ORIGINAL RESEARCH article
Front. Plant Sci.
Sec. Plant Abiotic Stress
This article is part of the Research TopicAbiotic Stress in LegumesView all articles
Silicon fertigation alleviates salinity stress by enhancing morpho-physiological, photosynthetic, antioxidative responses, and yield in mung bean (Vigna radiata L.) varieties Co7(Gg) and Co8 under pot and field conditions
Provisionally accepted- 1VIT University, Vellore, India
- 2Gyeongsang National University, Jinju-si, Republic of Korea
- 3Annamalai University, Annamalai Nagar, India
Select one of your emails
You have multiple emails registered with Frontiers:
Notify me on publication
Please enter your email address:
If you already have an account, please login
You don't have a Frontiers account ? You can register here
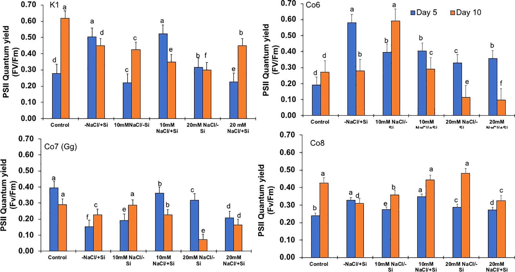
Legume crops are still underutilised, especially mung bean, an important crop in India, despite several studies on the effects of salt and silicon stress on various crops. In order to study the impact of exogenous application of Si concentrations on the growth and physiochemical, Photosynthetic efficiency, and antioxidative pathways of four mung bean cultivars—K1, Co6, Co7(Gg), and Co8 exposed to two levels of salinity] [10 mM NaCl, 20mM NaCl and 5 mM of Si—a Pot experiment and field data were collected over the course of two growth seasons (2023–2024). The overall treatments given were in six combinations as: (i) -Si/-NaCl (control) (ii) -NaCl + Si (iii) 10mM NaCl/−Si (IV). 10 mM NaCl/+ Si (v) 20mM NaCl/- Si (vi) = 20mM NaCl/+Si Growth factors like biomass, plant length, height, and photosynthetic measurements were all lowered by salinity stress; however, these effects were lessened by silicon supplementation at a concentration of 5 mM sodium silicate. Under salt stress, the presence of silicon boosted the production of photosynthetic proteins such Photosystem I, Photosystem II, and light harvesting complexes. In the mung bean, salinity stress also resulted in oxidative damage in the form of superoxide radical (O2−) and hydrogen peroxide (H2O2), which raised MDA (lipid peroxidation) and electrolyte leakage. On the other hand, 5 mM sodium silicate has the ability to scavenge free radicals, which lowers electrolyte loss and lipid peroxidation (MDA). Significant silica deposition in the leaf epidermis was associated with this, and in the end, this served as a mechanical barrier to lessen the harmful effects of salt stress. Our simulated investigations, which employed Si as a supplement, indicated that, of all the varieties used in this study, K1 and Co7(Gg) shown resilience to salt stress, but Co6 and Co8 showed sensitivity. Experiments conducted at the field level on yield and growth provided evidence for the study's findings that Si has a positive impact on salt stress. Si reduced the detrimental effects of salt stress and provided a basic idea for using Si as a fertilizer.
Keywords: abiotic stress, isozymes, in situ localization, Si-deposition, Thylakoidal complex proteins, Yield attributes
Received: 27 Aug 2025; Accepted: 11 Nov 2025.
Copyright: © 2025 Sadhanandan, Bae, Prakash and Muneer. This is an open-access article distributed under the terms of the Creative Commons Attribution License (CC BY). The use, distribution or reproduction in other forums is permitted, provided the original author(s) or licensor are credited and that the original publication in this journal is cited, in accordance with accepted academic practice. No use, distribution or reproduction is permitted which does not comply with these terms.
* Correspondence: Sowbiya Muneer, sobiyakhan126@gmail.com
Disclaimer: All claims expressed in this article are solely those of the authors and do not necessarily represent those of their affiliated organizations, or those of the publisher, the editors and the reviewers. Any product that may be evaluated in this article or claim that may be made by its manufacturer is not guaranteed or endorsed by the publisher.
