ORIGINAL RESEARCH article
Front. Plant Sci.
Sec. Crop and Product Physiology
Optimization of row-ratios in mechanized hybrid rice seed production: a study on pollen dispersal and seed-setting characteristics at two ecological sites
Provisionally accepted- 1Institute of Crop Sciences, Sichuan Academy of Agricultural Sciences, Chengdu, Sichuan, China
- 2South China Agricultural University College of Agronomy, Guangzhou, China
- 3Sichuan Agricultural University Rice Research Institute, Chengdu, China
- 4Sichuan Agricultural University College of Agronomy, Chengdu, China
Select one of your emails
You have multiple emails registered with Frontiers:
Notify me on publication
Please enter your email address:
If you already have an account, please login
You don't have a Frontiers account ? You can register here
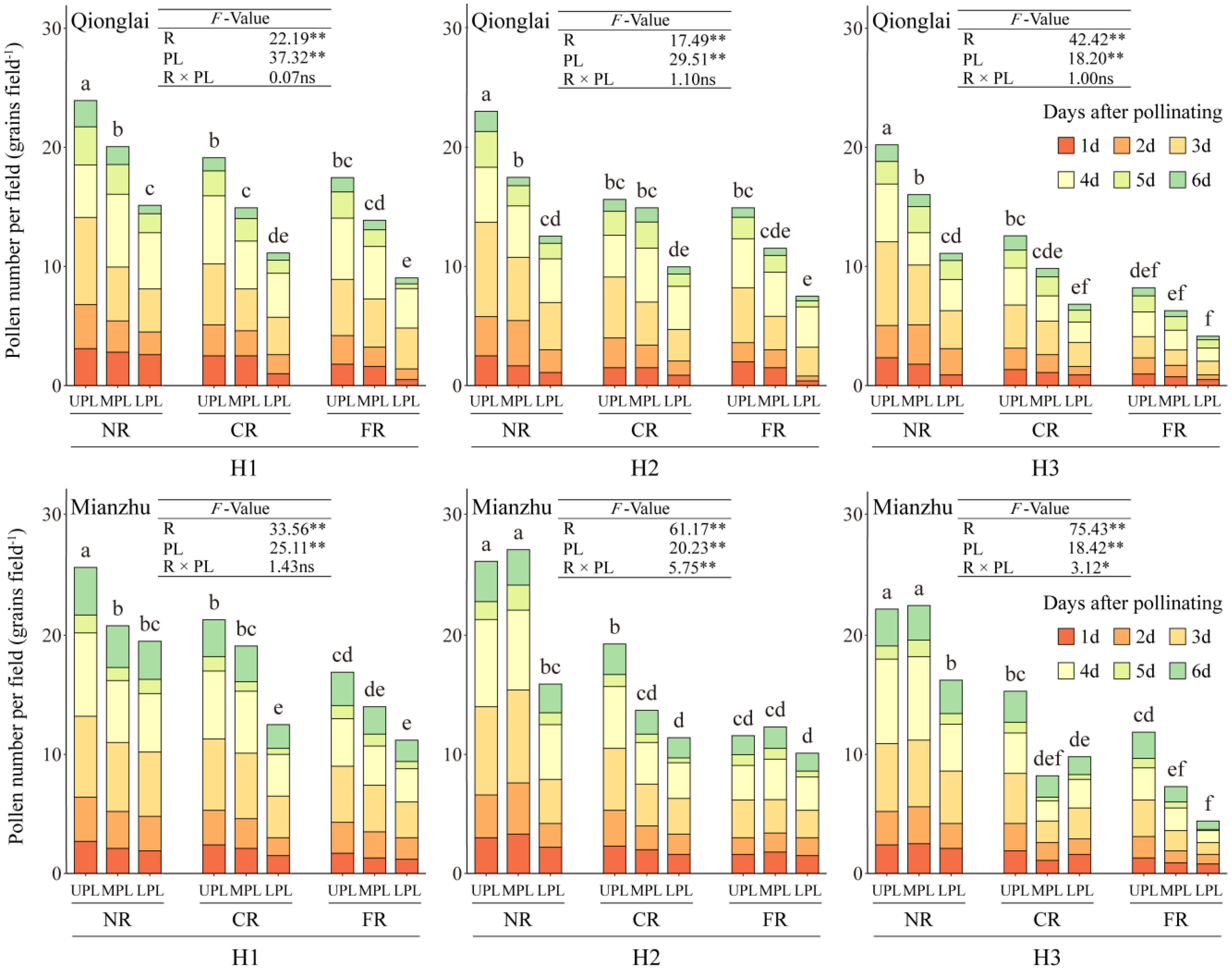
To explore the optimal row-ratio in mechanized hybrid rice seed production, a field experiment was conducted in 2024 at Qionglai and Mianzhu using ‘Tiantai A’ × ‘Taihui 808’. Three row-ratio treatments (H1: 18:6, H2: 24:6, H3: 30:6) were tested using agricultural unmanned aerial vehicles (AUAVs) for pollination assistance. Results showed that row-ratio had little effect on sterile line flowering dynamics. The index of flowers meeting (IFM) was 0.71-0.72 at Qionglai and 0.81–0.86 at Mianzhu, with 11-12 days of flowering duration. As the row-ratio increased, total pollen quantity in the panicle layer and grain filling rate (GFR) decreased, while grain infection rate (GIR) increased. Responses of grain blighted rate (GBR), grain empty rate (GER), and fertilization success rate (FSR) to row-ratio varied between sites. Pollen density and GFR followed the pattern of near region (NR) > central region (CR) > far region (FR). Within the panicle, pollen density was generally highest in the upper panicle layer (UPL), followed by the middle (MPL) and lower (LPL) layers, with partial exceptions observed in the H2 and H3 treatments at Mianzhu. The vertical distribution of GFR varied by site: at Qionglai, it was apical parts of panicle (APP) > median parts (MPP) > basal parts (BPP), whereas at Mianzhu, the order was MPP > APP > BPP. With wider row-ratios, yield per unit area (YUA) and GFR declined (H1 > H2 > H3), while 1000-grain weight increased or decreased then increased. Under H1, yields reached 2107.50 kg ha⁻¹ at Qionglai and 2201.62 kg ha⁻¹ at Mianzhu, 4.18% and 3.18% higher than H2, and 6.74% and 5.77% higher than H3. However, the equivalent monoculture yield per hectare (EMYH) increased with wider row-ratios (H3 > H2 > H1). Under H3, equivalent yields were 1645.43 kg ha⁻¹ at Qionglai and 1734.59 kg ha⁻¹ at Mianzhu, increasing by 4.10% and 1.68% over H1, and 5.05% and 1.62% over H2. In summary, although wider row-ratios reduced pollen supply and GFR per sterile row, the increased number of sterile rows compensated, enhancing total seed production. Thus, the 30:6 row-ratio (H3) is recommended for optimal yield.
Keywords: Hybrid rice, Mechanized seed production, Row-ratio, pollen dispersal, yield
Received: 13 Sep 2025; Accepted: 26 Nov 2025.
Copyright: © 2025 Li, Chen, Li, Yang, Guo, Zhu, Zhang, Zhang, Yu, Luo, Li, Yuyuan and Li. This is an open-access article distributed under the terms of the Creative Commons Attribution License (CC BY). The use, distribution or reproduction in other forums is permitted, provided the original author(s) or licensor are credited and that the original publication in this journal is cited, in accordance with accepted academic practice. No use, distribution or reproduction is permitted which does not comply with these terms.
* Correspondence:
Ouyang Yuyuan
Xuyi Li
Disclaimer: All claims expressed in this article are solely those of the authors and do not necessarily represent those of their affiliated organizations, or those of the publisher, the editors and the reviewers. Any product that may be evaluated in this article or claim that may be made by its manufacturer is not guaranteed or endorsed by the publisher.
