ORIGINAL RESEARCH article
Front. Plant Sci.
Sec. Technical Advances in Plant Science
Research on Plant Characteristics and Application Strategies for the Planning and Design of Herbal Gardens
Provisionally accepted- 1Guangzhou University of Chinese Medicine, Guangzhou, China
- 2Guangdong Agribusiness Tropical Agriculture Institute Co., Ltd, Guangzhou, China
Select one of your emails
You have multiple emails registered with Frontiers:
Notify me on publication
Please enter your email address:
If you already have an account, please login
You don't have a Frontiers account ? You can register here
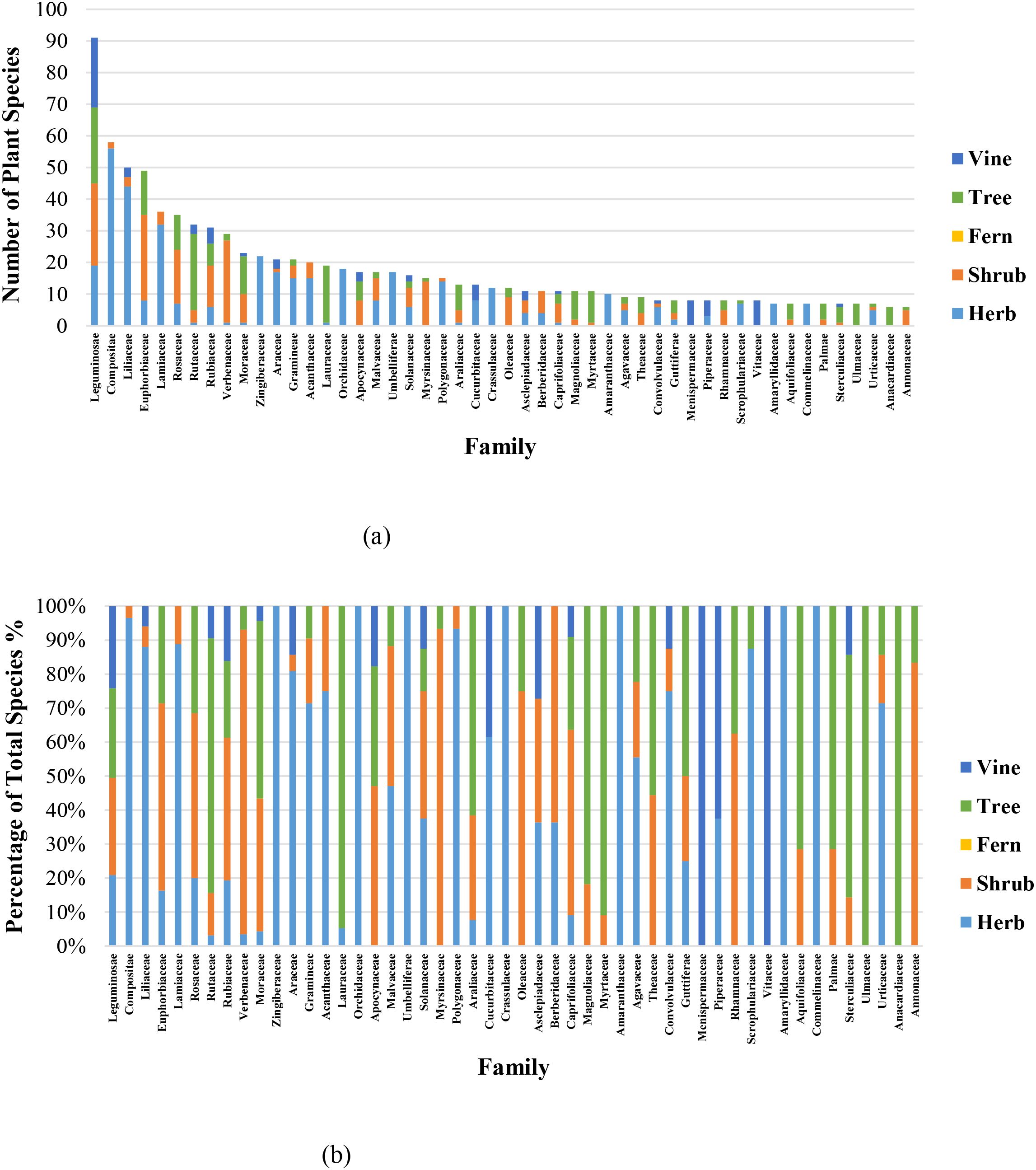
Herbal gardens have a long history worldwide and serve important functions in education, science popularization, cultural dissemination, tourism, and convalescence. In recent years, growing interest in health, nature, and culture has led numerous institutions to establish herbal gardens of various scales. However, standardized research on the planning and design of herbal gardens is still lacking, especially regarding species selection, planting layout, and the exploration and functional utilization of medicinal plant properties. This study conducted a detailed analysis of over 1,000 medicinal plant species in the herbal garden of Guangzhou University of Chinese Medicine, focusing on taxonomy, plant habit types, ecological habits, aromatic and ornamental characteristics, medicinal functions, edible properties, and cultural significance. Based on this analysis, the study proposed design principles rooted in ecological diversity, health and safety, and practical functionality, and proposed context-specific, characteristic-driven garden planning to maximize the educational, therapeutic, and public outreach potential of herbal gardens. The findings aim to provide theoretical and practical guidance for the planning and design of diverse types of herbal gardens.
Keywords: Herbal garden, Planning and design, Plant characteristics, statistics, Application strategies
Received: 19 Aug 2025; Accepted: 31 Oct 2025.
Copyright: © 2025 Lin, Wu, Liu, Gao and Zhan. This is an open-access article distributed under the terms of the Creative Commons Attribution License (CC BY). The use, distribution or reproduction in other forums is permitted, provided the original author(s) or licensor are credited and that the original publication in this journal is cited, in accordance with accepted academic practice. No use, distribution or reproduction is permitted which does not comply with these terms.
* Correspondence: Ruoting  Zhan, zhanrt@gzucm.edu.cn
Disclaimer: All claims expressed in this article are solely those of the authors and do not necessarily represent those of their affiliated organizations, or those of the publisher, the editors and the reviewers. Any product that may be evaluated in this article or claim that may be made by its manufacturer is not guaranteed or endorsed by the publisher.
