ORIGINAL RESEARCH article
Front. Plant Sci.
Sec. Plant Physiology
Exogenous MeJA modulates postharvest tomato aroma by suppressing JAs-ethylene signaling crosstalk
Provisionally accepted- 1Nanyang Normal University, Nanyang, China
- 2Nanjing Agricultural University College of Horticulture, Nanjing, China
- 3Shandong Agricultural University College of Resources and Environment, Tai'an, China
- 4Xinjiang Academy of Agricultural Sciences, Urumqi, China
- 5China Agricultural University, Beijing, China
- 6Hezhou University, Hezhou, China
- 7Nanjing Agricultural University, Nanjing, China
Select one of your emails
You have multiple emails registered with Frontiers:
Notify me on publication
Please enter your email address:
If you already have an account, please login
You don't have a Frontiers account ? You can register here
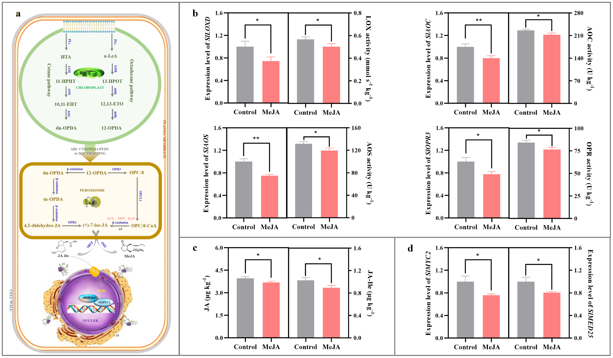
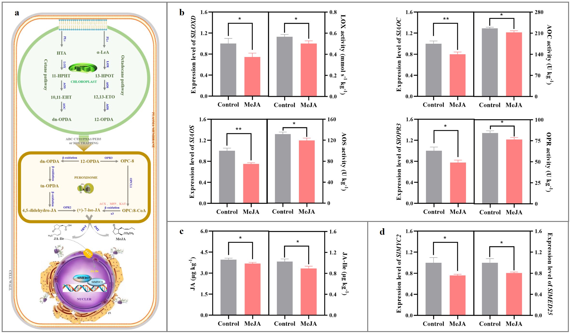
Until recently, the mechanism on methyl jasmonate (MeJA)-mediated suppression of ethylene metabolism and thus quality formation in the ripening tomato has not been fully clarified. In this study, exogenous application of MeJA at the breaker stage suppressed endogenous jasmonates (JAs), especially jasmonoyl-isoleucine (JA-Ile) by 13%, and ethylene production by 33% in the red 'FL 47' tomato. Meanwhile, the activities of lipoxygenase (LOX), allene oxide cyclase (AOC), allene oxide synthase (AOS), 12-oxo-phytodienoic reductase (OPR), 1-aminocyclopropane-1-carboxylate oxidase (ACO), and 1-aminocyclopropane-1-carboxylate synthase (ACS) in their metabolic pathways in the MeJA-treated tomato were reduced to over 87% of control fruit; and the mRNAs abundances of SlLOXD, SlAOC, SlAOS, SlOPR3, SlACO1, SlACS2, SlACS4, SlMYC2, MEDIATOR 25 (SlMED25), ETHYLENE RESPONSE (SlETR3), SlETR4, SlETR7, ETHYLENE INSENSITIVE 2 (SlEIN2), ETHYLENE INSENSITIVE3-LIKE 1 (SlEIL1), EIN3-BINDING F-BOX PROTEIN 1 (SlEBF1), SlEBF2, and ETHYLENE RESPONSE FACTOR 1 (SlERF1) suffered 17-30% reduction after MeJA fumigation. Additionally, the production of sugars, organic acids and 21 volatiles was changed by exogenous MeJA treatment, causing the alteration of flavor profile. Moreover, the MeJA-induced reduction of six key volatiles (geranyl acetone, 1-penten-3-one, 6-methyl-5-hepten-2-one, 2-methyl butanal, 3-methyl butanal, and 3-methyl butanol), whose generation was regulated by ethylene, was concomitant with the suppressed gene expression levels and substrate contents in their biosynthesis pathways. The mRNAs abundances of SlLOXC, PHYTOENE SYNTHASE 1 (SlPSY1), CAROTENOID CLEAVAGE DIOXYGENASE 1A (SlCCD1A), SlCCD1B, and BRANCHED-CHAIN AMINO ACID AMINOTRANSFERASE 1 (SlBCAT1) suffered 19-29% reduction by MeJA treatment; and the contents of phytoene, phytofluene, trans-lycopene, γ-carotenoid, β-carotenoid, linoleic and linolenic acid in the MeJA-fumigated tomato were over 74% of those in control fruit. By considering the positive relationship between endogenous JA-Ile and ethylene levels in the ripening fruit, our results implied that the MeJA-mediated aroma profile change in the red 'FL 47' tomato fruit might be due to the mitigated endogenous JAs (especially JA-Ile) and ethylene biosynthesis & signaling transduction processes.
Keywords: tomato fruit, JA-Ile, ethylene, Aroma profile, molecular mechanism
Received: 25 Sep 2025; Accepted: 10 Nov 2025.
Copyright: © 2025 Li, Tan, Yubang, Luo, Xu, Wang, Geng, Yang, Xie, Niu, Ren and Wang. This is an open-access article distributed under the terms of the Creative Commons Attribution License (CC BY). The use, distribution or reproduction in other forums is permitted, provided the original author(s) or licensor are credited and that the original publication in this journal is cited, in accordance with accepted academic practice. No use, distribution or reproduction is permitted which does not comply with these terms.
* Correspondence:
Qiuhong Niu, qiuhongniu723@163.com
Xiaopu Ren, alarxp@126.com
Libin Wang, wanglibin@njau.edu.cn
Disclaimer: All claims expressed in this article are solely those of the authors and do not necessarily represent those of their affiliated organizations, or those of the publisher, the editors and the reviewers. Any product that may be evaluated in this article or claim that may be made by its manufacturer is not guaranteed or endorsed by the publisher.
