ORIGINAL RESEARCH article
Front. Plant Sci.
Sec. Plant Symbiotic Interactions
This article is part of the Research TopicMicrobial-Fungal Symbioses: Ecological Implications, Environmental Impact, and Biotechnological Applications in Natural and Agricultural SystemsView all 4 articles
Combined application of biochar and halophyte intercropping enhances cucumber yield and quality by ameliorating soil properties in a continuous cropping system
Provisionally accepted- 1Puer University, Pu'er, China
- 2Hainan University, Haikou, China
- 3Jiangsu University, Zhenjiang, China
- 4Nanjing Agricultural University, Nanjing, China
Select one of your emails
You have multiple emails registered with Frontiers:
Notify me on publication
Please enter your email address:
If you already have an account, please login
You don't have a Frontiers account ? You can register here
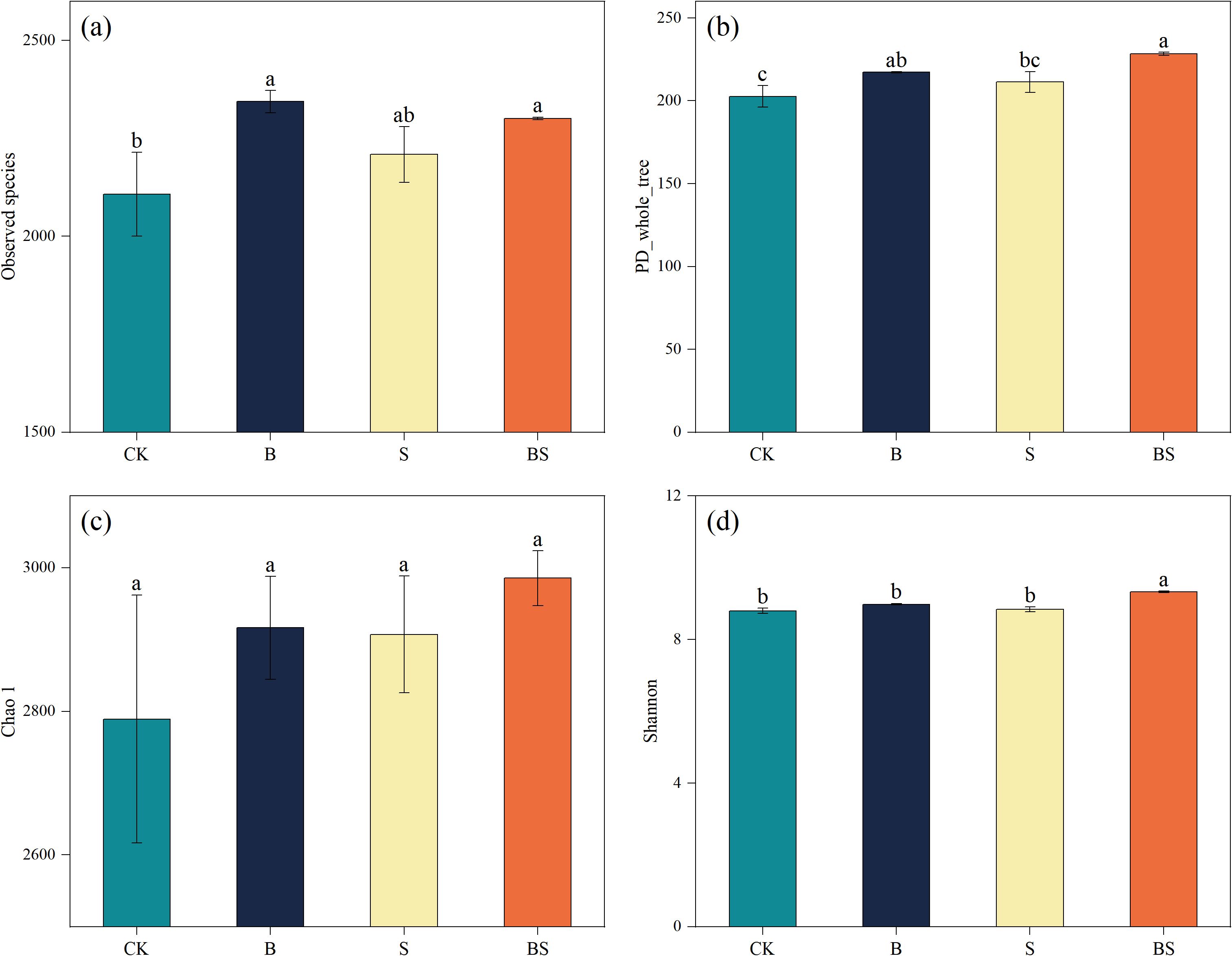
ABSTRACT Biochar amendment and halophyte intercropping are viable strategies for alleviating soil degradation in greenhouse systems, specifically the secondary salinization and autotoxicity induced by continuous cropping. Nevertheless, the potential synergistic effects of combining these practices remain poorly understood. This study investigated their synergistic effects on soil properties, microbial communities, and cucumber performance. A pot experiment was conducted with the following treatments: soil without amendment (CK), biochar (B), Paspalum vaginatum intercropping (S), and biochar combined with Paspalum vaginatum intercropping. The results showed that BS treatment led to the highest increases in soil organic carbon content, pH, total nitrogen content, available phosphorus content, and available potassium content compared to CK (p<0.05). Concurrently, BS significantly reduced available nitrogen, electrical conductivity, Na+, SO₄2-, and Cl-levels, while total phosphorus remained unaffected. Cucumber yield increased significantly by 11.50% and 27.12% under B and BS treatments, respectively, whereas S showed no significant effect. BS also achieved the highest fruit quality enhancement, followed by B and S. Notably, B and S treatments displayed the highest and lowest K+, Ca2+and Mg2+ accumulation, respectively, whereas the BS treatment led to K+ and Ca2+ concentrations that were significantly lower than those in the B treatment. Soil bacterial diversity was significantly enhanced under BS. The PLS-PM identified the alleviation of soil salinity and acidity, along with improved nutrient availability, as the primary drivers for enhanced crop performance, with soil bacterial diversity playing a secondary yet significant role. These findings suggest that biochar combined with intercropping (BS) effectively mitigates continuous cropping obstacles in greenhouse systems by synergistically improving soil health and microbial ecology.
Keywords: biochar, Phytoremediation, Soil salinity, nutrient imbalance, bacterial community, cucumber, continuous cropping
Received: 23 Sep 2025; Accepted: 27 Oct 2025.
Copyright: © 2025 Shen, Liu, Xu, Luo, Wang, Li and Liu. This is an open-access article distributed under the terms of the Creative Commons Attribution License (CC BY). The use, distribution or reproduction in other forums is permitted, provided the original author(s) or licensor are credited and that the original publication in this journal is cited, in accordance with accepted academic practice. No use, distribution or reproduction is permitted which does not comply with these terms.
* Correspondence:
Guanlin Li, liliguanlin@ujs.edu.cn
Yujing Liu, liuyujing@njau.edu.cn
Disclaimer: All claims expressed in this article are solely those of the authors and do not necessarily represent those of their affiliated organizations, or those of the publisher, the editors and the reviewers. Any product that may be evaluated in this article or claim that may be made by its manufacturer is not guaranteed or endorsed by the publisher.
