ORIGINAL RESEARCH article
Front. Plant Sci.
Sec. Crop and Product Physiology
A Two-Tiered Methodology for the Validation of Promising Plant Growth Promoting Bacteria Isolated from Durum Wheat Rhizosphere
Provisionally accepted- University of Foggia, Foggia, Italy
Select one of your emails
You have multiple emails registered with Frontiers:
Notify me on publication
Please enter your email address:
If you already have an account, please login
You don't have a Frontiers account ? You can register here
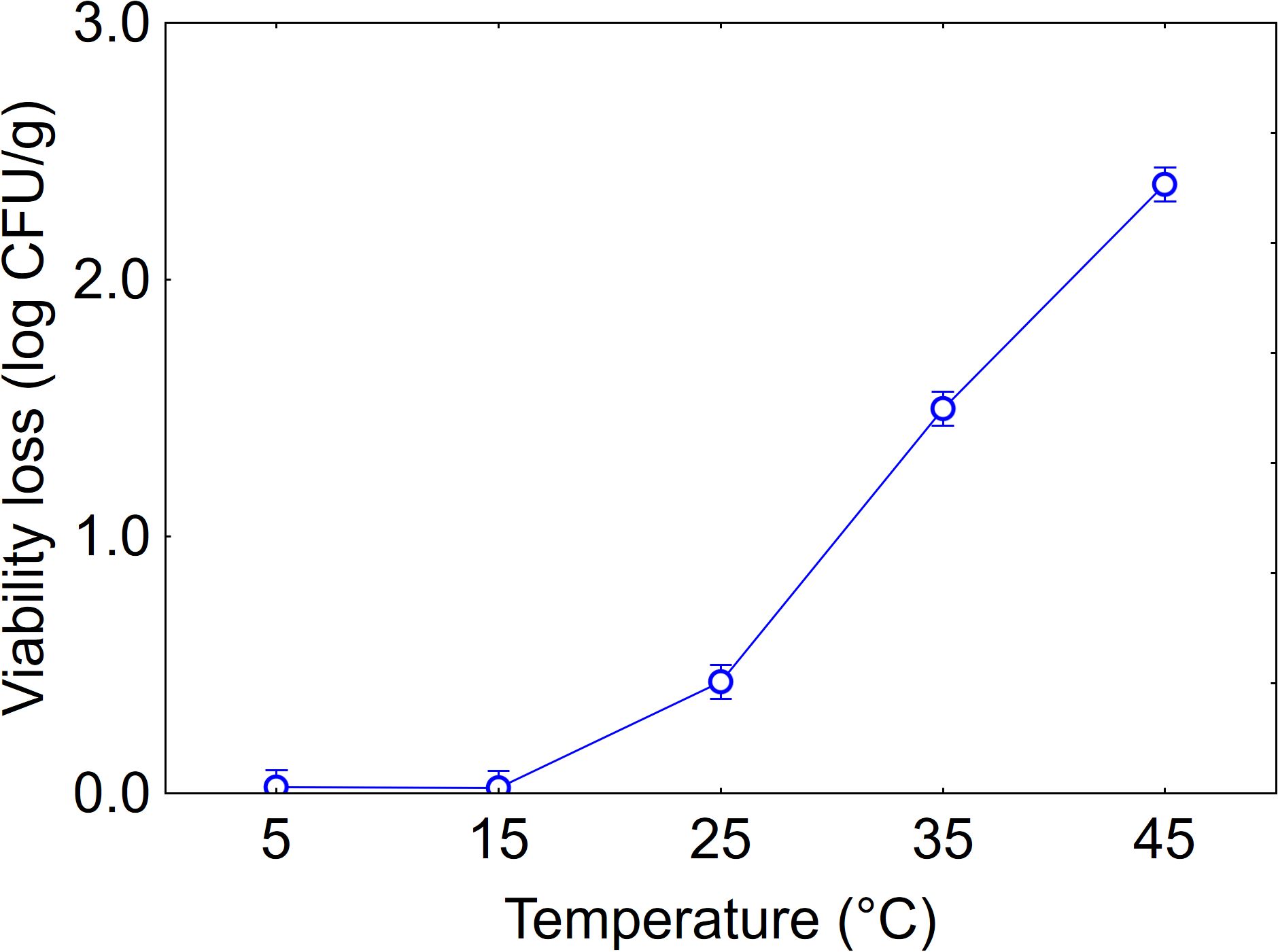
Plant growth promoting bacteria (PGPB) are gaining increasing attention as a sustainable tool to support crop performance under environmental and agronomic stress conditions. However, the transition from laboratory to field is a challenge. Six PGPB strains from the rhizosphere of durum wheat were evaluated for their technological characteristics and agronomic performanceperformance, to identify suitable candidates suitable for field conditions in a Mediterranean environment. The strains were studied for their resistance to two commercial fungicides, ability to persist in soil at different temperatures, and their growth over pH and temperature. The strain 23P (Pseudomonas migulae) showed the best overall performance, with the highest resistance to fungicides and viability in soil; in addition, this microorganism enhanced shoot biomass and nitrogen uptake, increasing shoot-to-root ratio and N:P. The results support a selection strategy that includes both technological characterization and agronomic validation with a comprehensive and holistic approach from lab to field.
Keywords: biofertilizer, selection, from lab to field, Persistence, Promoting effects
Received: 17 Sep 2025; Accepted: 27 Oct 2025.
Copyright: © 2025 d'Amelio, De Santis, Giuzio, Tozzi, Campaniello, Racioppo, Corbo, Flagella and Bevilacqua. This is an open-access article distributed under the terms of the Creative Commons Attribution License (CC BY). The use, distribution or reproduction in other forums is permitted, provided the original author(s) or licensor are credited and that the original publication in this journal is cited, in accordance with accepted academic practice. No use, distribution or reproduction is permitted which does not comply with these terms.
* Correspondence: Antonio Bevilacqua, antonio.bevilacqua@unifg.it
Disclaimer: All claims expressed in this article are solely those of the authors and do not necessarily represent those of their affiliated organizations, or those of the publisher, the editors and the reviewers. Any product that may be evaluated in this article or claim that may be made by its manufacturer is not guaranteed or endorsed by the publisher.
