ORIGINAL RESEARCH article
Front. Plant Sci.
Sec. Plant Physiology
Lead enhances the phytotoxicity of Aegilops tauschii toward wheat seedlings
Provisionally accepted- Henan University of Science and Technology, Luoyang, China
Select one of your emails
You have multiple emails registered with Frontiers:
Notify me on publication
Please enter your email address:
If you already have an account, please login
You don't have a Frontiers account ? You can register here
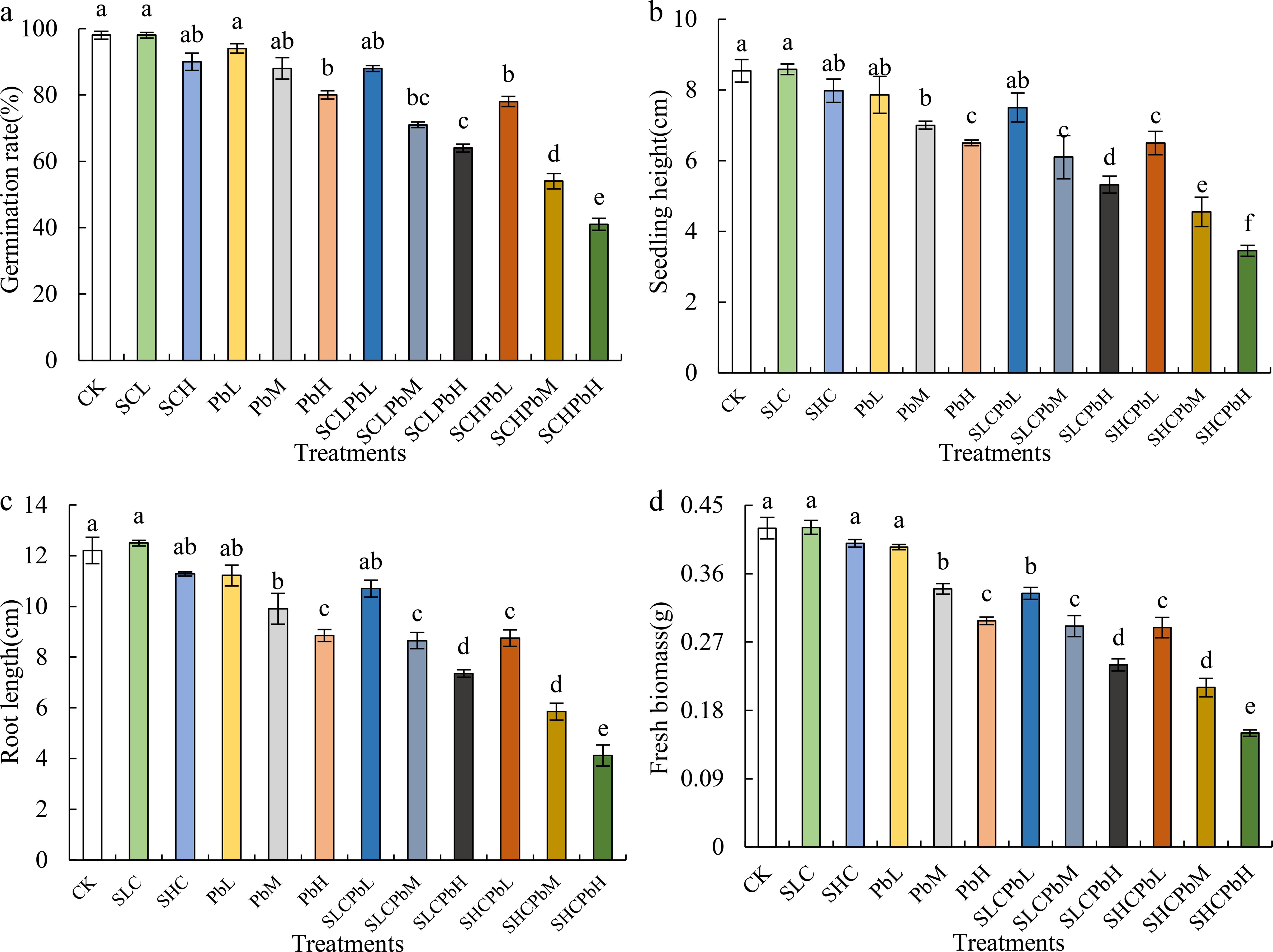
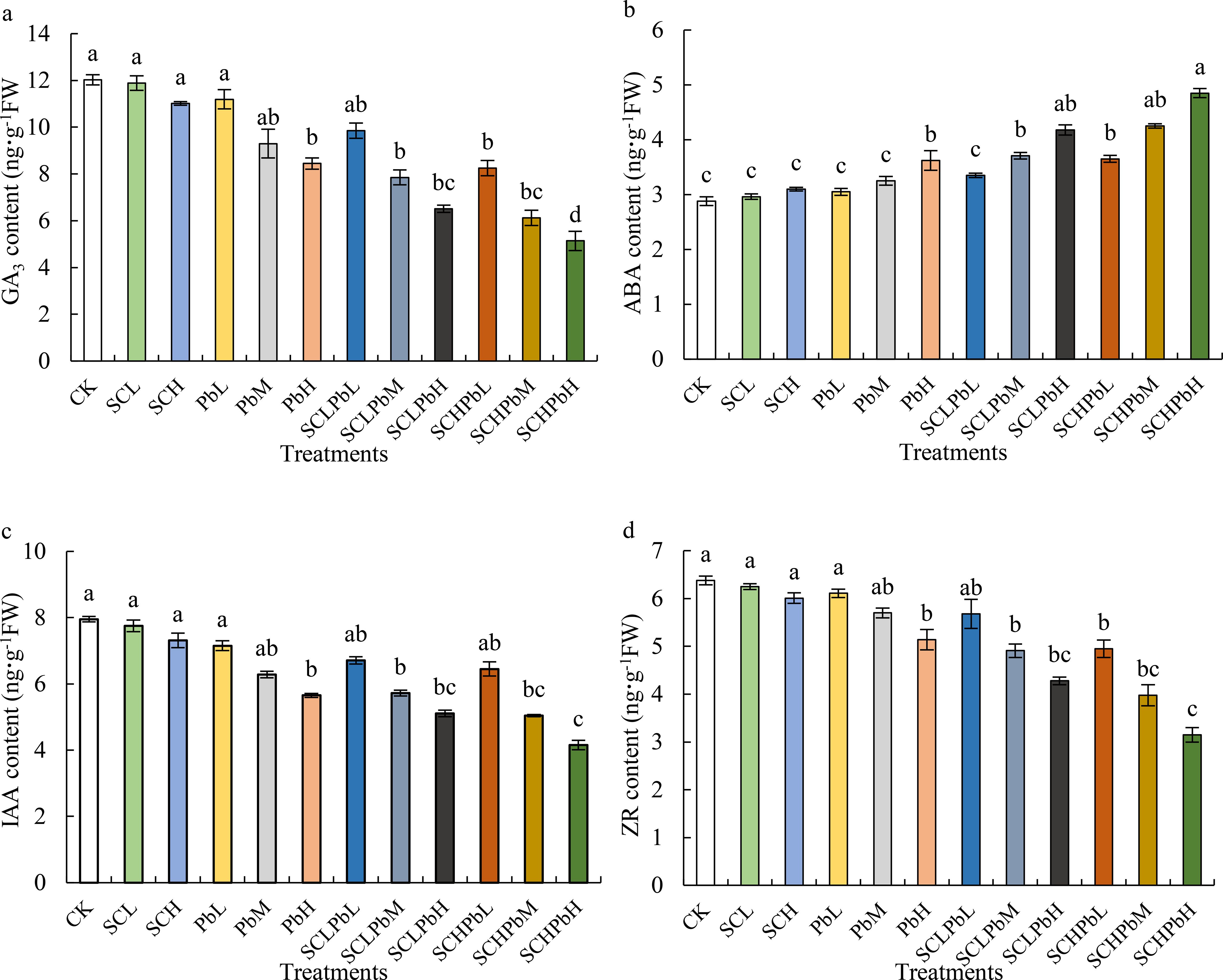
Heavy metal pollution in agricultural soil poses a significant threat to food security and the health of the ecosystem. This study investigated the allelopathic effects of Aegilops tauschii, a common weed found in wheat fields, on winter wheat (Triticum aestivum L. cv. 'Zhengmai 132') under lead (Pb) contamination. A completely randomized factorial design was used, employing a Petri dish filter paper bioassay with three concentrations of A. tauschii stem-and-leaf extract (0, 25 and 50 g/L) and three Pb levels (20, 80 and 160 mg/L), with five replicates per treatment combination. Low and high concentrations of A. tauschii extract, as well as low Pb levels, had little effect on wheat germination or seedling growth when applied alone. In contrast, medium and high Pb concentrations significantly inhibited these parameters in a dose-dependent manner. Combining the extract with Pb resulted in auantitative analysis using Colby's method confirmed a significant synergistic inhibition, causing pronounced suppression of germination and early growth (P < 0.05). Physiological and biochemical analyses revealed a strong, synergistic oxidative stress response when the extract of A. tauschii interacted with Pb. Although antioxidant enzymes (SOD, POD and CAT) were activated in an attempt to counteract the oxidative stress, this increase was insufficient to prevent cellular damage. Consequently, the oxidative burst intensified, resulting in membrane injury and a 38.95% increase in thiobarbituric acid-reactive substances (TBARS) under the SCHPbH treatment. The interaction also disrupted hormonal homeostasis, decreasing the levels of the growth-promoting hormones gibberellin (GA₃), indole-acetic acid (IAA) and zeatin riboside (ZR), while increasing abscisic acid (ABA). Under the strongest combined treatment (SCHPbH), GA₃ decreased by 37.7%, and ABA increased by 40.6%, leading to a 74.6% reduction in the GA₃/ABA ratio (P < 0.05). These alterations to growth-promoting and -inhibiting signals significantly lowered the GA₃/ABA and IAA/ABA ratios. In summary, Pb contamination greatly increases the allelopathic effect of A. tauschii on wheat. The strongest combined treatment inhibited germination and growth by around 48%, indicating severe physiological disruption. These results emphasise the significant threat that this interaction poses to the stability of agroecosystems.
Keywords: Aegilops tauschii, Allelopathic, Antioxidant enzyme system, Endogenous hormones, Triticum aestivum
Received: 29 Sep 2025; Accepted: 24 Nov 2025.
Copyright: © 2025 Wang, Shen, Huang and Tian. This is an open-access article distributed under the terms of the Creative Commons Attribution License (CC BY). The use, distribution or reproduction in other forums is permitted, provided the original author(s) or licensor are credited and that the original publication in this journal is cited, in accordance with accepted academic practice. No use, distribution or reproduction is permitted which does not comply with these terms.
* Correspondence: Ning Wang
Disclaimer: All claims expressed in this article are solely those of the authors and do not necessarily represent those of their affiliated organizations, or those of the publisher, the editors and the reviewers. Any product that may be evaluated in this article or claim that may be made by its manufacturer is not guaranteed or endorsed by the publisher.
