ORIGINAL RESEARCH article
Front. Plant Sci.
Sec. Plant Pathogen Interactions
This article is part of the Research TopicProtecting Crops From Pests and Diseases with New Advancements in Bioprotectants and BiostimulantsView all 9 articles
Biochemical and Genetic Characterization of Botrytis cinerea Mutants Resistant to the Plant-derived Pesticide Trans-dehydromatricaria Ester
Provisionally accepted- 1Hybrid Rapeseed Research Center of Shaanxi Province, Xianyang, China
- 2Northwest A&F University, Xianyang, China
- 3College of Agriculture, Ningxia University, Yinchuan, China
- 4Chinese Academy of Tropical Agricultural Sciences Environment and Plant Protection Institute, Haikou, China
Select one of your emails
You have multiple emails registered with Frontiers:
Notify me on publication
Please enter your email address:
If you already have an account, please login
You don't have a Frontiers account ? You can register here
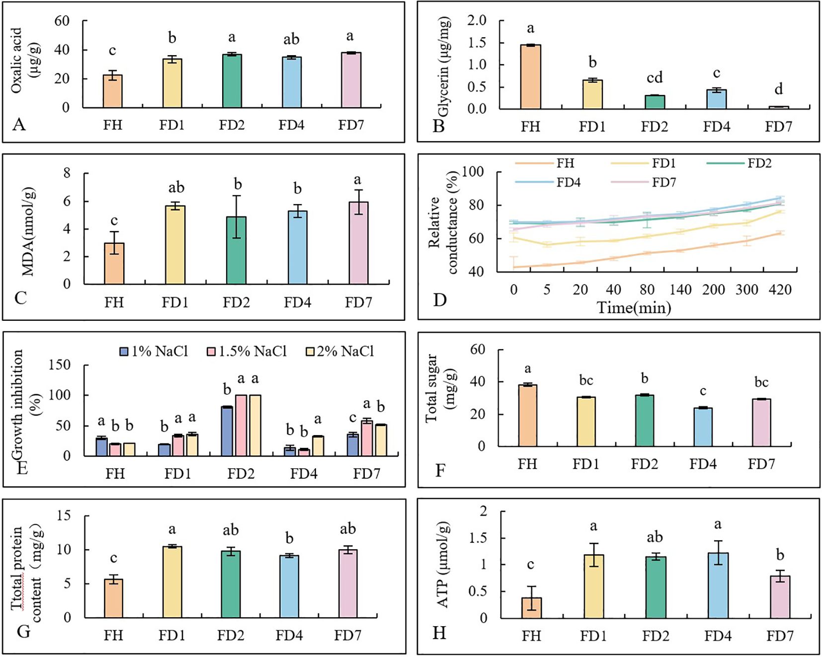
Botrytis cinerea is one of the top ten plant pathogens worldwide, with a broad host range. In modern agricultural production, it is typically controlled using chemical agents. However, the overuse of chemical fungicides has led to environmental pollution and the development of drug-resistant strains, necessitating the search for new fungicides. Trans-dehydromatricaria ester (TDDE) not only enhances infectivity but also reduces lipid oxidation and improves osmotic regulation. Through the selection process using TDDE, seven highly resistant strains of B. cinerea with stable genetic traits were obtained. These resistant strains exhibited significant physiological alterations, including increased cell membrane permeability, heightened osmotic sensitivity, and perturbations in energy metabolism and lipid peroxidation. Additionally, TDDE had a negative cross-resistance with procymidone, but not with pyraclostrobin, boscalid and fluazinam. Resequencing and transcriptomic analysis identified six potential target genes, of which Bcin15g03240 and Bcin09g00290 are associated with membrane transport. Molecular docking revealed that Bcin15g03240 interacts with TDDE via hydrogen bonds. These findings offer preliminary insight into the molecular targets of TDDE's antimicrobial activity. Overall, the results provided a crucial theoretical foundation for understanding TDDE's mode of action against B. cinerea and for developing green pesticides based on these targets.
Keywords: Botrytis cinerea, Trans-dehydromatricaria ester (TDDE), Drug Resistance, antibacterial mechanism, molecular targets
Received: 29 Sep 2025; Accepted: 28 Oct 2025.
Copyright: © 2025 Tang, Nan, Dong, Wang, Wenhui, Ta, Han, Zhang and Wang. This is an open-access article distributed under the terms of the Creative Commons Attribution License (CC BY). The use, distribution or reproduction in other forums is permitted, provided the original author(s) or licensor are credited and that the original publication in this journal is cited, in accordance with accepted academic practice. No use, distribution or reproduction is permitted which does not comply with these terms.
* Correspondence: Chao Zhang, ahzc2009@163.com
Disclaimer: All claims expressed in this article are solely those of the authors and do not necessarily represent those of their affiliated organizations, or those of the publisher, the editors and the reviewers. Any product that may be evaluated in this article or claim that may be made by its manufacturer is not guaranteed or endorsed by the publisher.
