ORIGINAL RESEARCH article
Front. Plant Sci.
Sec. Functional and Applied Plant Genomics
This article is part of the Research TopicGrowth and Development in Horticultural Crops: Mechanisms, Regulation, and InnovationView all 6 articles
Conserved regions upstream of BRC1B regulate bud dormancy in tomato
Provisionally accepted- Wageningen University & Research, Wageningen, Netherlands
Select one of your emails
You have multiple emails registered with Frontiers:
Notify me on publication
Please enter your email address:
If you already have an account, please login
You don't have a Frontiers account ? You can register here
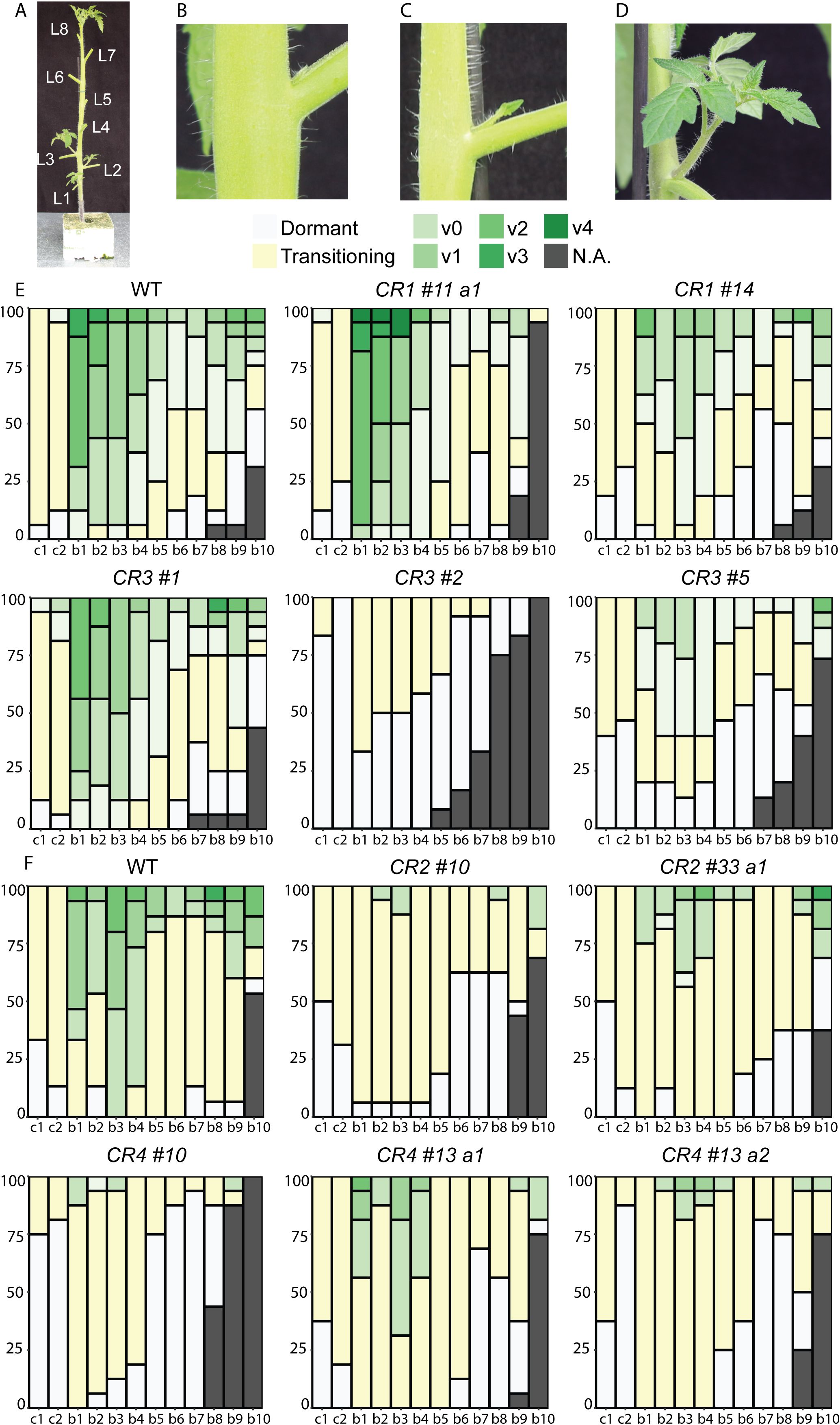
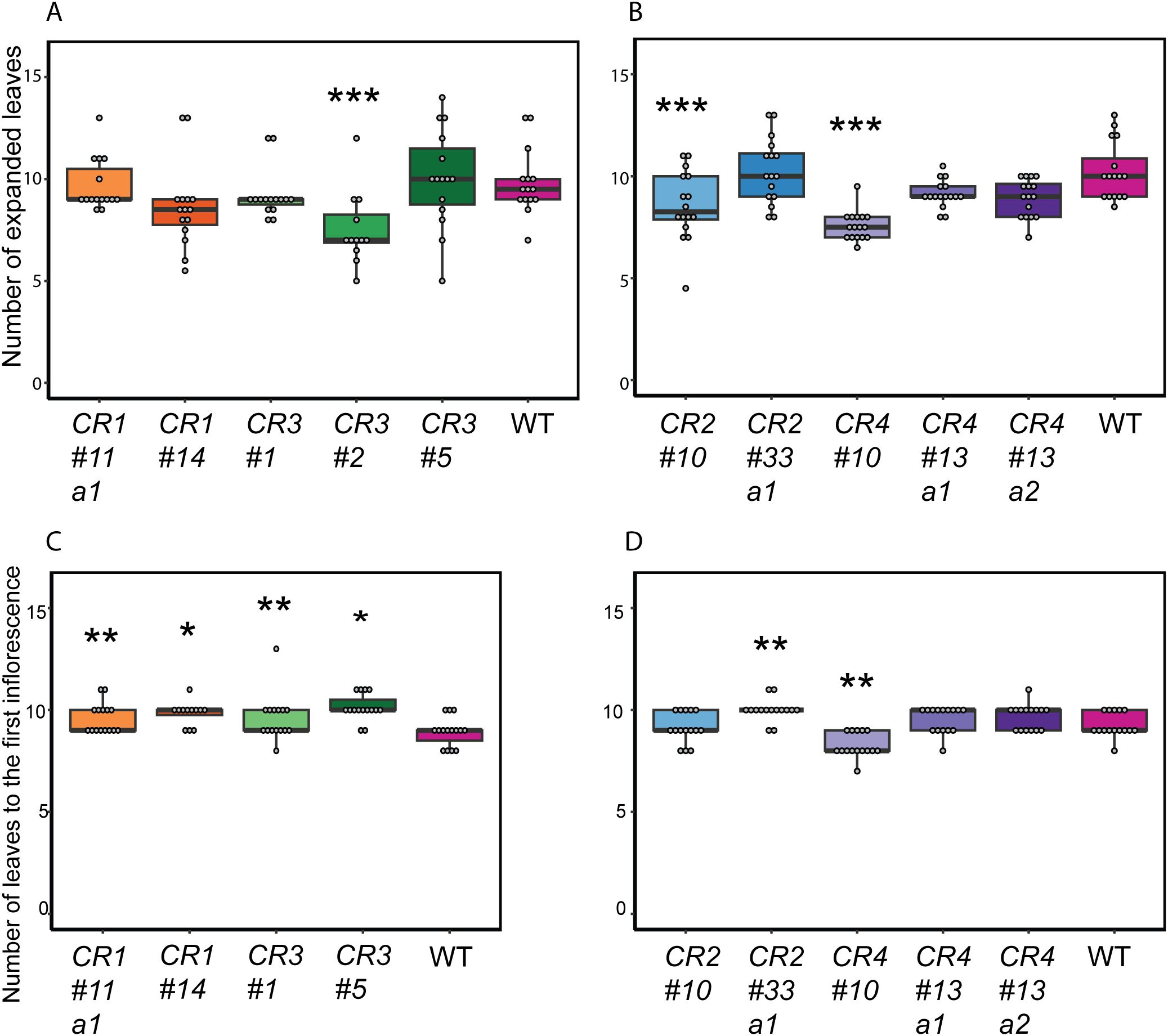
Plant architecture is majorly influenced by shoot branching through the development of axillary meristems in the leaf axils. These meristems develop into axillary buds, which are kept dormant until endogenous or exogenous cues allow their activation. The key TCP class II transcription factor (TF) BRANCHED1 (BRC1) regulates the early stages of bud outgrowth. BRC1 expression is highly specific to axillary buds, where it inhibits outgrowth by integrating hormonal, nutrient, and environmental signals. While the function of BRC1/TB1 genes is highly conserved in numerous species, the cis-and trans-regulation of BRC1 expression remains poorly understood. In this study, we explored how modifications in the SlBRC1B promoter affect bud outgrowth in tomato. We identified four highly conserved regions (CR1 to CR4) in the sequence upstream of the SlBRC1B translation start site by performing a phylogenetic footprinting. A collection of promoter mutants was generated by separately targeting each CR using CRISPR/Cas9. These CR mutants were employed for a detailed bud outgrowth characterization to investigate the effect of mutations on SlBRC1B-mediated bud dormancy. Most CR mutants consistently showed decreased bud outgrowth, suggesting that SlBRC1B is under tight control of various transcriptional repressors. Screening CR4 with an axillary bud-specific cDNA library in a Yeast one-hybrid assay identified MYB, GRF, NAC, MADS, and zinc finger TF family members. Based on our findings, we concluded that the identified CRs play a crucial role in regulating SlBRC1B expression, and that they could be strategically targeted to achieve a desired level of shoot branching.
Keywords: Brc1, shoot branching, Axillary bud, cis regulation, quantitative trait, CRISPR/Cas9
Received: 09 Sep 2025; Accepted: 31 Oct 2025.
Copyright: © 2025 Hatinoğlu, Van der Wal, Angenent, de Maagd and Immink. This is an open-access article distributed under the terms of the Creative Commons Attribution License (CC BY). The use, distribution or reproduction in other forums is permitted, provided the original author(s) or licensor are credited and that the original publication in this journal is cited, in accordance with accepted academic practice. No use, distribution or reproduction is permitted which does not comply with these terms.
* Correspondence: Richard  G.H. Immink, richard.immink@wur.nl
Disclaimer: All claims expressed in this article are solely those of the authors and do not necessarily represent those of their affiliated organizations, or those of the publisher, the editors and the reviewers. Any product that may be evaluated in this article or claim that may be made by its manufacturer is not guaranteed or endorsed by the publisher.
