ORIGINAL RESEARCH article
Front. Plant Sci.
Sec. Sustainable and Intelligent Phytoprotection
This article is part of the Research TopicAdvanced Imaging and Phenotyping for Sustainable Plant Science and Precision Agriculture 4.0View all articles
Deep Learning-Based Phenotyping of Lettuce Diseases Using Efficient-FBM-FRMNet for Precision Agriculture
Provisionally accepted- 1Chitkara University, Chandigarh, India
- 2King Khalid University, Abha, Saudi Arabia
- 3Lovely Professional University, Phagwara, India
- 4Galgotias university, noida, India
- 5Galgotias university, greater noida, India
- 6Princess Nourah bint Abdulrahman University, Riyadh, Saudi Arabia
- 7Imam Muhammad Ibn Saud Islamic University, Riyadh, Saudi Arabia
- 8Uttaranchal University, Dehradun, India
- 9Graphic Era Deemed to be University, Dehradun, India
Select one of your emails
You have multiple emails registered with Frontiers:
Notify me on publication
Please enter your email address:
If you already have an account, please login
You don't have a Frontiers account ? You can register here
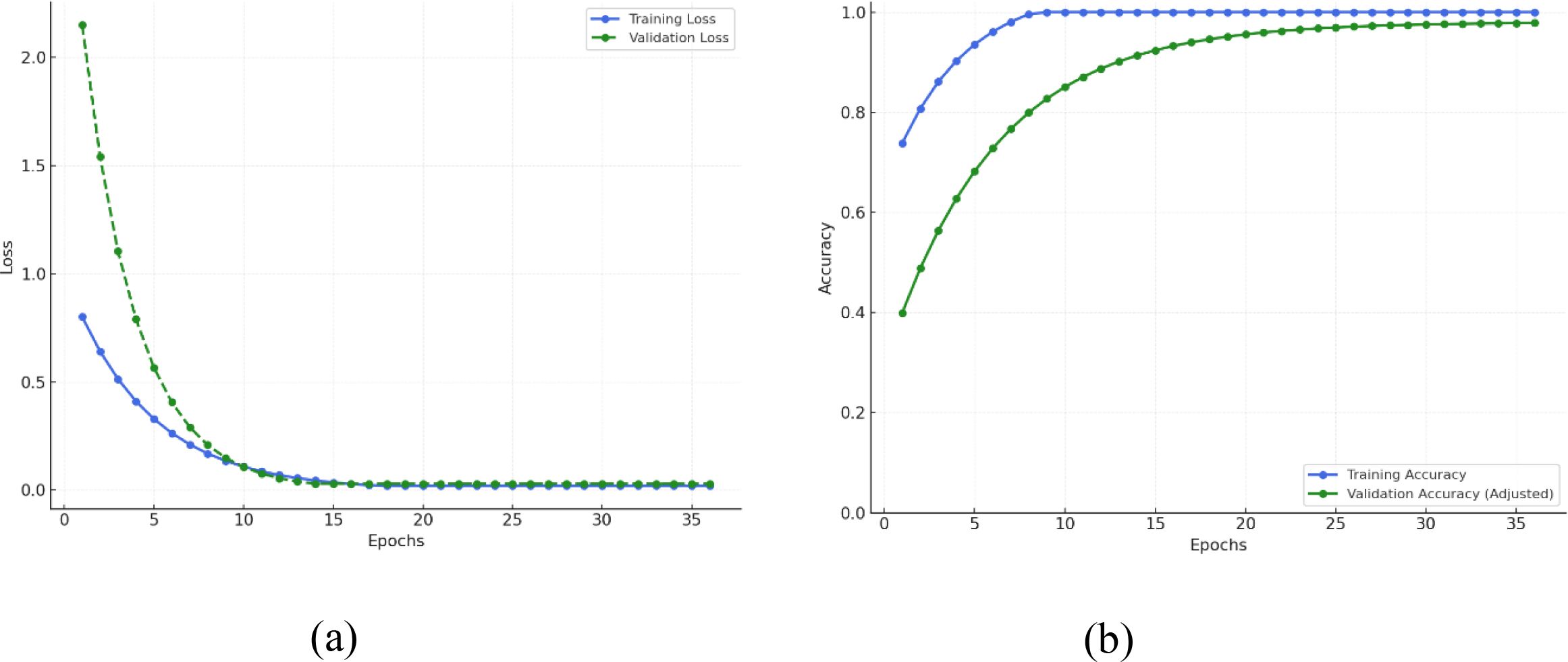
Lettuce (Lactuca sativa), a widely cultivated leafy vegetable, is highly susceptible to bacterial and fungal infections that significantly reduce crop yield. Timely and accurate disease identification is therefore crucial for precision agriculture. This study introduces Efficient-FBM-FRMNet, a deep learning framework for automated lettuce disease detection. The proposed architecture combines EfficientNetB4 with dilated convolutions, a Feature Bottleneck Module (FBM), a Reasoning Engine, and a Feature Refinement Module (FRM) in a sequential manner that strengthens both accuracy and interpretability. EfficientNetB4 with dilated convolutions captures fine-grained and multi-scale lesion patterns by expanding the receptive field without increasing parameters. The FBM then condenses redundant features into compact, noise-reduced representations that emphasize lesion-specific cues. These condensed features are processed by the Reasoning Engine, a lightweight non-linear projection that models higher-order feature interactions and enhances semantic separability. Finally, the FRM This is a provisional file, not the final typeset article calibrates and regularizes the feature space, suppressing overfitting and improving prediction stability. This integration allows the framework not only to achieve superior accuracy with fewer parameters but also to provide interpretable, lesion-focused predictions that conventional CNNs lack. The proposed model was evaluated on a publicly available dataset of 2,813 lettuce leaf images covering bacterial, fungal, and healthy classes, it achieved high accuracy, precision, and recall which consistently outperformed conventional CNN architectures such as EfficientNetB4, ResNet50, and DenseNet121. These improvements highlight the framework's superiority in discriminative capability, interpretability, and stability. The results underscore the potential of Efficient-FBM-FRMNet for deployment in greenhouse monitoring, UAV-assisted field surveillance, and mobile diagnostic platforms, contributing to sustainable, AI-driven agricultural practices.
Keywords: Lettuce Disease Detection, deep learning, EfficientNetB4, Feature BottleneckModule (FBM), Dilated convolutions, Feature Refinement Module (FRM)
Received: 13 Sep 2025; Accepted: 27 Oct 2025.
Copyright: © 2025 Nasra, Gupta, Khan, Singh, Alabdullah, Almjally, Pant, Kumar and Bharany. This is an open-access article distributed under the terms of the Creative Commons Attribution License (CC BY). The use, distribution or reproduction in other forums is permitted, provided the original author(s) or licensor are credited and that the original publication in this journal is cited, in accordance with accepted academic practice. No use, distribution or reproduction is permitted which does not comply with these terms.
* Correspondence:
Mudassir Khan, mkmiyob@kku.edu.sa
Salil Bharany, salil.bharany@gmail.com
Disclaimer: All claims expressed in this article are solely those of the authors and do not necessarily represent those of their affiliated organizations, or those of the publisher, the editors and the reviewers. Any product that may be evaluated in this article or claim that may be made by its manufacturer is not guaranteed or endorsed by the publisher.
