ORIGINAL RESEARCH article
Front. Plant Sci.
Sec. Functional Plant Ecology
Improvement Effects of Different Shrub Sand Fixation Plantations on Vegetation and Soil in the Kubuqi Desert
Provisionally accepted- 1College of Desert Control and Engineering, Inner Mongolia Agricultural University, Hohhot, China
- 2College of Advanced Agricultural Sciences, Yulin University, Yulin, China
Select one of your emails
You have multiple emails registered with Frontiers:
Notify me on publication
Please enter your email address:
If you already have an account, please login
You don't have a Frontiers account ? You can register here
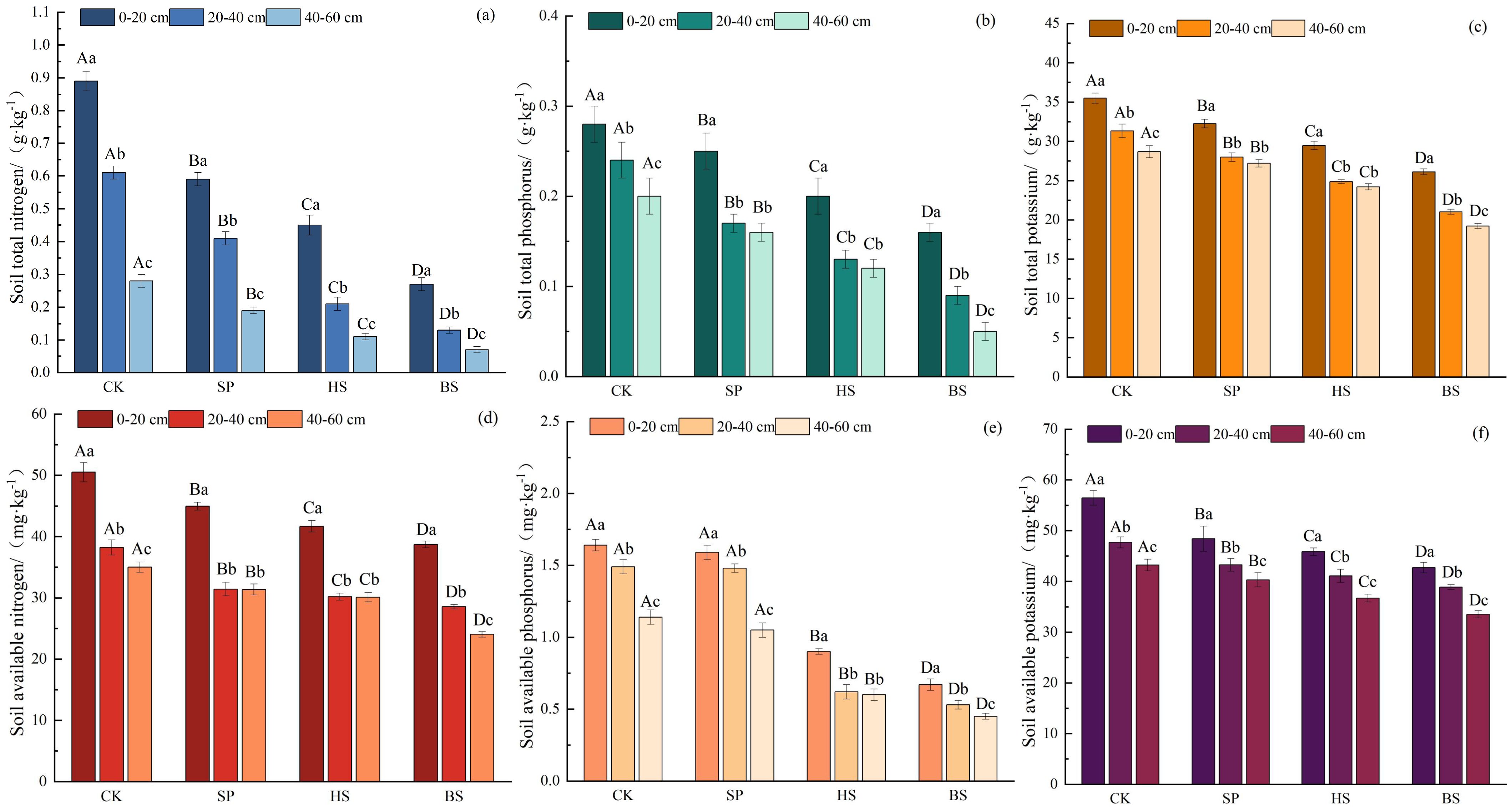
Shrub plantations are a key strategy for combating desertification, yet the relative effectiveness of different species remains poorly understood. This study comprehensively evaluated the restoration effects of three dominant shrub species—Caragana korshinskii (CK), Salix psammophila (SP) and Hedysarum scoparium (HS)—on understory vegetation and soil properties in the Kubuqi Desert, using bare sand (BS) as the control. Shrub plantations significantly improved herbaceous vegetation diversity and soil physicochemical properties compared to BS. Specifically, CK plantations demonstrated the most pronounced positive effects, supporting the highest understory vegetation cover, species richness and soil nutrient accumulation. SP plantations were most effective in improving the physical structure of soil, resulting in the highest total porosity. Grey relational analysis weighted by principal component analysis was employed to integrate multiple indicators and provide a comprehensive evaluation, which ranked the overall restoration effectiveness as CK (0.8574) > SP (0.7790) > HS (0.6883) > BS (0.5637). Additionally, the random forest model identified biodiversity indices (particularly the Margalef index) and understory vegetation cover as the most significant drivers influencing overall restoration effectiveness, while soil available phosphorus was the only soil factor with a significant impact. These findings underscore that species selection is critical for restoration outcomes. C. korshinskii is recommended as a priority species for enhancing ecosystem functions in this region.
Keywords: Sand-fixing plantations, Vegetation diversity, soil properties, Grey relational analysis, random forest model, desertification
Received: 18 Aug 2025; Accepted: 05 Nov 2025.
Copyright: © 2025 Guo, Yang, Wang, Ren, Han, Wang, Jia and Qiao. This is an open-access article distributed under the terms of the Creative Commons Attribution License (CC BY). The use, distribution or reproduction in other forums is permitted, provided the original author(s) or licensor are credited and that the original publication in this journal is cited, in accordance with accepted academic practice. No use, distribution or reproduction is permitted which does not comply with these terms.
* Correspondence: Guang Yang, yg@imau.edu.cn
Disclaimer: All claims expressed in this article are solely those of the authors and do not necessarily represent those of their affiliated organizations, or those of the publisher, the editors and the reviewers. Any product that may be evaluated in this article or claim that may be made by its manufacturer is not guaranteed or endorsed by the publisher.
