed to identify rice and weed species from hyperspectral imagery, and ablation experiments were conducted to evaluate its performance. When the training sample size (Tr) was set at 70%, the SS-CNN model outperformed the comparative models with the best identification results (overall accuracy (OA): 99.910%, average accuracy (AA): 99.502%, Kappa: 0.9991). Even at a reduced training sample size of 5%, the SS-CNN algorithm maintained optimal classification performance (OA: 95.370%; AA: 86.468%; Kappa: 0.9518). This study demonstrates the application of proximal hyperspectral remote sensing and deep learning networks for rice and weed identification and characterization in harsh field scenarios. It provides a valuable baseline for understanding the hyperspectral characteristics of paddy field weed stress and monitoring their growth status.
Keywords: rice, weed, Hyperspectral imaging technology, deep learning, IDENTIFICATION
Received: 14 Aug 2025; Accepted: 13 Nov 2025.
Copyright: © 2025 wang, Lin, li, Yin, Suo, Cai and Li. This is an open-access article distributed under the terms of the Creative Commons Attribution License (CC BY). The use, distribution or reproduction in other forums is permitted, provided the original author(s) or licensor are credited and that the original publication in this journal is cited, in accordance with accepted academic practice. No use, distribution or reproduction is permitted which does not comply with these terms.
* Correspondence: Yulin Li, lyl_maa@sina.com
Disclaimer: All claims expressed in this article are solely those of the authors and do not necessarily represent those of their affiliated organizations, or those of the publisher, the editors and the reviewers. Any product that may be evaluated in this article or claim that may be made by its manufacturer is not guaranteed or endorsed by the publisher.
