ORIGINAL RESEARCH article
Front. Plant Sci.
Sec. Plant Breeding
Genome-Wide Association and RNA-Seq Analyses Reveal Genes Linked to Salt Stress in Peanut (Arachis hypogaea L.)
Provisionally accepted- 1Weifang University, Weifang, China
- 2Gyeongsang National University, Jinju-si, Republic of Korea
- 3Chonnam National University, Buk-gu, Republic of Korea
- 4Sejong University, Gwangjin-gu, Republic of Korea
- 5FarmHannong Co Ltd Central Research Institute, Nonsan-si, Republic of Korea
- 6Pusan National University, Busan, Republic of Korea
Select one of your emails
You have multiple emails registered with Frontiers:
Notify me on publication
Please enter your email address:
If you already have an account, please login
You don't have a Frontiers account ? You can register here
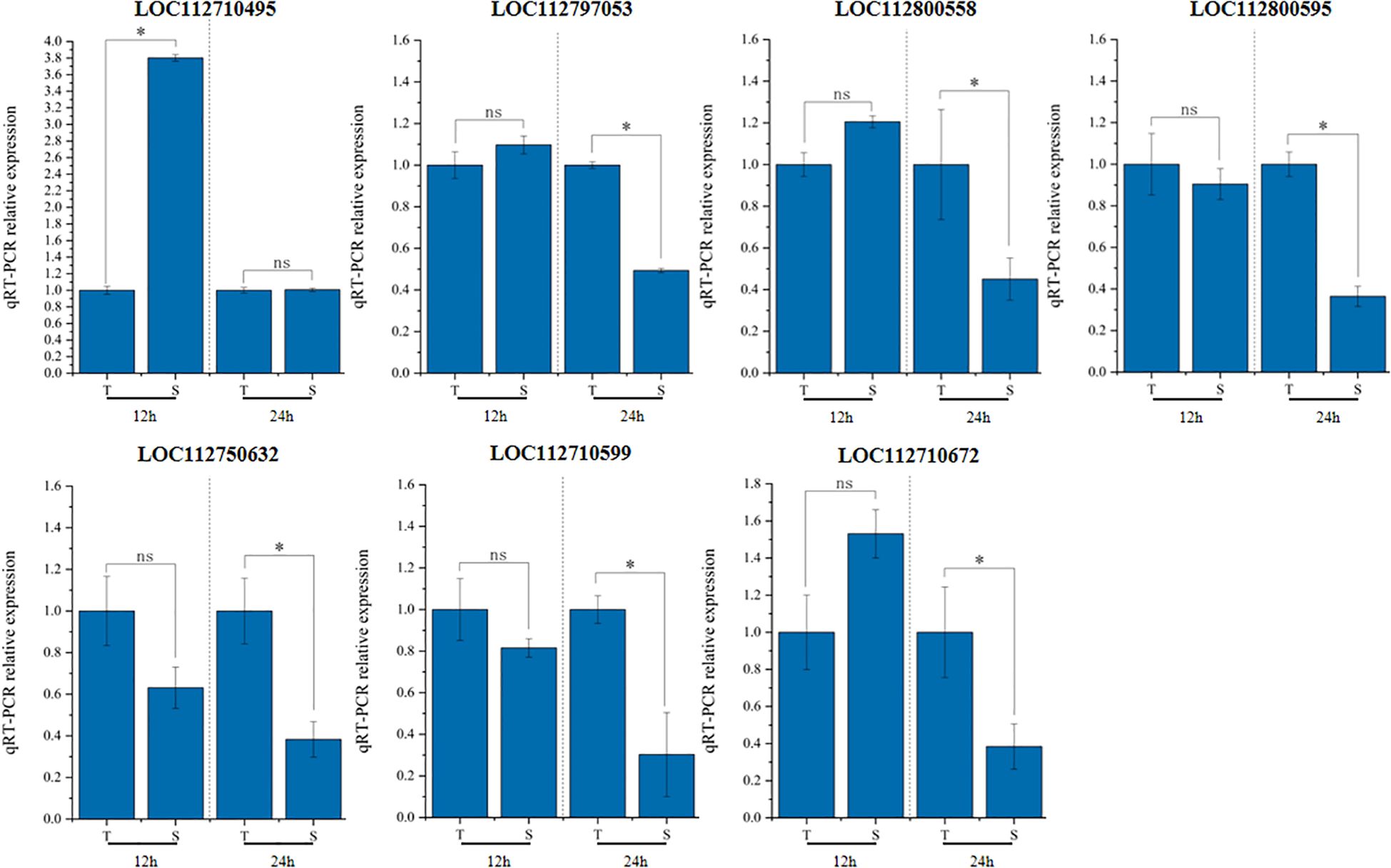
Salt stress adversely affects seed germination, seedling growth, and development, considerably impacting peanut (Arachis hypogaea L.) production. However, their genetic and genomic responses to salinity remain poorly understood. To identify candidate genes associated with salt tolerance, a genome-wide association study (GWAS) of 295 peanut genotypes and RNA sequencing (RNA-seq) analysis of two contrasting accessions (tolerant and susceptible) exposed to 200 mM NaCl at the seedling stage were conducted. Leaf scorch, sodium ion concentration, proline content, and chlorophyll content were evaluated as primary indicators of salt tolerance. GWAS identified 10 single-nucleotide polymorphisms significantly associated with salt stress. Transcriptome analysis of root tissues revealed 1,734 differentially expressed genes, significantly enriched in pathways such as oxidoreductase activity, defense response, flavonoid biosynthesis, transcription factor activity, and cytochrome P450-related functions. Seventeen common candidate genes were identified through the integration of GWAS and RNA-seq results. Of these genes, seven exhibited expression levels significantly correlated with relevant salt tolerance traits. Sequence variations were detected in two of the seven genes, associated with sodium ion content and leaf scorch score, respectively. Using validated mutation data, we developed a kompetitive allele-specific polymerase chain reaction marker to assess proline levels, which enable breeders to make precise and early selections at the field level, thereby reducing both the time and cost required for developing new salt-tolerant varieties through efficient marker-assisted selection. Our integrated genomic and transcriptomic analysis identified seven high-confidence candidate genes, providing new insights and theoretical basis for cloning salt-tolerant genes. These findings advance understanding of the molecular mechanisms underlying peanut adaptation to salt stress and offer valuable genetic resources, including tolerant accessions and associated or linked genomic regions, to support breeding programs for developing salt-tolerant cultivars.
Keywords: peanut1, GWAS2, RNA-seq3, salt stress4, candidate genes5
Received: 05 Sep 2025; Accepted: 30 Oct 2025.
Copyright: © 2025 Zou, Kang, Ha, Kim, Kim and Jun. This is an open-access article distributed under the terms of the Creative Commons Attribution License (CC BY). The use, distribution or reproduction in other forums is permitted, provided the original author(s) or licensor are credited and that the original publication in this journal is cited, in accordance with accepted academic practice. No use, distribution or reproduction is permitted which does not comply with these terms.
* Correspondence:
Ki-Seung Kim, leehan26@snu.ac.kr
Tae-Hwan Jun, thjun76@pusan.ac.kr
Disclaimer: All claims expressed in this article are solely those of the authors and do not necessarily represent those of their affiliated organizations, or those of the publisher, the editors and the reviewers. Any product that may be evaluated in this article or claim that may be made by its manufacturer is not guaranteed or endorsed by the publisher.
