ORIGINAL RESEARCH article
Front. Plant Sci.
Sec. Crop and Product Physiology
This article is part of the Research TopicIntelligent Evolution: Practice and Breakthrough of Non-destructive Testing Technology for Fruits and VegetablesView all articles
Differential concentrations of NaCl and K2Cr2O7 stress 1 conditions: Biophoton characteristics and quality prediction 2 feasibility analysis of fresh Nepeta cataria L. leaves
Provisionally accepted- 1Shandong First Medical University, Jinan, China
- 2Shandong University of Traditional Chinese Medicine, Jinan, China
- 3Shandong Women's University, Jinan, China
Select one of your emails
You have multiple emails registered with Frontiers:
Notify me on publication
Please enter your email address:
If you already have an account, please login
You don't have a Frontiers account ? You can register here
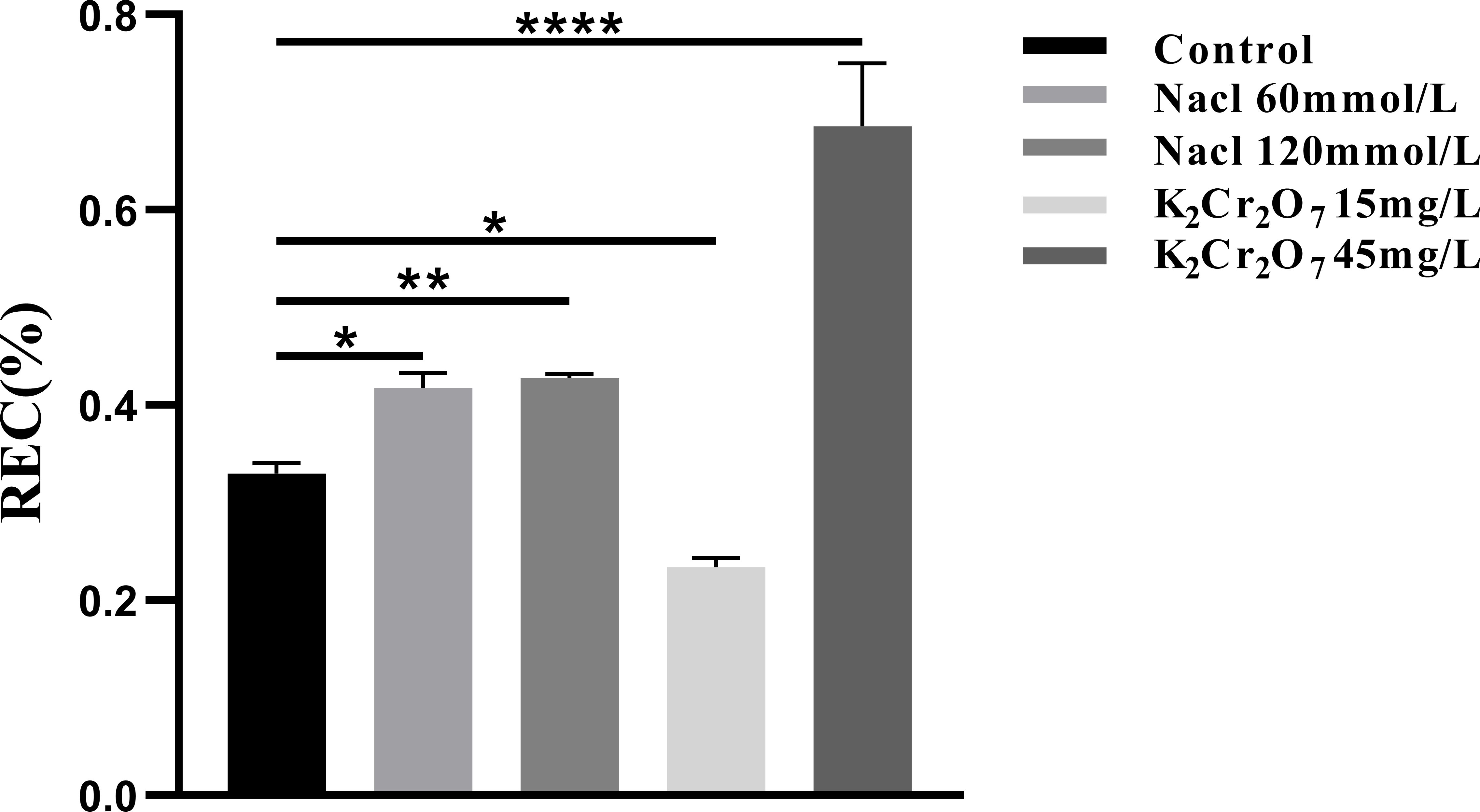
Introduction: Nepeta cataria L. (NcL), a perennial medicinal plant, is used to 14 dispel wind-heat, remove blood stasis, and reduce swelling. However, soil salinization 15 and heavy metal pollution have severely impacted its growth and quality. Current 16 quality assessments, based solely on pulegone (PG) content in the final product, 17 neglect cultivation process controls. 18 Methods: We applied biophoton detection to differentiate stress types in fresh NcL 19 leaves and explored the correlation between biophoton emission and plant quality. 20 Spontaneous photon emission (SPE) and delayed luminescence (DL) were measured 21 under NaCl and K2Cr2O7 stress. Key parameters, including counts per second (CPS) 22 and initial intensity (I0), were analyzed. PG content was determined via ultra-high 23 performance liquid chromatography, alongside physiological and oxidative stress 24 indexes. 25 Results: Stress conditions significantly inhibited NcL growth and quality, leading to 26 marked differences in biophoton emission, physiological and biochemical indicators, 27 oxidative stress indexes and PG content between stress and control groups. For 28 instance, in the 120 mmol/L NaCl group, the CPS decreased by 54.27%, while I0 29 dropped by 54.12%. PG content in high-salinity groups was 1.22 mg/g, 40.19% lower 30 than controls (2.04 mg/g). CPS and I0 strongly correlated with PG content (r = 0.89 31 and r = 0.85, respectively), as well as with physiological and oxidative indicators. 32 These relationships were clearly visualized. 33 Discussions: Our study demonstrates the potential of biophoton detection for 34 quality evaluation during NcL cultivation. We identified specific biophoton 35 parameters that reflect plant quality, offering a new approach for process-based 36 quality control.
Keywords: NCL, Biophoton, SPE, DL, CPS, I0
Received: 30 Sep 2025; Accepted: 27 Oct 2025.
Copyright: © 2025 Wang, Luan, Wang, Cao, Chen, Li, Deng, Du, Han and Yang. This is an open-access article distributed under the terms of the Creative Commons Attribution License (CC BY). The use, distribution or reproduction in other forums is permitted, provided the original author(s) or licensor are credited and that the original publication in this journal is cited, in accordance with accepted academic practice. No use, distribution or reproduction is permitted which does not comply with these terms.
* Correspondence:
Jinxiang Han, samshjx@sina.com
Meina Yang, yangmeina@sdfmu.edu.cn
Disclaimer: All claims expressed in this article are solely those of the authors and do not necessarily represent those of their affiliated organizations, or those of the publisher, the editors and the reviewers. Any product that may be evaluated in this article or claim that may be made by its manufacturer is not guaranteed or endorsed by the publisher.
