ORIGINAL RESEARCH article
Front. Plant Sci.
Sec. Plant Abiotic Stress
This article is part of the Research TopicMicro- And Nanoplastics in Agroecosystems: Plant Responses, Soil Interactions, and Remediation StrategiesView all articles
Interactive effects of combined manganese and microplastic pollution on soybean growth
Provisionally accepted- Guizhou Education University, Guiyang, China
Select one of your emails
You have multiple emails registered with Frontiers:
Notify me on publication
Please enter your email address:
If you already have an account, please login
You don't have a Frontiers account ? You can register here
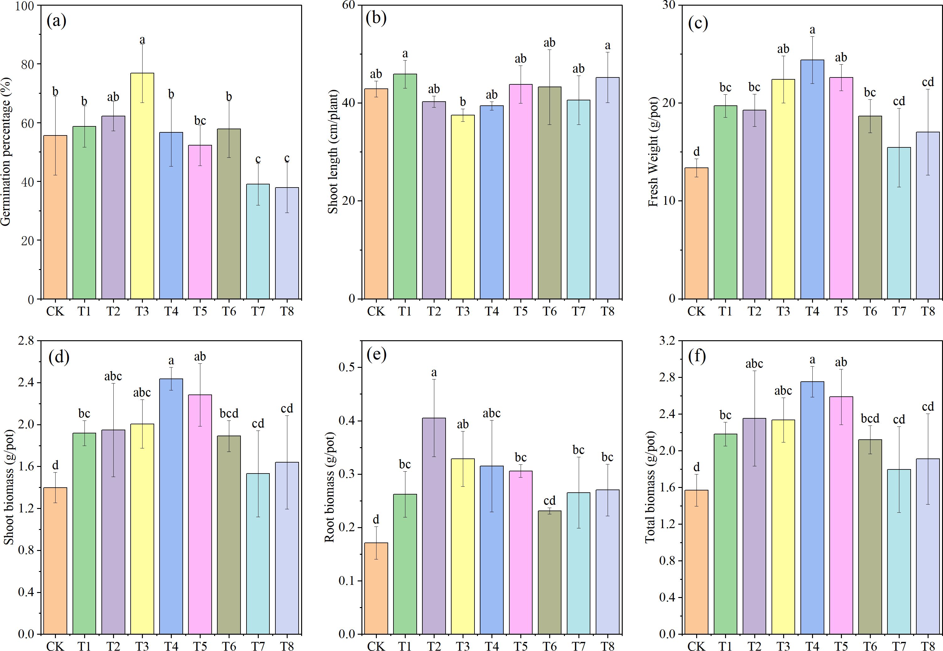
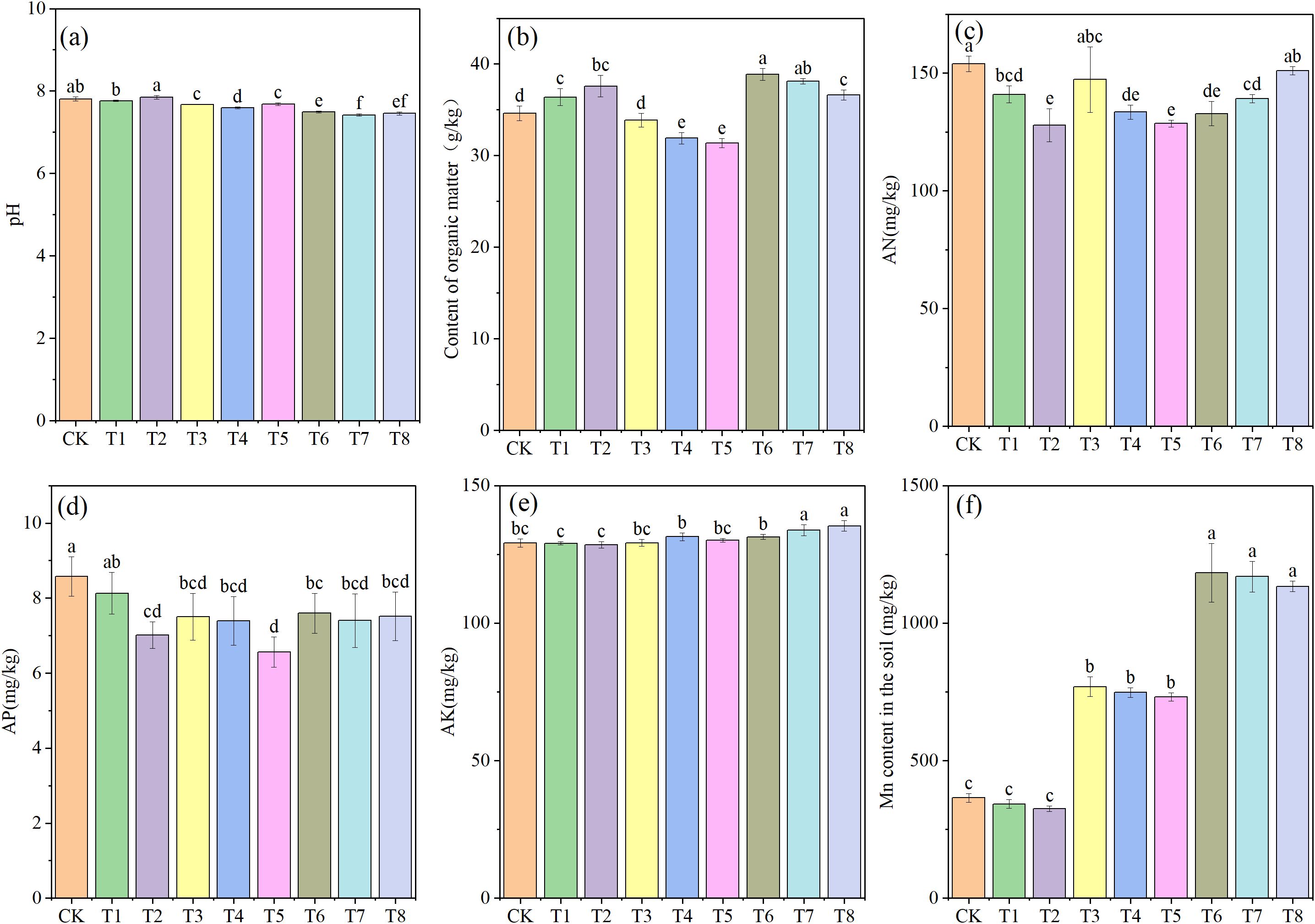
Soil microplastics (MPs) and heavy metals pose a threat to agricultural production. Excessive manganese (Mn) can be toxic to plants. The impacts of combined MP and Mn pollution in soil on plant growth are poorly understood. This pot experiment systematically investigated the effects of single or combined pollution by polyethylene microplastics (PE-MPs) at different concentrations (0%, 0.50%, and 1.5%) and Mn (MnSO4, 0%, 0.25%, and 0.50%) on soybean growth. The addition of Mn + PE-MPs significantly reduced soil pH; PE-MPs increased soil organic matter (OM), while Mn (0.25%) + PE-MPs significantly decreased soil OM. Both single and combined additions of Mn and PE-MPs significantly reduced soil available nitrogen and available phosphorus, but increased soil available potassium. Polyethylene microplastics decreased the number of soybean root tips, whereas Mn (0.25%) resulted in a significant increase. Soybean biomass was highest under the Mn (0.25%) + PE-MPs (0.50%) treatment. PE-MPs significantly increased the peroxidase, catalase, and superoxide dismutase activities in soybeans, while Mn (0.25%) significantly reduced their activities. The addition of low concentrations of Mn alleviated the PE-MP stress on soybeans and exerted a detoxifying effect. These findings provide scientific support for the safe production of soybeans.
Keywords: Microplastics, manganese toxicity, Combined pollution, Antioxidant Enzymes, soybean biomass accumulation
Received: 04 Sep 2025; Accepted: 09 Oct 2025.
Copyright: © 2025 Ren, Luo, Luo, Xu, Wang and Zhang. This is an open-access article distributed under the terms of the Creative Commons Attribution License (CC BY). The use, distribution or reproduction in other forums is permitted, provided the original author(s) or licensor are credited and that the original publication in this journal is cited, in accordance with accepted academic practice. No use, distribution or reproduction is permitted which does not comply with these terms.
* Correspondence: Guangjie Luo, luoguangjie@gznc.edu.cn
Disclaimer: All claims expressed in this article are solely those of the authors and do not necessarily represent those of their affiliated organizations, or those of the publisher, the editors and the reviewers. Any product that may be evaluated in this article or claim that may be made by its manufacturer is not guaranteed or endorsed by the publisher.
