ORIGINAL RESEARCH article
Front. Plant Sci.
Sec. Plant Abiotic Stress
This article is part of the Research TopicSustainable Agricultural Practices and Environment Protection Through Green Technology InnovationsView all 4 articles
Pueraria thomsonii Benth.: A high-biomass plant for cadmium phytoremediation with high accumulation in stems
Provisionally accepted- 1Jiangxi Institute of Red Soil and Germplasm Resources, Nanchang, China
- 2Ganzhou Polytechnic,, Ganzhou, China
Select one of your emails
You have multiple emails registered with Frontiers:
Notify me on publication
Please enter your email address:
If you already have an account, please login
You don't have a Frontiers account ? You can register here
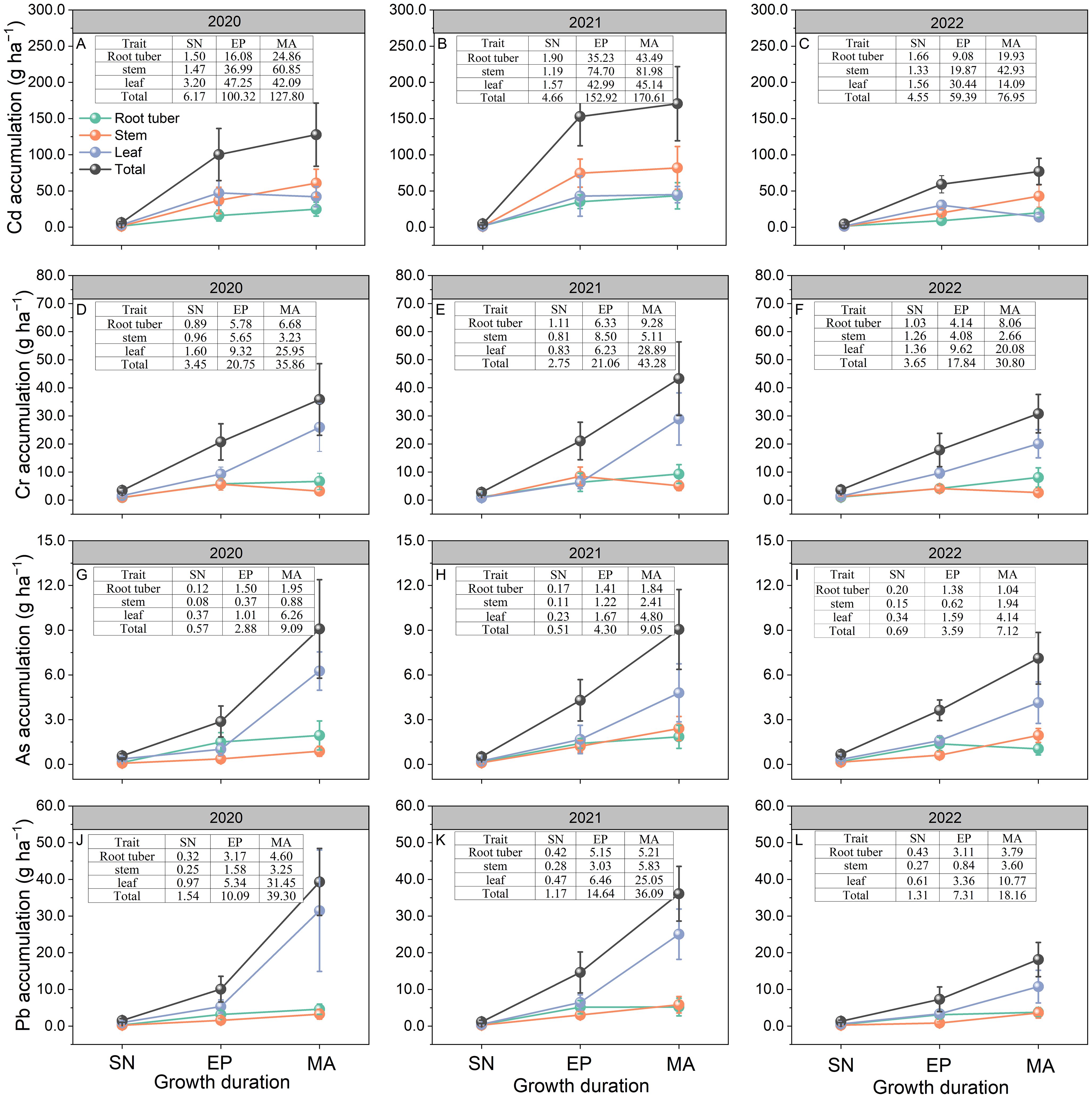
Heavy metal contamination in farmland soils threatens food security and human health. Phytoremediation provides sustainable strategy, with Pueraria thomsonii emerging as a promising candidate due to its high biomass production. However, its metal accumulation dynamics remain uncharacterized. Therefore, a three-year field experiment was conducted to investigate biomass production, the accumulation of heavy metals (Cd, Cr, As, and Pb) across growth stages, and the bioconcentration factor (BCF), translocation factor (TF), and removal rate in P. thomsonii. Results showed that P. thomsonii produced a total biomass of 10.81-21.22 t ha⁻¹, accumulating 76.95-170.61 (Cd), 30.80-43.28 (Cr), 7.12-9.09 (As), and 18.16-39.30 (Pb) g ha⁻¹ during 2020-2022. Stem Cd accumulation exceeded root tubers and leaves by 45-205% at maturity, while leaf Cr, As, and Pb accumulation higher than root tubers and stems by149-868%. Cd-BCF values >1 in stems and leaves indicated efficient bioaccumulation, contrasting with Cr-, As-, and Pb-BCF<1. Stem and leaf TF values of Cd, Cr, As, and Pb consistently >1 except stem Cr TF in 2022. Average three years, the removal rate of Cd surpassed Cr, As, and Pb by 94-95%. Soil properties (organic matter, available N) significantly influenced BCF, while available N modulated TF. These findings suggest that the combination of high biomass production and elevated Cd accumulation in stems positions P. thomsonii as a promising candidate for high-biomass phytoremediation of Cd-contaminated farmland soils.
Keywords: bioaccumulation, biomass, heavy metals, Phytoremediation, Pueraria thomsonii
Received: 27 Aug 2025; Accepted: 31 Oct 2025.
Copyright: © 2025 Li, Luo, Zhang, Zhou, Wu, Wang, He, Huang, Sun, Lv and Lin. This is an open-access article distributed under the terms of the Creative Commons Attribution License (CC BY). The use, distribution or reproduction in other forums is permitted, provided the original author(s) or licensor are credited and that the original publication in this journal is cited, in accordance with accepted academic practice. No use, distribution or reproduction is permitted which does not comply with these terms.
* Correspondence: Xiaobing  Lin, linxiaobing14@mails.ucas.ac.cn
Disclaimer: All claims expressed in this article are solely those of the authors and do not necessarily represent those of their affiliated organizations, or those of the publisher, the editors and the reviewers. Any product that may be evaluated in this article or claim that may be made by its manufacturer is not guaranteed or endorsed by the publisher.
