ORIGINAL RESEARCH article
Front. Plant Sci.
Sec. Plant Abiotic Stress
Intermittent versus continuous drought: chlorophyll a fluorescence reveals photosystem resilience in tomato
Provisionally accepted- 1Escuela Técnica Superior de Ingenieros Agrónomos - CR, Universidad de Castilla-La Mancha, Ciudad Real, Spain
- 2Universidad Politecnica de Madrid Escuela Tecnica Superior de Ingenieria Agronomica Alimentaria y de Biosistemas, Madrid, Spain
Select one of your emails
You have multiple emails registered with Frontiers:
Notify me on publication
Please enter your email address:
If you already have an account, please login
You don't have a Frontiers account ? You can register here
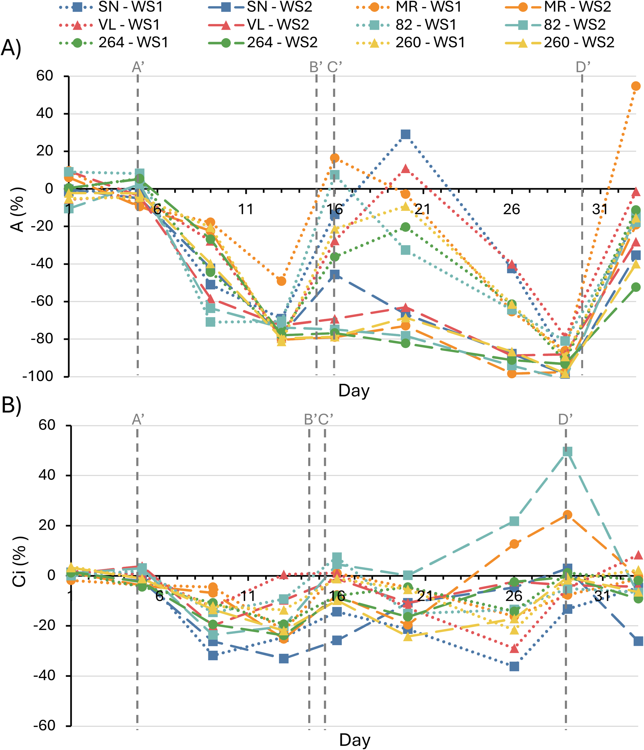
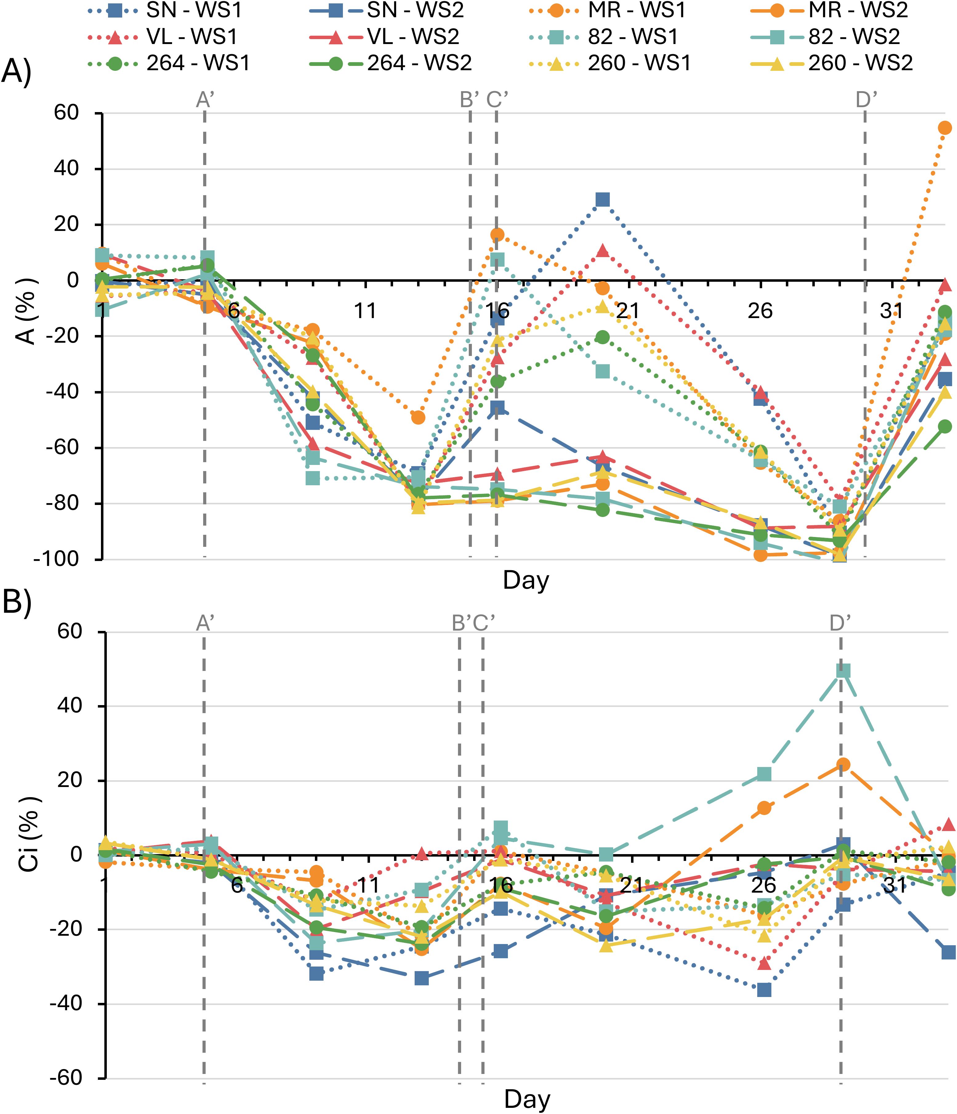
ABSTRACT Recurrent drought threatens Mediterranean tomato yields, yet its time‑scale effects on photochemical tolerance remain unclear. Our objective was to investigate how drought duration affects photochemical tolerance in three commercial cultivars ('Sintonía', 'Marejada', 'Valenciano') and three Mediterranean landraces ('82', '264', '260') under glasshouse conditions. Plants underwent either two short water‑stress pulses (WS1) or one deficit (WS2) before rewatering. Stem water potential dropped to −1.6 MPa in both regimes. We monitored chlorophyll a fluorescence (OJIP test), leaf chlorophyll and gas exchange. The first WS1 pulse transiently increased performance index (PIABS) and electron‑transport efficiencies (ΨE0, ϕE0) by 20–40 % in four cultivars. Photosynthesis declined by –70 to –80 % but recovered within three days of irrigation. 'Sintonía' showed early increases in dissipation (ϕD0) and fluxes (ABS/CS0, DI0/CS0), while maximum quantum yield (ϕP0) remained unchanged across genotype. Sustained WS2, however, reduced PIABS and ϕP0 by –18 to –50 %, increased ϕD0, ABS/CS0 and DI0/CS0 by 30–60 % in all except '260', whose OJIP profile remained stable. Photosynthesis dropped near zero but recovered in five genotypes; '264' recovered only 50 %, showing irreversible damage. Chlorophyll content stayed constant, so shifts were pigment‑independent. These responses define a three‑stage resilience model: (i) reversible photoprotective adjustment to short severe drought; (ii) cumulative photochemical damage during sustained deficit; and (iii) genotype‑dependent recovery. OJIP indices thus reflect stress duration as well as genotype. Combining temporal stress integrals with OJIP screening provides a robust pipeline for breeding Mediterranean tomatoes adapted to future drought, advancing knowledge of drought resilience mechanisms.
Keywords: Solanum lycopersicum, drought resilience, Water stress, OJIP profile, photosystem II
Received: 05 Sep 2025; Accepted: 29 Oct 2025.
Copyright: © 2025 Peco, Centeno, Moratiel, Villena, Moreno, López and Pérez-López. This is an open-access article distributed under the terms of the Creative Commons Attribution License (CC BY). The use, distribution or reproduction in other forums is permitted, provided the original author(s) or licensor are credited and that the original publication in this journal is cited, in accordance with accepted academic practice. No use, distribution or reproduction is permitted which does not comply with these terms.
* Correspondence: David Pérez-López, david.perezl@upm.es
Disclaimer: All claims expressed in this article are solely those of the authors and do not necessarily represent those of their affiliated organizations, or those of the publisher, the editors and the reviewers. Any product that may be evaluated in this article or claim that may be made by its manufacturer is not guaranteed or endorsed by the publisher.
