ORIGINAL RESEARCH article
Front. Plant Sci.
Sec. Plant Abiotic Stress
Effects of exogenous salicylic acid on the adaptive capacity of Leymus chinensis seedlings under extreme drought conditions
Provisionally accepted- Shanxi Agricultural University, Jinzhong, China
Select one of your emails
You have multiple emails registered with Frontiers:
Notify me on publication
Please enter your email address:
If you already have an account, please login
You don't have a Frontiers account ? You can register here
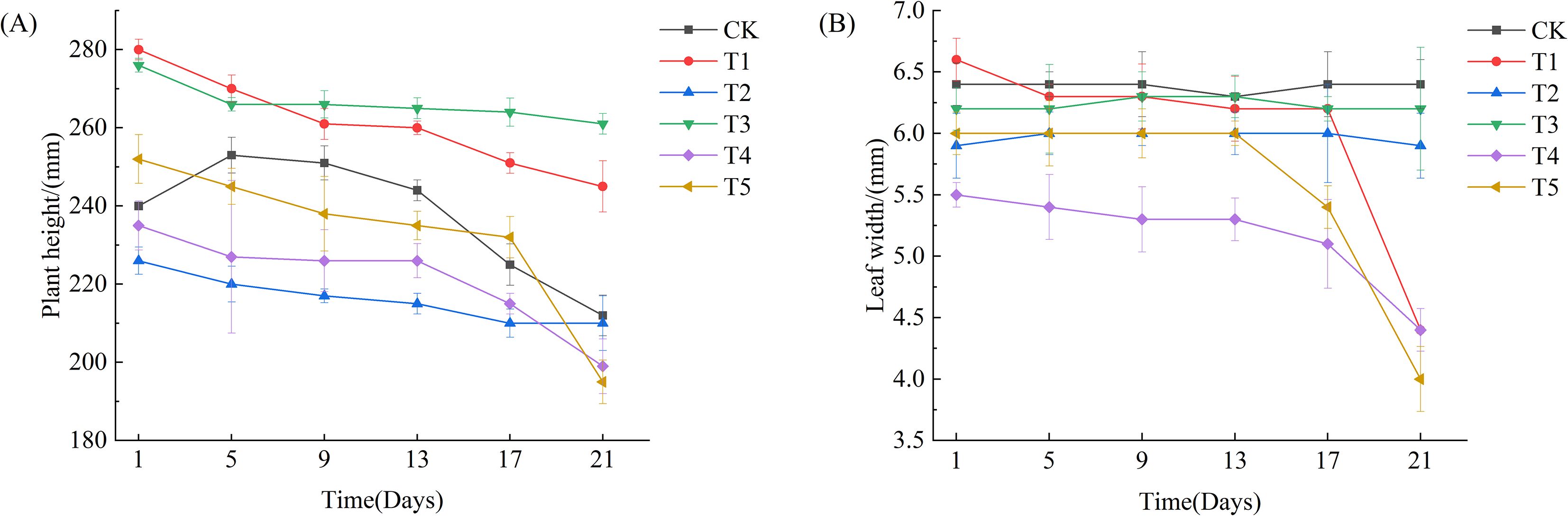
To investigate the effects of exogenous salicylic acid (SA) on the growth characteristics of Leymus chinensis seedlings under extreme drought stress, this study utilized L. chinensis seedlings as experimental materials and simulated drought conditions using a rainout shelter to exclude natural precipitation. SA solutions at six concentrations (0, 0.25, 0.50, 1.00, 2.00, and 4.00 mmol/L) were applied via foliar spraying. Key growth parameters, photosynthetic traits, chlorophyll fluorescence indices, osmotic adjustment substances, and antioxidant enzyme activities were systematically measured and analyzed. The results showed that exogenous SA significantly alleviated the suppression of seedling height growth caused by extreme drought stress. Under drought conditions, plants treated with 0.50 mmol/L SA exhibited peak levels of chlorophyll (Chl) and proline (Pro) content, both of which were significantly higher than those in the control group (P < 0.05). Additionally, this treatment increased leaf relative water content, soluble sugar (SS) accumulation, superoxide dismutase (SOD) activity, and catalase (CAT) activity compared to the control. Notably, stomatal conductance (gs) was minimized in the 0.50 mmol/L treatment under drought stress, indicating reduced transpirational water loss and improved water-use efficiency. Overall, exogenous SA enhanced the photosynthetic performance, antioxidant defense capacity, and osmotic regulation ability of L. chinensis seedlings. These findings demonstrate that application of 0.50 mmol/L SA effectively mitigates the detrimental effects of extreme drought stress, improves drought tolerance in L. chinensis seedlings, and holds promise for enhancing the resilience and sustainability of grassland ecosystems under increasingly severe drought conditions.
Keywords: climate change1, extreme drought2, salicylic acid3, Leymus chinensis4, physiologyand biochemistry5
Received: 08 Oct 2025; Accepted: 26 Nov 2025.
Copyright: © 2025 Li, Liu, Li, Yang and Hou. This is an open-access article distributed under the terms of the Creative Commons Attribution License (CC BY). The use, distribution or reproduction in other forums is permitted, provided the original author(s) or licensor are credited and that the original publication in this journal is cited, in accordance with accepted academic practice. No use, distribution or reproduction is permitted which does not comply with these terms.
* Correspondence: Xiangyang Hou
Disclaimer: All claims expressed in this article are solely those of the authors and do not necessarily represent those of their affiliated organizations, or those of the publisher, the editors and the reviewers. Any product that may be evaluated in this article or claim that may be made by its manufacturer is not guaranteed or endorsed by the publisher.
