ORIGINAL RESEARCH article
Front. Plant Sci.
Sec. Crop and Product Physiology
Effects of one-time alternate-row deep fertilization on yield, quality, and nitrogen use efficiency in wheat following rice
Provisionally accepted- Yangzhou University, 扬州市, China
Select one of your emails
You have multiple emails registered with Frontiers:
Notify me on publication
Please enter your email address:
If you already have an account, please login
You don't have a Frontiers account ? You can register here
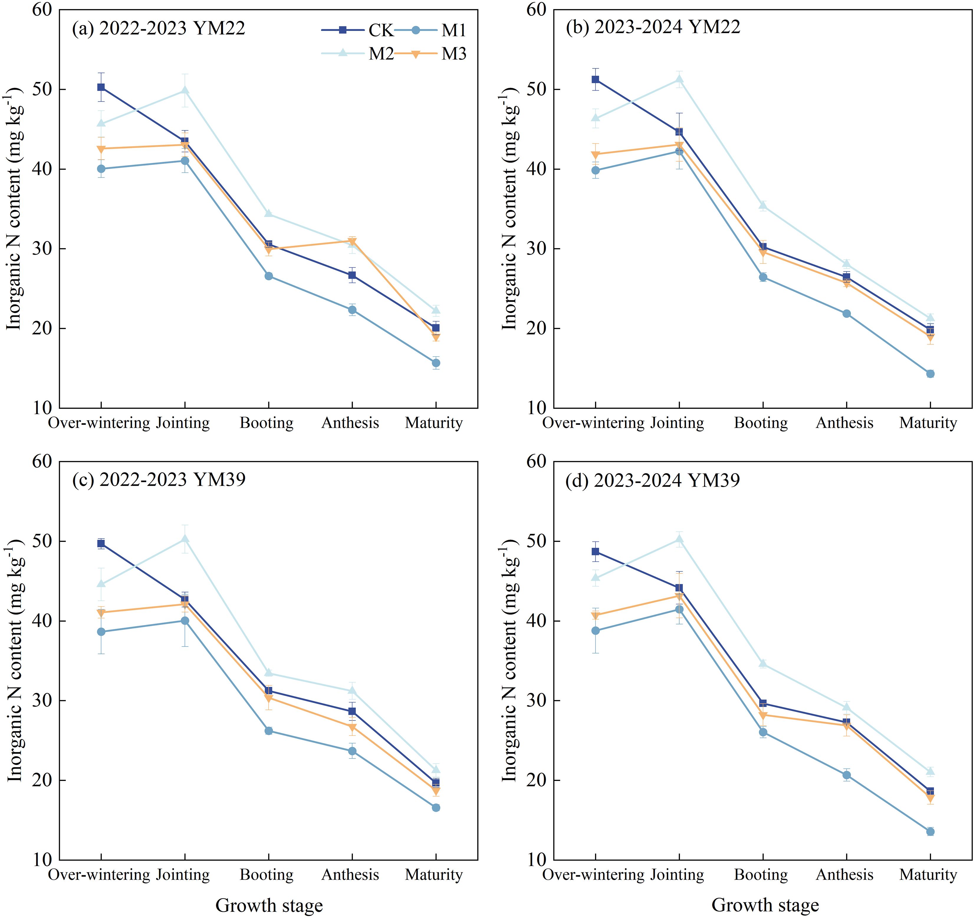
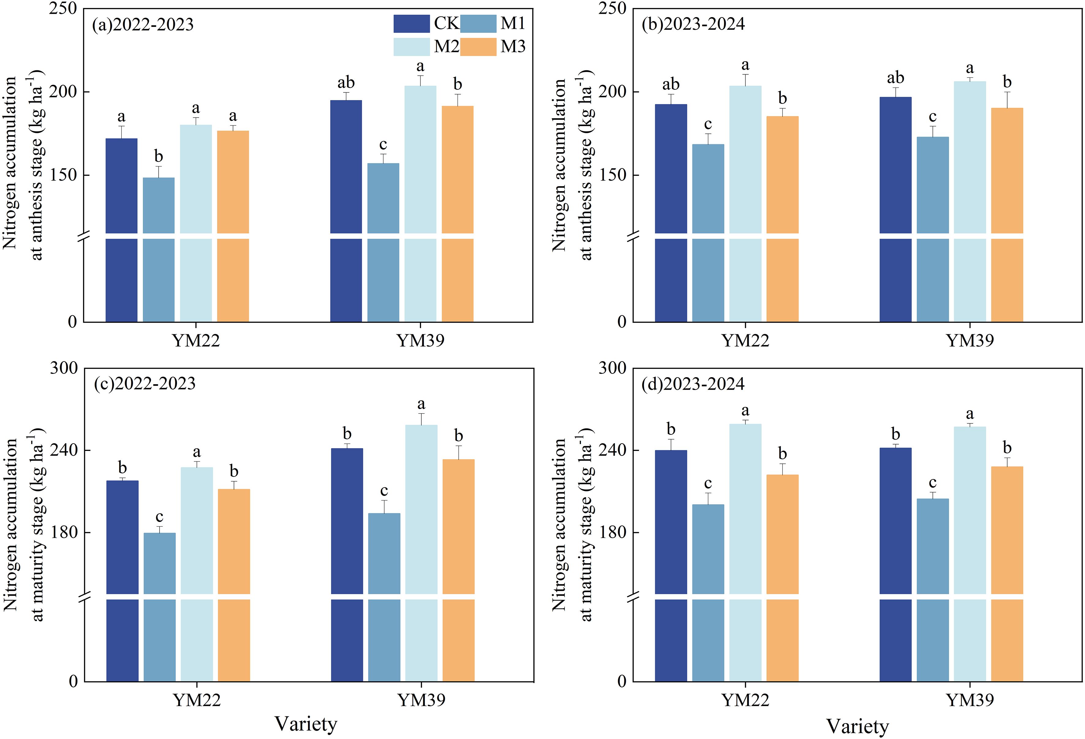
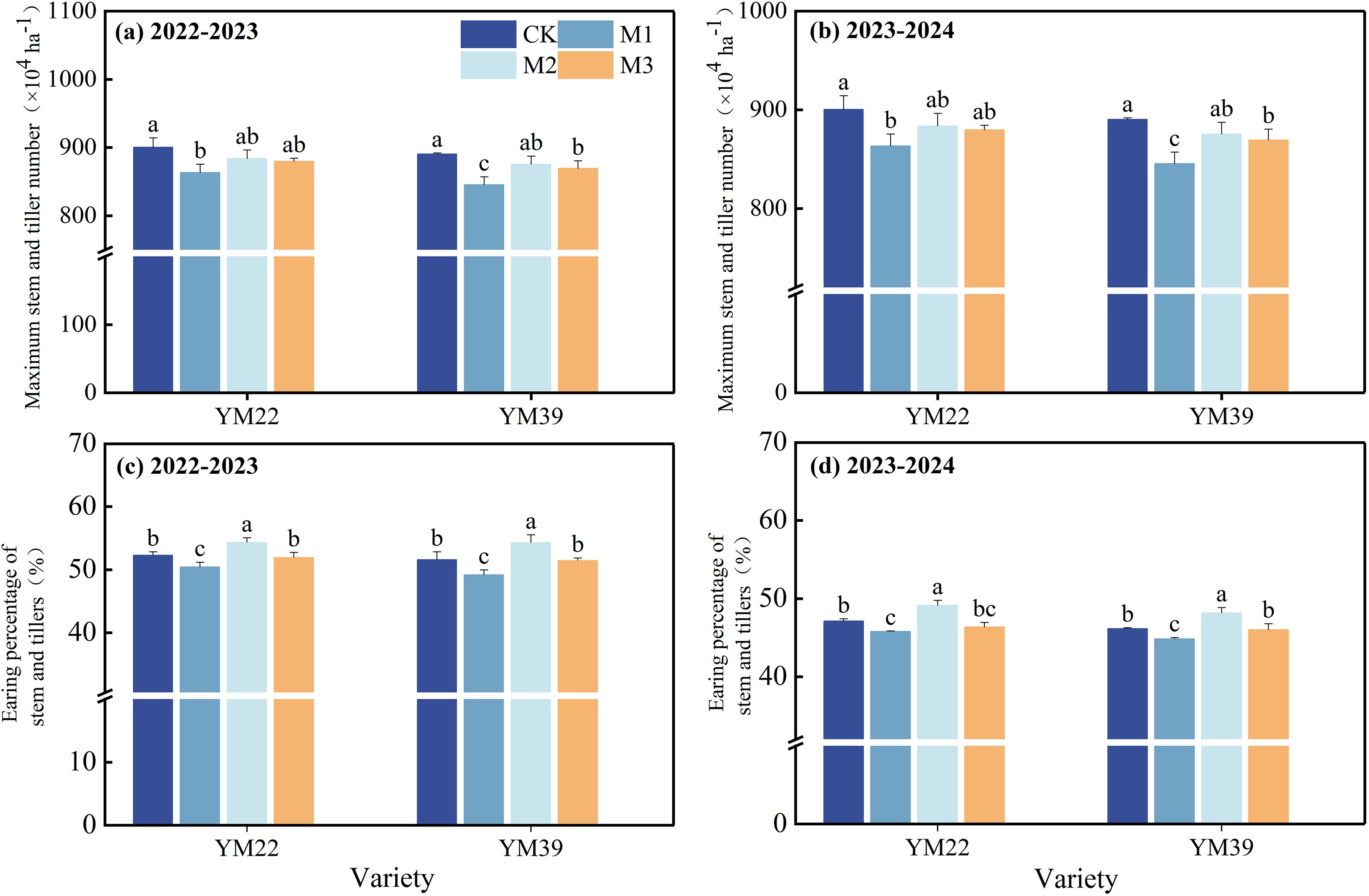
Deep placement technology has gradually become a key direction for simplified cultivation. However, few studies have explored the effects of different deep-band placement under the application of slow-release nitrogen fertilizer (SRNF) combined with urea on wheat yield and quality. In this study, four treatments were designed: conventional split application of urea (CK), one-time broadcasting of SRNF combined with urea (M1), and two different one-time deep-band placement treatments of SRNF combined with urea (M2 and M3). The results showed that compared with CK and M1, M2 could increase the nitrogen content in rhizosphere soil after the jointing stage, which in turn affected the activities of nitrogen assimilation enzymes and promoted nitrogen uptake and utilization in the aboveground parts of wheat. In addition, the M2 maintained a relatively high leaf area index and net photosynthetic rate, ultimately increasing the post-anthesis dry matter accumulation and laying a material foundation for yield improvement. The wheat yield under the M2 was significantly by 4.8% higher than that of the CK, which was mainly attributed to the increase in spike number and grains per spike. In contrast, M3 could maintain a stable yield while reducing grain protein content, thereby improving the quality of weak-gluten wheat. This study provides a theoretical basis and practical guidance for the development of deep fertilization technology for wheat following rice.
Keywords: yield, Slow-release nitrogen fertilizer, deep application methods, nitrogen use efficiency, protein content
Received: 16 Aug 2025; Accepted: 20 Nov 2025.
Copyright: © 2025 Zhang, Dun, Shi, Yan, Yan, Zhao, Zhang, Wang and Huo. This is an open-access article distributed under the terms of the Creative Commons Attribution License (CC BY). The use, distribution or reproduction in other forums is permitted, provided the original author(s) or licensor are credited and that the original publication in this journal is cited, in accordance with accepted academic practice. No use, distribution or reproduction is permitted which does not comply with these terms.
* Correspondence:
Weiling Wang, wangwl@yzu.edu.cn
Zhongyang Huo, zyhuo@yzu.edu.cn
Disclaimer: All claims expressed in this article are solely those of the authors and do not necessarily represent those of their affiliated organizations, or those of the publisher, the editors and the reviewers. Any product that may be evaluated in this article or claim that may be made by its manufacturer is not guaranteed or endorsed by the publisher.
