ORIGINAL RESEARCH article
Front. Plant Sci.
Sec. Sustainable and Intelligent Phytoprotection
This article is part of the Research TopicHighlights of 1st International Conference on Sustainable and Intelligent Phytoprotection (ICSIP 2025)View all 10 articles
AgriPath: A Robust Multi-Objective Path Planning Framework for Agricultural Robots in Dynamic Field Environments
Provisionally accepted- 1Al-Farabi Kazakh National University, Almaty, Kazakhstan
- 2Fudan University, Shanghai, China
Select one of your emails
You have multiple emails registered with Frontiers:
Notify me on publication
Please enter your email address:
If you already have an account, please login
You don't have a Frontiers account ? You can register here
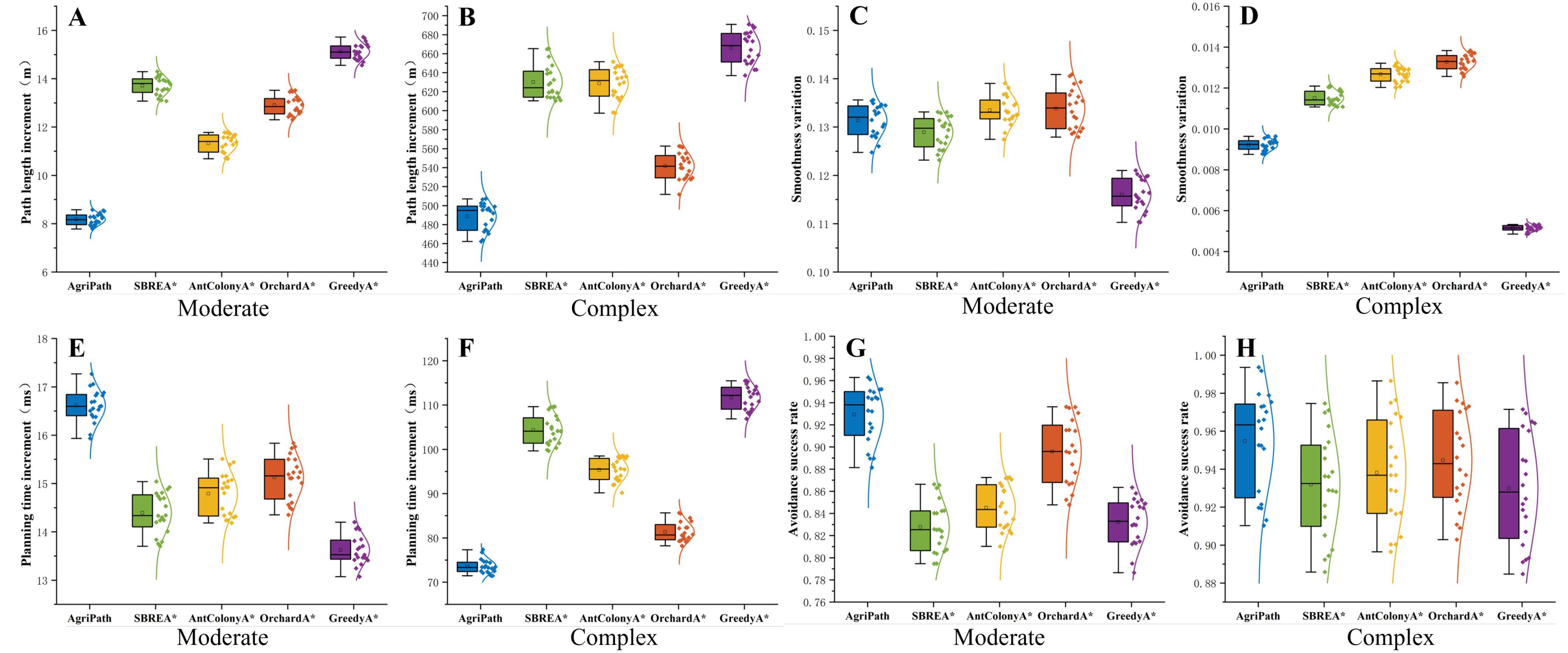
Robot path planning is a cornerstone of precision agriculture, enabling safe and efficient operations for agricultural robots. However, the complex field environment—characterized by static and dynamic obstacles, dense vegetation, and unstructured terrain—poses significant challenges to effective path planning. Conventional methods, such as A*, Dijkstra, and Rapidly-exploring Random Trees (RRT), exhibit limitations in efficiency and adaptability to dynamic conditions. To address these challenges, this study introduces AgriPath, a robust multi-objective path planning framework that integrates an improved Convolutional Neural Network (CNN), an improved A* algorithm, and an Improved Whale Optimization Algorithm (IWOA) to optimize pathfinding, convergence efficiency, and obstacle avoidance in complex agricultural settings. Key innovations include: an Improved CNN leveraging causal convolution and multi-head self-attention mechanisms to improve temporal modeling for short-term trajectory prediction, augmented by Gaussian perturbations to enhance initial solution diversity; an improved A* algorithm incorporating dynamic heuristic functions based on Normalized Difference Vegetation Index (NDVI), combined with Kalman filtering, to bolster global path adaptability; IWOA employing nonlinear convergence factors and differential evolution mechanisms to dynamically balance path length, smoothness, and planning time; and an Improved Douglas-Peucker algorithm paired with cubic B-spline smoothing and navigation command modules to ensure path simplification and real-time execution. Experiments conducted in the Modern Agricultural Demonstration Zone at Chengdu, Sichuan Province, China, across Simple, Moderate, and Complex scenarios, demonstrate that AgriPath outperforms advanced algorithms—SBREA*, Ant Colony A*, Orchard A*, and Greedy A*—in path length, smoothness, planning time, and dynamic obstacle avoidance success rate, indicative of superior multi-objective optimization balance. This study significantly enhances the efficiency and robustness of agricultural robot path planning, offering a more adaptive solution for autonomous navigation in precision agriculture while providing new theoretical and practical directions for the field of path planning.
Keywords: Robotics, WhaleOptimizationAlgorithm, PathPlanning, Multi-objectiveoptimization, precision agriculture
Received: 18 Aug 2025; Accepted: 11 Nov 2025.
Copyright: © 2025 Yang, Zheng, Chen, mansurova, Belgibaev and Zhao. This is an open-access article distributed under the terms of the Creative Commons Attribution License (CC BY). The use, distribution or reproduction in other forums is permitted, provided the original author(s) or licensor are credited and that the original publication in this journal is cited, in accordance with accepted academic practice. No use, distribution or reproduction is permitted which does not comply with these terms.
* Correspondence: Baidong Zhao, chzhao_baidun@live.kaznu.kz
Disclaimer: All claims expressed in this article are solely those of the authors and do not necessarily represent those of their affiliated organizations, or those of the publisher, the editors and the reviewers. Any product that may be evaluated in this article or claim that may be made by its manufacturer is not guaranteed or endorsed by the publisher.
