ORIGINAL RESEARCH article
Front. Plant Sci.
Sec. Plant Abiotic Stress
This article is part of the Research TopicInnovative Integration of Stress Physiology and Biotechnological Tools for Mitigating Metal Stress in PlantsView all articles
Integrating Soil Bioavailability and Plant Physiological Responses to Establish Region-Specific Safety Thresholds for Cadmium and Arsenic in Rice Cultivated in Karst Regions
Provisionally accepted- 1Guangxi University School of Agriculture, Nanning, China
- 2Guangxi University Guangxi Key Laboratory of Agricultural Environment and Agricultural Product Safety, Nanning, China
- 3National Demonstration Center for Experimental Plant Science Education, Nanning, China
Select one of your emails
You have multiple emails registered with Frontiers:
Notify me on publication
Please enter your email address:
If you already have an account, please login
You don't have a Frontiers account ? You can register here
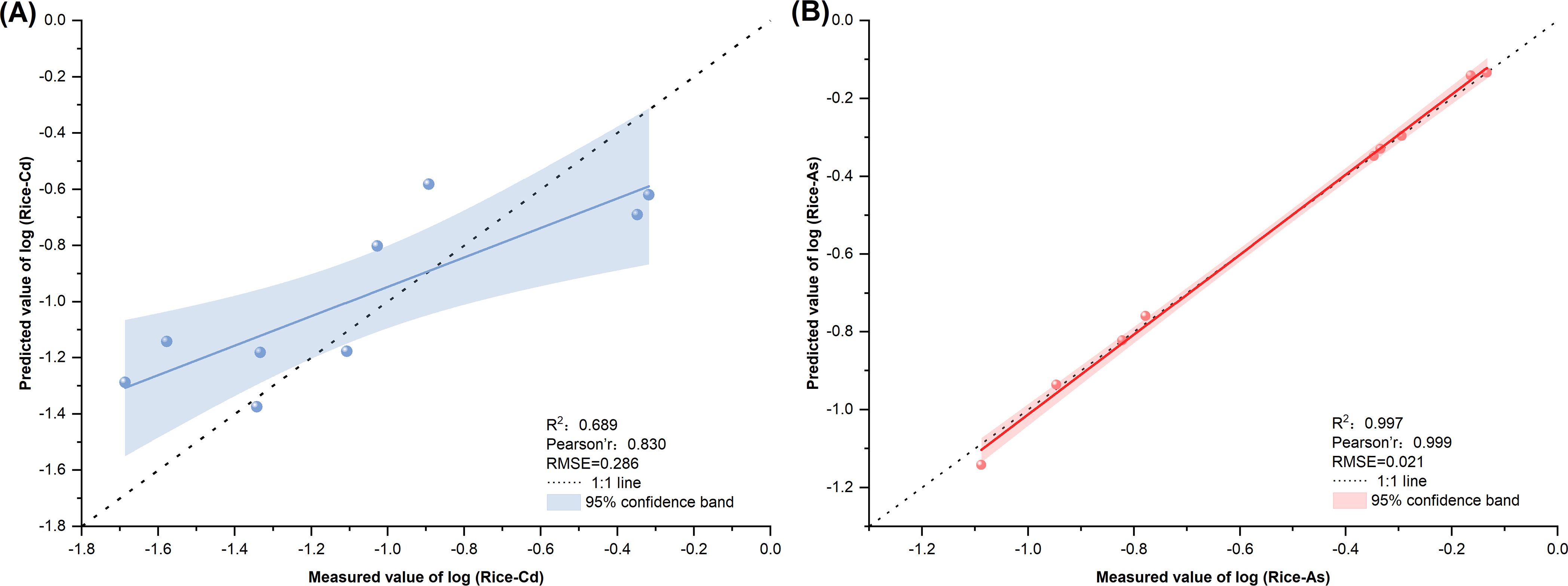
The national soil risk screening values (RSVs) and intervention values (RIVs) have limited applicability in karst regions with high geochemical backgrounds, often leading to unnecessary remediation efforts. To address this issue, 125 paired soil–rice samples from Gejiu–Mengzi, Yunnan Province, China, were analyzed. We found that the RSV misclassification rates (mainly false positives) for cadmium (Cd) and arsenic (As) in neutral-to-alkaline paddies (pH > 6.5) ranged from 52.0–66.4%. Soil iron/manganese (Fe/Mn) oxides and pH were identified as critical factors controlling Cd/As bioavailability in rice. This decoupling is primarily governed by soil alkalinity and abundant Fe/Mn oxides, which immobilize metals despite high total concentrations. This also explains why there is such a high rate of false positives. By integrating multiple linear regression and species sensitivity distribution (SSD) models, we derived regional safety thresholds (STs) and hazard thresholds (HTs). The newly established STs (Cd: 4.54–7.12 mg·kg-1; As: 91.43–92.30 mg·kg-1) were significantly higher than the national RSVs (Cd: 0.6–0.8 mg·kg-1; As: 20–25 mg·kg-1). The HT for Cd (9.66–10.12 mg·kg-1) was 2.5–3.2 times greater than the RIV for Cd, whereas the HT for As (96.90–97.15 mg·kg-1) was slightly lower than the RIV for As (100–120 mg·kg-1). Applying the ST– HT system increased the soil quality assessment accuracy from 28.1–95.6% to 71.8–100%, drastically reducing the need for unnecessary remediation. This study not only serves as a region-specific framework for safe rice cultivation in karst areas of Yunnan, but also highlights the potential for integrating soil‒plant system bioavailability with physiological tolerance mechanisms. Furthermore, we provide a crucial benchmark for evaluating innovative remediation strategies aimed at alleviating metal stress in plants.
Keywords: cadmium bioavailability, Arsenic bioavailability, Karst region, paddy soil, High geochemical background, safe utilization, metal tolerance, sustainable agriculture
Received: 11 Sep 2025; Accepted: 28 Nov 2025.
Copyright: © 2025 Wei, Huang, Yu, Zan, Li, Wei, Peng and Wang. This is an open-access article distributed under the terms of the Creative Commons Attribution License (CC BY). The use, distribution or reproduction in other forums is permitted, provided the original author(s) or licensor are credited and that the original publication in this journal is cited, in accordance with accepted academic practice. No use, distribution or reproduction is permitted which does not comply with these terms.
* Correspondence: Xueli Wang
Disclaimer: All claims expressed in this article are solely those of the authors and do not necessarily represent those of their affiliated organizations, or those of the publisher, the editors and the reviewers. Any product that may be evaluated in this article or claim that may be made by its manufacturer is not guaranteed or endorsed by the publisher.
