ORIGINAL RESEARCH article
Front. Plant Sci.
Sec. Crop and Product Physiology
Elucidation of morphological and physiological traits contributing to high biomass productivity and consistently high yield in the high-yielding rice variety Kitagenki
Provisionally accepted- 1Nogyo Shokuhin Sangyo Gijutsu Sogo Kenkyu Kiko Hokkaido Nogyo Kenkyu Center, Sapporo, Japan
- 2Rakuno Gakuen Daigaku, Ebetsu, Japan
- 3Nagoya Daigaku, Nagoya, Japan
Select one of your emails
You have multiple emails registered with Frontiers:
Notify me on publication
Please enter your email address:
If you already have an account, please login
You don't have a Frontiers account ? You can register here
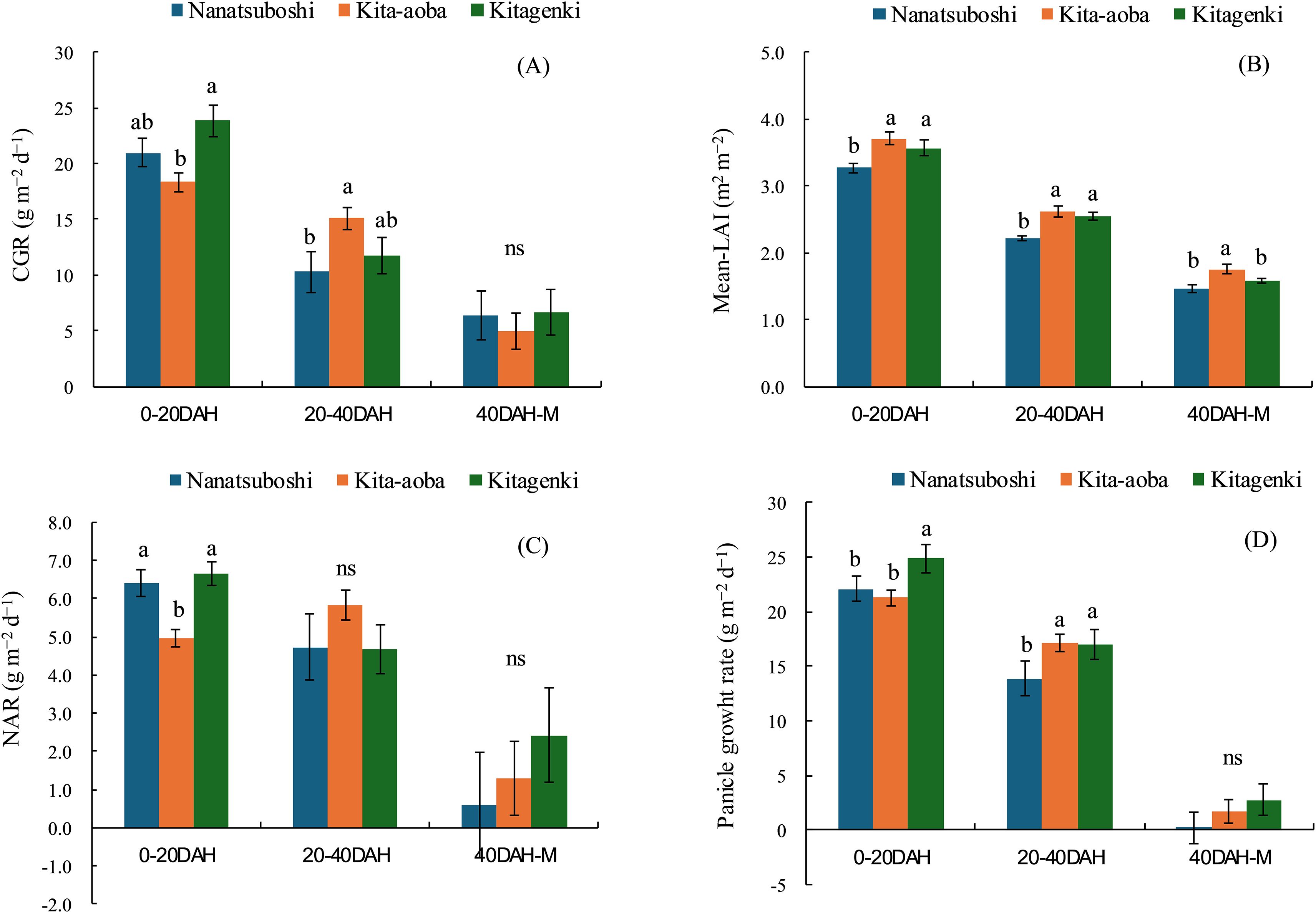
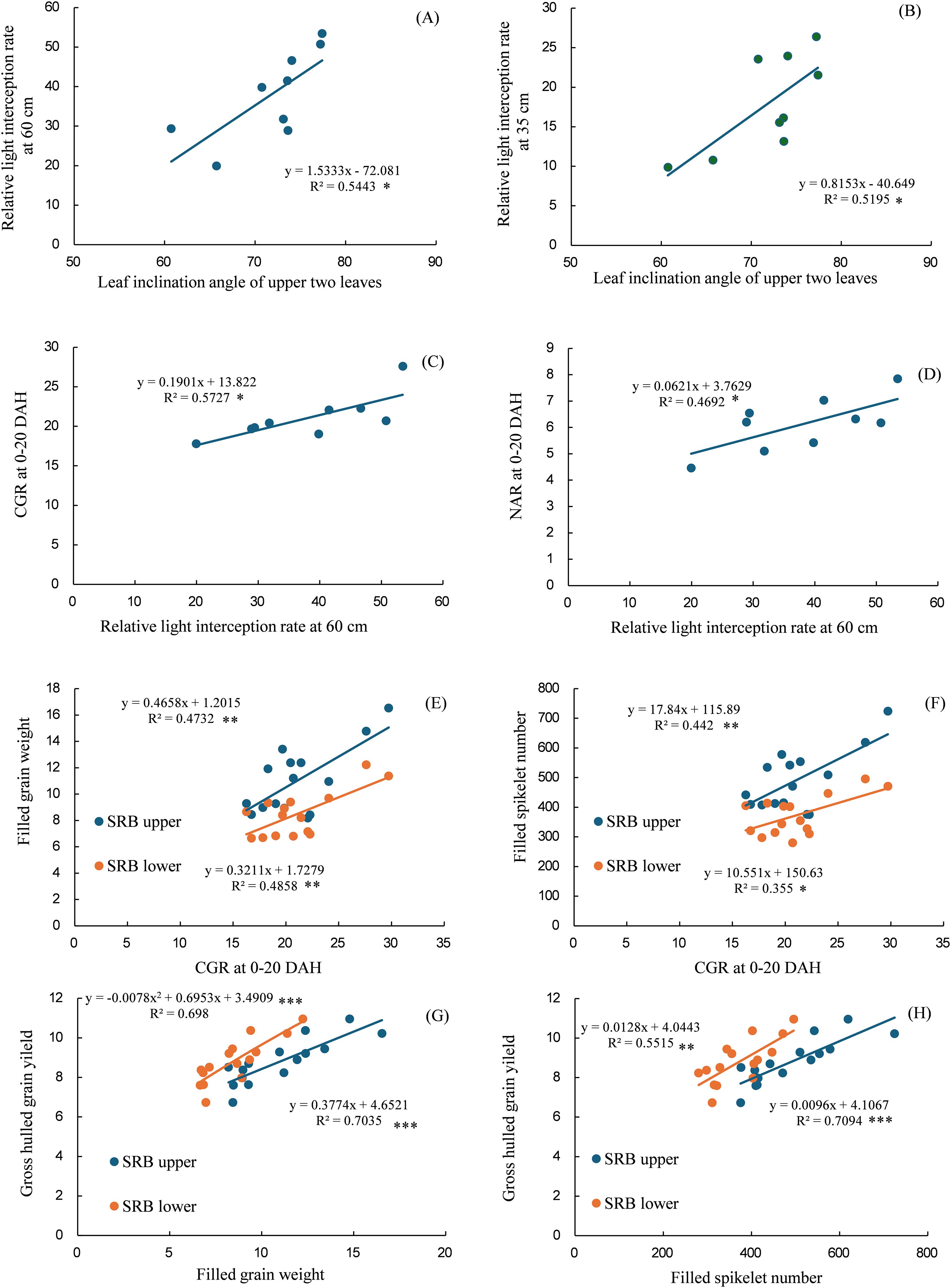
A high-yielding rice variety (HYV), Kitagenki, in the Hokkaido region has a high yield potential owing to its large sink capacity, high source ability, and grain-filling ability. However, the detailed mechanisms underlying high biomass productivity, a major component of source ability, and stable high yields remain elusive. Thus, we aimed to elucidate the canopy morphological and physiological traits that improve the biomass productivity of Kitagenki and how they contribute to a stably high yield. We conducted field experiments over 8 years using three rice varieties (Nanatsuboshi: standard-yielding variety, Kita-aoba, and Kitagenki: HYV) with three replicates. Kitagenki stably produced higher gross hulled grain yield than Kita-aoba by 4.9–14.9% (8.9% on average) because of higher filled-grain percentage. During 0–20 days following the full-heading stage (DAH), Kitagenki revealed a markedly higher crop growth rate (CGR) by 29.7% than Kita-aoba because of a higher net assimilation rate (NAR) while maintaining leaf area index (LAI). During these stages, Kitagenki showed a better canopy architecture, characterized by substantially higher leaf inclination angles of the upper two leaves and narrower leaf blades, which facilitated better light interception inside the canopy and higher 13C assimilation of the third and all leaves than in Kita-aoba. At the single-leaf level, Kitagenki showed a higher photosynthetic rate in the third leaf and higher stomatal conductance. Consequently, adequate carbohydrate supply during the early grain-filling stages in Kitagenki enabled faster translocation into the inferior spikelet, resulting in a higher grain-filling ability than that in Kita-aoba. This further contributed to the higher grain yield per cumulative solar This is a provisional file, not the final typeset article radiation during 0–40 DAH in Kitagenki than in Kita-aoba under fluctuating air temperature. These findings indicate that superior canopy architecture, better light interception inside the canopy, and higher carbon assimilation of lower leaves contribute to high biomass productivity during the early grain-filling stage, leading to high grain-filling ability and a stable high yield in Kitagenki compared to Kita-aoba. These results provide key canopy morphological and physiological traits for breeding future HYV that can break the yield ceiling in cold regions.
Keywords: Biomass productivity, Carbon assimilation, Canopy architecture, Grain-filling ability, light interception, Photosynthesis, Stable high yield
Received: 22 Sep 2025; Accepted: 27 Oct 2025.
Copyright: © 2025 Yagioka, Hayashi, Kimiwada and Kondo. This is an open-access article distributed under the terms of the Creative Commons Attribution License (CC BY). The use, distribution or reproduction in other forums is permitted, provided the original author(s) or licensor are credited and that the original publication in this journal is cited, in accordance with accepted academic practice. No use, distribution or reproduction is permitted which does not comply with these terms.
* Correspondence: Atsushi Yagioka, yagioka.atsushi492@naro.go.jp
Disclaimer: All claims expressed in this article are solely those of the authors and do not necessarily represent those of their affiliated organizations, or those of the publisher, the editors and the reviewers. Any product that may be evaluated in this article or claim that may be made by its manufacturer is not guaranteed or endorsed by the publisher.
