Your new experience awaits. Try the new design now and help us make it even better

CORRECTION article

Front. Plant Sci., 29 October 2025

Sec. Crop and Product Physiology

Volume 16 - 2025 | https://doi.org/10.3389/fpls.2025.1717089

Correction: Optimal row configuration in jujube-cotton intercropping systems increases cotton yield by enhancing growth characteristics and photosynthetically active radiation in arid region

Jinbin Wang,Jinbin Wang1,2Peijuan Wang,Peijuan Wang1,2Xiaofei LiXiaofei Li3Zhengjun Cui,Zhengjun Cui1,2Ling Li,Ling Li1,2Qiang Hu,Qiang Hu1,2Hang Qiao,Hang Qiao1,2Wei ZhangWei Zhang4Sumei Wan,*Sumei Wan1,2*Guodong Chen,*Guodong Chen1,2*
  • 1College of Agriculture, Tarim University, Alar, China
  • 2Key Laboratory of Genetic Improvement and Efficient Production for Specialty Crops in Arid Southern Xinjiang of Xinjiang Corps, Tarim University, Alar, China
  • 3State Key Laboratory of Cotton Bio-breeding and Integrated Utilization, Institute of Cotton Research, Chinese Academy of Agricultural Sciences, Anyang, China
  • 4College of Agriculture, Shihezi University, Shihezi, China

A Correction on
Optimal row configuration in jujube-cotton intercropping systems increases cotton yield by enhancing growth characteristics and photosynthetically active radiation in arid region

By Wang J, Wang P, Li X, Cui Z, Li L, Hu Q, Qiao H, Zhang W, Wan S and Chen G (2025) Front. Plant Sci. 16:1663361. doi: 10.3389/fpls.2025.1663361

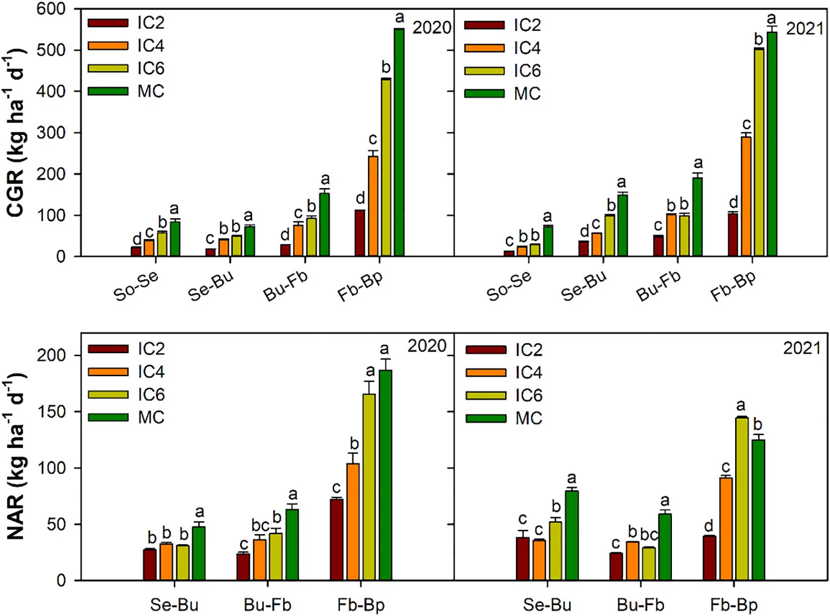
There was a mistake in Figures 8 and 9, page 11 as published. Figures 8 has lost its axis title, and Figures 9 has lost its legend. The corrected Figures 8 and 9 appears below.

Figure 8
Bar graphs showing CGR and NAR metrics for different treatments (IC2, IC4, IC6, MC) across various stages (So-Se, Se-Bu, Bu-Fb, Fb-Bp) for the years 2020 and 2021. The CGR graph indicates higher values in IC6 and MC, especially in the Fb-Bp stage. The NAR graph similarly shows increased values in Fb-Bp, with MC consistently higher. Comparisons among treatments are marked with letters a to d for statistical significance.

Figure 8. Crop growth rate (CGR) and net assimilation rate (NAR) at different period in 2020 and 2021. So-Se, Sowing to Seeding; Se-Bu, Seeding to Budding; Bu-Fb, Budding to Flowering -boll, Fb-Bp, Flowering and boll to Boll opening. IC2, IC4, and IC6 represent jujube intercropped with two, four, and six rows of cotton; MC, monoculture cotton. Different lowercase letters indicate significant differences among treatments at p < 0.05.

Figure 9
Four bar graphs showing agricultural yields and LER from 2020 to 2021. Top left: Cotton yield. Top right: Jujube yield. Bottom left: Total yield. Bottom right: LER (Land Equivalent Ratio). Bars are categorized by IC2, IC4, IC6, and include MC or MJ in specific graphs, with distinct colors. Each graph shows data variations between years.

Figure 9. Yield and land equivalent ratio (LER) under different treatments in 2020 and 2021. IC2, IC4, and IC6 represent jujube intercropped with two, four, and six rows of cotton; MC, monoculture cotton. MJ, monoculture jujube. Different lowercase letters indicate significant differences among treatments at p < 0.05.

The original version of this article has been updated.

Publisher’s note

All claims expressed in this article are solely those of the authors and do not necessarily represent those of their affiliated organizations, or those of the publisher, the editors and the reviewers. Any product that may be evaluated in this article, or claim that may be made by its manufacturer, is not guaranteed or endorsed by the publisher.

Keywords: jujube-cotton intercropping, four rows, photosynthetically active radiation, growth characteristics, total yield

Citation: Wang J, Wang P, Li X, Cui Z, Li L, Hu Q, Qiao H, Zhang W, Wan S and Chen G (2025) Correction: Optimal row configuration in jujube-cotton intercropping systems increases cotton yield by enhancing growth characteristics and photosynthetically active radiation in arid region. Front. Plant Sci. 16:1717089. doi: 10.3389/fpls.2025.1717089

Received: 01 October 2025; Accepted: 16 October 2025;
Published: 29 October 2025.

Edited and reviewed by:

Bibi Rafeiza Khan, University of Scranton, United States

Copyright © 2025 Wang, Wang, Li, Cui, Li, Hu, Qiao, Zhang, Wan and Chen. This is an open-access article distributed under the terms of the Creative Commons Attribution License (CC BY). The use, distribution or reproduction in other forums is permitted, provided the original author(s) and the copyright owner(s) are credited and that the original publication in this journal is cited, in accordance with accepted academic practice. No use, distribution or reproduction is permitted which does not comply with these terms.

*Correspondence: Sumei Wan, d2Fuc3VtZWk1MTBAMTYzLmNvbQ==; Guodong Chen, Z3VvZG9uZ2NoZW5AdGFydS5lZHUuY24=

Disclaimer: All claims expressed in this article are solely those of the authors and do not necessarily represent those of their affiliated organizations, or those of the publisher, the editors and the reviewers. Any product that may be evaluated in this article or claim that may be made by its manufacturer is not guaranteed or endorsed by the publisher.