ORIGINAL RESEARCH article
Front. Plant Sci.
Sec. Plant Abiotic Stress
Genome-wide characterisation of the Three Amino Acid Loop Extension (ClTALE) gene family of watermelon in response to abiotic stresses
Provisionally accepted- 1College of Horticulture, Xinjiang Agricultural University, Ürümqi, China
- 2Postdoctoral Station of Horticulture, Xinjiang Agricultural University, Urumqi, Urumqi, China
Select one of your emails
You have multiple emails registered with Frontiers:
Notify me on publication
Please enter your email address:
If you already have an account, please login
You don't have a Frontiers account ? You can register here
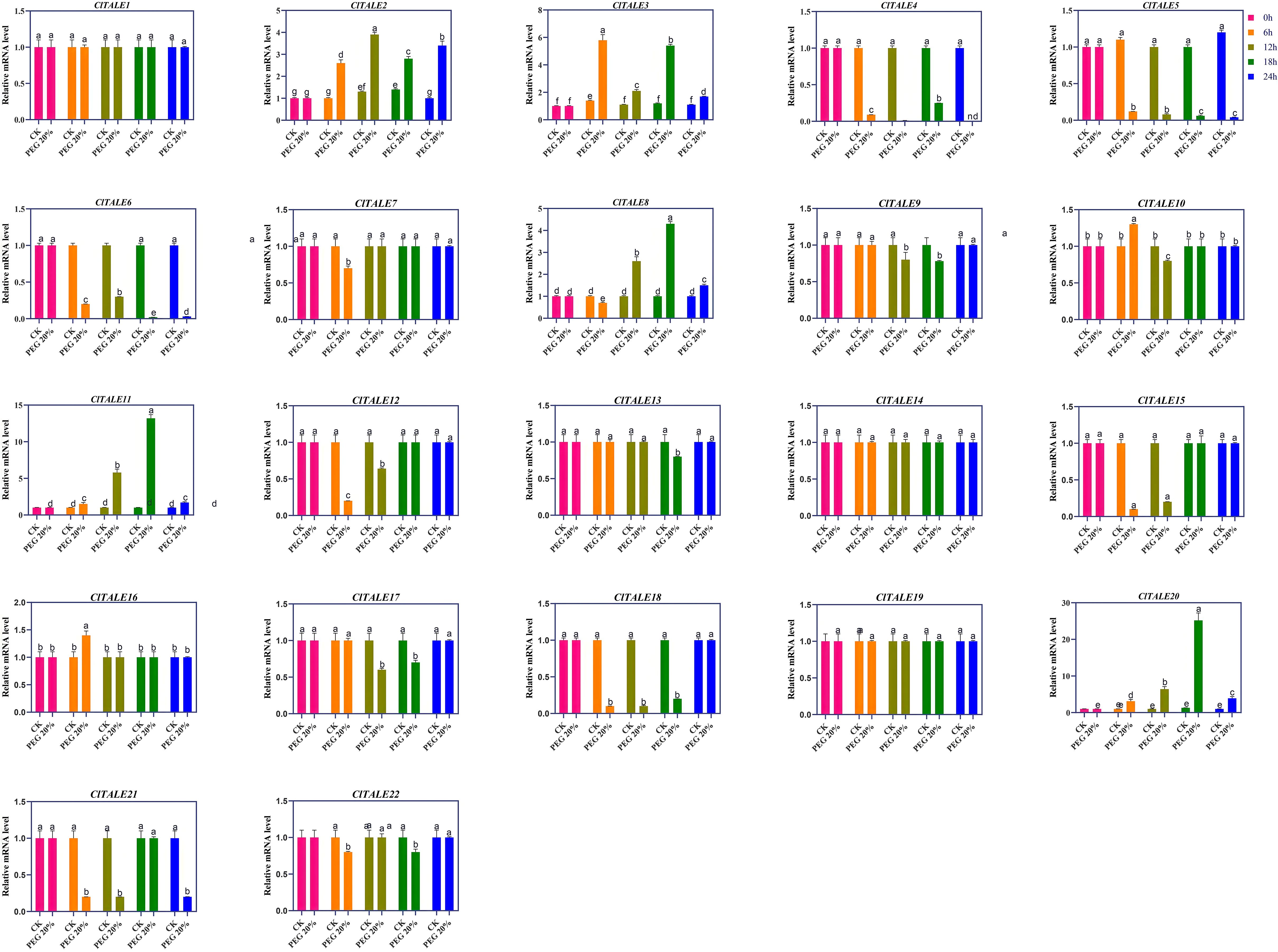
The Three Amino Acid Loop Extension (TALE) gene plays vital roles in regulating plant growth, development, and stress responses, yet it has not been systematically characterized in watermelon (Citrullus lanatus L.). In this study, we identified the ClTALE gene family using the watermelon genome database and analyzed its genomic, structural, and functional features via a series of bioinformatics tools. Results demonstrated that 22 ClTALE members were extracted, and phylogenetic analysis clustered them into seven distinct subclades, classified as KNOX-I/STM, KNOX-II, and BELL-I through BELL-V. Their promoter regions contain predicted cis-acting elements associated with hormone regulation and stress responses, and STRING database analysis suggested that ClTALE proteins may function in conjunction with other key transcription factors involved in plant growth and development. Additionally, qRT-PCR analysis revealed elevated expression of ClTALE2, ClTALE3, ClTALE8, ClTALE11, and ClTALE20 in watermelon seedlings under drought stress, with ClTALE2 and ClTALE3 also showing increased transcriptional levels in response to low potassium (LK) stress and the combined treatment of melatonin and cold (MT+CT). Transient expression assay indicated that ClTALE3 is localized to the nucleus and overexpression of it increased yeast tolerance to PEG stress., The induced expression of ClTALE3 implies potential as a biological marker for developing drought-and cold-resilient watermelon varieties. These findings provide a foundation for elucidating the evolutionary characteristics and functional roles of the ClTALE gene family, and for addressing drought and cold stress challenges in watermelon cultivation.
Keywords: watermelon, ClTALE gene family, Low Potassium, cold, drought
Received: 23 Sep 2025; Accepted: 30 Oct 2025.
Copyright: © 2025 Qiu, Dong, Chen, Zhao, Hu and Wang. This is an open-access article distributed under the terms of the Creative Commons Attribution License (CC BY). The use, distribution or reproduction in other forums is permitted, provided the original author(s) or licensor are credited and that the original publication in this journal is cited, in accordance with accepted academic practice. No use, distribution or reproduction is permitted which does not comply with these terms.
* Correspondence: 
Liangliang  Hu, hull0501@163.com
Huilin  Wang, wanghuilin@126.com
Disclaimer: All claims expressed in this article are solely those of the authors and do not necessarily represent those of their affiliated organizations, or those of the publisher, the editors and the reviewers. Any product that may be evaluated in this article or claim that may be made by its manufacturer is not guaranteed or endorsed by the publisher.
