ORIGINAL RESEARCH article
Front. Plant Sci.
Sec. Plant Physiology
Effects of salt stress on growth and physiological characteristics of Chamerion angustifolium seedlings
Provisionally accepted- Gansu Agricultural University, Lanzhou, China
Select one of your emails
You have multiple emails registered with Frontiers:
Notify me on publication
Please enter your email address:
If you already have an account, please login
You don't have a Frontiers account ? You can register here
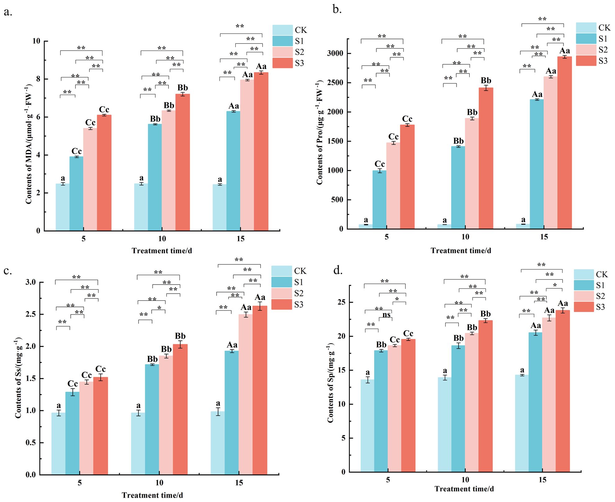
In this study, Chamerion angustifolium (L.) Holub seedlings were grown in pots in soil culture, and three concentration gradients of NaCl (50 mmol∙L-1, 100 mmol∙L-1, 150 mmol∙L-1) were set to correspond to mild, moderate and heavy salt stress, respectively; the stress time of 5 d, 10 d and 15 d were set to correspond to short, medium and long time stress. With soil water content of 90%±5% and salt concentration of 0 mmol∙L-1 as control, we carried out salt stress treatments to determine the changes of morphological and physiological indices in C. angustifolium seedlings under different salt stress levels and different stress times, and to explore the tolerance of C. angustifolium seedlings to salt stress. The results showed as follows: (1) NaCl stress significantly inhibited the morphological growth of C. angustifolium seedlings (P < 0.01). For instance, at 150 mmol·L⁻¹ NaCl for 15 days, plant height and leaf area were reduced by approximately 89% and 79%, respectively, compared to the control. Concurrently, osmoregulatory substances such as proline increased markedly, reaching up to 34.7-fold of the control level under severe stress, while antioxidant enzyme activities (e.g., superoxide dismutase, peroxidase) also rose significantly, by up to 393% and 133%, respectively. In contrast, chlorophyll content and leaf relative water content decreased substantially, with total chlorophyll declining by over 50% under the highest salt concentration. With prolonged stress duration, the morphological indices of C. angustifolium exhibited a decreasing trend under mild, moderate and severe NaCl stress, a 79% decrease in leaf width under severe stress after 15 days. Meanwhile, the content of osmoregulatory substances and the activity of antioxidant enzymes increased continuously over time across all NaCl concentrations, while chlorophyll content and relative water content consistently declined. (2) Principal component analysis identified malondialdehyde, chlorophyll a, chlorophyll b, and proline as key indicators for screening and evaluating salt tolerance in C. angustifolium seedlings. In conclusion, C. angustifolium can be classified as a species with moderate salt tolerance, capable of surviving short-term exposure to 100 mmol·L⁻¹ NaCl but at the cost of substantially reduced growth.
Keywords: Chamerion angustifolium, salt stress, Seedling growth, Physiological characters, Stress time
Received: 18 Oct 2025; Accepted: 25 Nov 2025.
Copyright: © 2025 Zhang and Liu. This is an open-access article distributed under the terms of the Creative Commons Attribution License (CC BY). The use, distribution or reproduction in other forums is permitted, provided the original author(s) or licensor are credited and that the original publication in this journal is cited, in accordance with accepted academic practice. No use, distribution or reproduction is permitted which does not comply with these terms.
* Correspondence: Xiaojuan Liu
Disclaimer: All claims expressed in this article are solely those of the authors and do not necessarily represent those of their affiliated organizations, or those of the publisher, the editors and the reviewers. Any product that may be evaluated in this article or claim that may be made by its manufacturer is not guaranteed or endorsed by the publisher.
