ORIGINAL RESEARCH article
Front. Plant Sci.
Sec. Plant Metabolism and Chemodiversity
This article is part of the Research TopicFruit Ripening and Abscission: From Genomics to MetabolomicsView all articles
Metabolomic and Transcriptomic Insights into the Mechanism of Sugar and Acid Accumulation in the Pulp of Sour-and Sweet-Tasting Baccaurea ramiflora Lour
Provisionally accepted- 1Hanshan Normal University, Chaozhou, China
- 2Guangdong Ocean University, Zhanjiang, China
- 3Maastricht University, Venlo, Netherlands
Select one of your emails
You have multiple emails registered with Frontiers:
Notify me on publication
Please enter your email address:
If you already have an account, please login
You don't have a Frontiers account ? You can register here
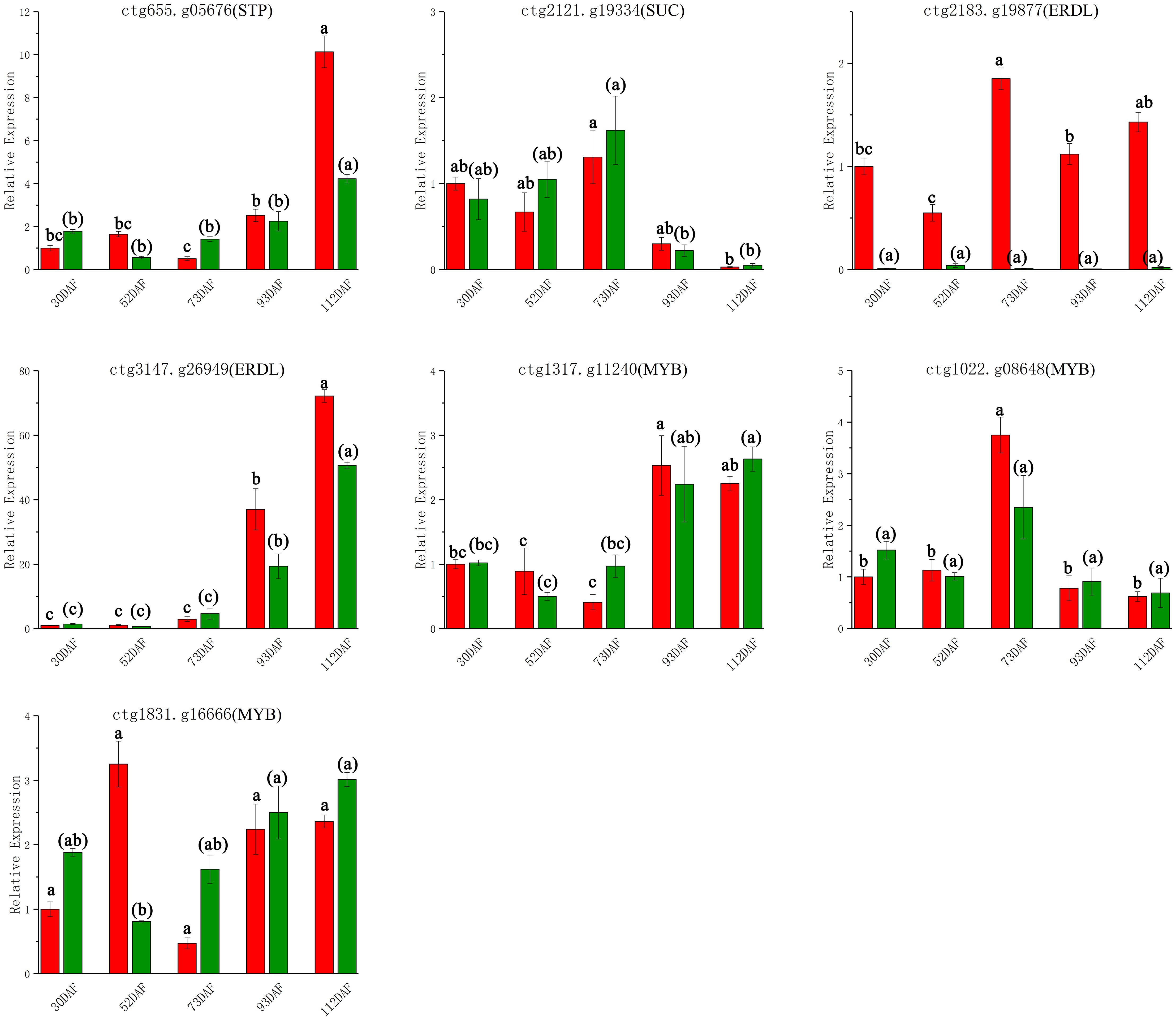
The taste differences between sour-tasting (LR) and sweet-tasting (BR) fruits of Baccaurea ramiflora Lour. are pronounced, yet the underlying mechanisms remain unclear. This study employed combined metabolomic and transcriptomic analyses to elucidate the pathways governing flavor variation. Metabolomic profiling identified D- (+)-glucose and citric acid as key taste determinants, with BR having a higher sugar-to-acid ratio than LR. Transcriptomic data showed that invertase (INV) correlates with D-glucose levels, while sucrose synthase (SUS) and sucrose-phosphate synthase (SPS) contribute to sucrose accumulation. In BR fruits at full maturity, the suppressed expression of INV suggests that reduced sucrose hydrolysis contributes to enhanced sweetness, whereas in LR fruits, elevated expression of hexokinase (HK) indicates increased glucose utilization. Genes involved in organic acid metabolism, such as citrate synthase (CS), aconitase (ACO), and NADP-malic enzyme (NADP-ME), regulate citric and malic acid content. These findings advance our understanding of flavor formation in B. ramiflora, offering molecular targets for breeding and biotechnological improvement of fruit taste.
Keywords: Baccaurea ramiflora Lour., Metabolomics, Transcriptomics, Sugarand acid accumulation, pulp
Received: 04 Sep 2025; Accepted: 27 Oct 2025.
Copyright: © 2025 Huang, Chen, Zhu, Wen, Deng, Lin, Zhu, Zheng, Wu, Zheng, Wu and Yong. This is an open-access article distributed under the terms of the Creative Commons Attribution License (CC BY). The use, distribution or reproduction in other forums is permitted, provided the original author(s) or licensor are credited and that the original publication in this journal is cited, in accordance with accepted academic practice. No use, distribution or reproduction is permitted which does not comply with these terms.
* Correspondence:
Fengnian Wu, fengnian.wu@hstc.edu.cn
Jean Wan Hong Yong, jean.yong@slu.se
Disclaimer: All claims expressed in this article are solely those of the authors and do not necessarily represent those of their affiliated organizations, or those of the publisher, the editors and the reviewers. Any product that may be evaluated in this article or claim that may be made by its manufacturer is not guaranteed or endorsed by the publisher.
