ORIGINAL RESEARCH article
Front. Plant Sci.
Sec. Functional and Applied Plant Genomics
This article is part of the Research TopicAdvancing sugarcane sustainability: Breeding and innovations for climate resilienceView all 3 articles
Multilayered Defense Responses in Sugarcane Against Pratylenchus zeae Revealed by Comparative Transcriptomics
Provisionally accepted- 1Departamento de Genética, Universidade de Sao Paulo Escola Superior de Agricultura Luiz de Queiroz, Piracicaba, Brazil
- 2Universidade de Sao Paulo Escola Superior de Agricultura Luiz de Queiroz, Piracicaba, Brazil
- 3Instituto Agronomico, Campinas, Brazil
Select one of your emails
You have multiple emails registered with Frontiers:
Notify me on publication
Please enter your email address:
If you already have an account, please login
You don't have a Frontiers account ? You can register here
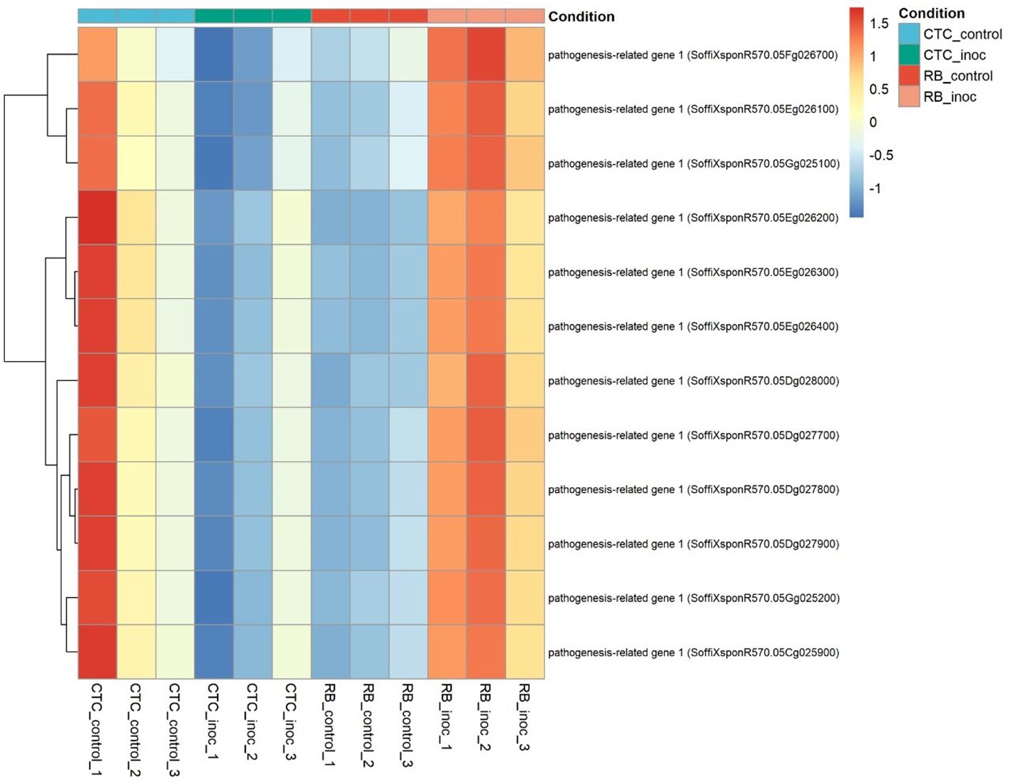
The root-lesion nematode Pratylenchus zeae ranks among the most pervasive soilborne threats to global sugarcane (Saccharum spp.) production, however, the molecular basis of host resistance to this pathogen remains largely unexplored. Using comparative transcriptomics 15 days after inoculation, we profiled root response patterns of a resistant cultivar (RB966928) and a susceptible cultivar (CTC9001). Analysis of differentially expressed genes (DEGs)Differential gene expression analysis identified 3,385 DEGs (1,426 up, 1,959 down) in the susceptible CTC9001 and 8,689 DEGs (5,334 up, 3,355 down) in the resistant RB966928 when comparing control and inoculated plants, revealing distinct genotype-specific defense strategies. The resistant genotype mounted a coordinated, multilayered defense marked by dramatic transcriptional reprogramming, including intensified glycolysis and fatty-acid biosynthesis, elevated oxidoreductase/ROS reactive oxygen species activity, and concurrent activation of jasmonic and salicylic acid associated pathways, with strong induction of multiple pathogenesis-related protein 1PR1 homologs. RB966928 also showed pre-primed and inducible resistance gene analogs and targeted cell-wall reinforcement through xyloglucan fucosylation. By contrast, CTC9001 displayed a delayed or attenuated response characterized Formatado: Fonte: Itálico by cell-proliferation signatures and broad activation of callose-related defenses (1,3-β-D-glucan synthesis) that appear insufficient to limit nematode progression. GO Gene ontology enrichment analysis revealed that the resistant response was dominated by biological processes linked to carbohydrate and lipid metabolism, oxidoreductase activity, hormone signaling, and cell-wall organization, while the susceptible response was enriched in stress-related pathways lacking coordinated metabolic and structural reinforcement. Collectively, these findings indicate that durable resistance to P. zeae is unlikely to arise from a single mechanism, effective protection will require stacking complementary defense layers, including early metabolic reprogramming, robust hormone-mediated signaling, and reinforced cell-wall barriers. The candidate RGAs, PR1 homologs, and cell-wall remodeling enzymes identified here, together with the GO-enriched pathways, provide concrete targets for marker-assisted breeding and gene editing strategies aimed at developing sugarcane cultivars with durable nematode resistance.
Keywords: sugarcane, Pratylenchus zeae, comparative transcriptomics, plant–nematode interaction, Plant Pathology
Received: 10 Sep 2025; Accepted: 29 Oct 2025.
Copyright: © 2025 Confort, Souto, Macedo, Creste and Monteiro Vitorello. This is an open-access article distributed under the terms of the Creative Commons Attribution License (CC BY). The use, distribution or reproduction in other forums is permitted, provided the original author(s) or licensor are credited and that the original publication in this journal is cited, in accordance with accepted academic practice. No use, distribution or reproduction is permitted which does not comply with these terms.
* Correspondence:
Pedro Confort, confort.pedro@gmail.com
Claudia Barros Monteiro Vitorello, cbmontei@usp.br
Disclaimer: All claims expressed in this article are solely those of the authors and do not necessarily represent those of their affiliated organizations, or those of the publisher, the editors and the reviewers. Any product that may be evaluated in this article or claim that may be made by its manufacturer is not guaranteed or endorsed by the publisher.
