ORIGINAL RESEARCH article
Front. Plant Sci.
Sec. Crop and Product Physiology
This article is part of the Research TopicRegulatory Effects of Irrigation and Fertilization on Aboveground and Underground Parts of CropsView all 7 articles
Enhancing Alfalfa Yield via Micro-Nano Bubble Oxygenation in Subsurface Drip Irrigation: Rhizosphere Mechanisms Unveiled by Structural Equation Modeling
Provisionally accepted- 1Yinshanbeilu Grassland Eco-Hydrology National Observation and Research Station, China Institute of Water Resources and Hydropower Research, Beijing, China
- 2Institute of Water Resources for pastoral Area Ministry of Water Resources, Hohhot, China
- 3Yinshanbeilu Grassland Eco-hydrology National Observation and Research Station, China Institute of Water Resources and Hydropower Research, Beijing, China
- 4Comprehensive Support Center of Water Resources Department of Inner Mongolia Autonomous Region, Huhhot, China
- 5Water Conservancy Bureau of Ordos City, Ordos, China
- 6Meteorological Bureau of Ordos City, Ordos, China
- 7Qingdao Hengxing University of Science and Technology, Qingdao, China
Select one of your emails
You have multiple emails registered with Frontiers:
Notify me on publication
Please enter your email address:
If you already have an account, please login
You don't have a Frontiers account ? You can register here
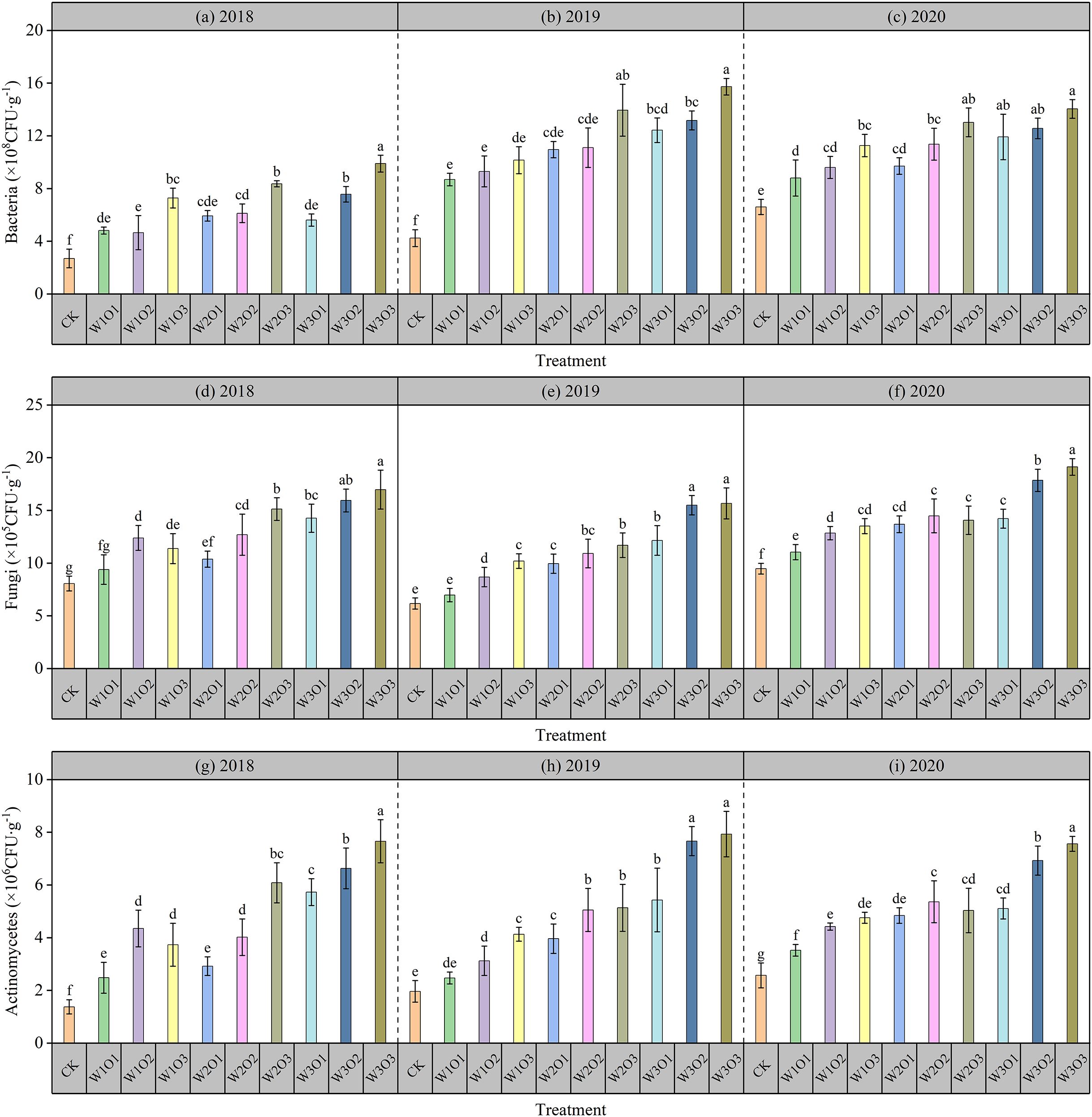
Water scarcity and soil hypoxia are major constraints to forage productivity in arid regions. This study investigated the effects of subsurface drip irrigation with micro-nano bubble oxygenated water (MNBO) on the rhizosphere environment, root physiology, growth, and quality of alfalfa (Medicago sativa L. cv. 'Caoyuan No. 2') under field conditions in Inner Mongolia. A full factorial experimental design was employed, combining three irrigation levels (20, 25, and 30 mm) and three dissolved oxygen concentrations (1.8, 5.0, and 8.2 mg/L). Structural equation modeling (SEM) was applied to quantify the direct and indirect effects of irrigation and oxygenation on yield formation pathways. Results demonstrated that MNBO irrigation significantly improved soil enzyme activities (catalase by 15–28%; urease by 18–32%), microbial abundance (bacteria, fungi, actinomycetes), and root vitality (27.9–103.6%), thereby promoting plant growth and yield. The optimal treatment (25 mm irrigation with 5.0 mg/L DO) increased dry matter yield by 8.3–30.1%, crude protein by 11.2–11.5%, and crude fat by 18.8–27.6% compared to conventional practices. Structural equation modeling revealed that yield improvement was primarily mediated through enhanced soil biological activity and root functionality, rather than direct irrigation effects. These findings provide a scientifically robust irrigation strategy that synergistically enhances water use efficiency and root zone aeration, offering significant potential to support sustainable forage production in water-limited ecosystems.
Keywords: Micro-Nano Bubble Oxygenation, Subsurface drip irrigation (SDI), structural equation modeling (SEM), Alfalfa (Medicaco sativa L.), Water-saving irrigation (WSI)
Received: 09 Sep 2025; Accepted: 28 Oct 2025.
Copyright: © 2025 Cao, Zheng, Wang, Geng, Zi and Feng. This is an open-access article distributed under the terms of the Creative Commons Attribution License (CC BY). The use, distribution or reproduction in other forums is permitted, provided the original author(s) or licensor are credited and that the original publication in this journal is cited, in accordance with accepted academic practice. No use, distribution or reproduction is permitted which does not comply with these terms.
* Correspondence: Yaxing  Feng, yxfeng9301@163.com
Disclaimer: All claims expressed in this article are solely those of the authors and do not necessarily represent those of their affiliated organizations, or those of the publisher, the editors and the reviewers. Any product that may be evaluated in this article or claim that may be made by its manufacturer is not guaranteed or endorsed by the publisher.
