ORIGINAL RESEARCH article
Front. Plant Sci.
Sec. Crop and Product Physiology
This article is part of the Research TopicRegulatory Effects of Irrigation and Fertilization on Aboveground and Underground Parts of CropsView all 8 articles
Effects of Water-Nitrogen Interaction on Photosynthetic-Stoichiometric Balance in Potato: A Leaf Physiological and Ecological Perspective
Provisionally accepted- 1Ningxia University, Yinchuan, China
- 2Hydraulic Research Institute of Ningxia Hui Autonomous Region, Yinchuan, China
Select one of your emails
You have multiple emails registered with Frontiers:
Notify me on publication
Please enter your email address:
If you already have an account, please login
You don't have a Frontiers account ? You can register here
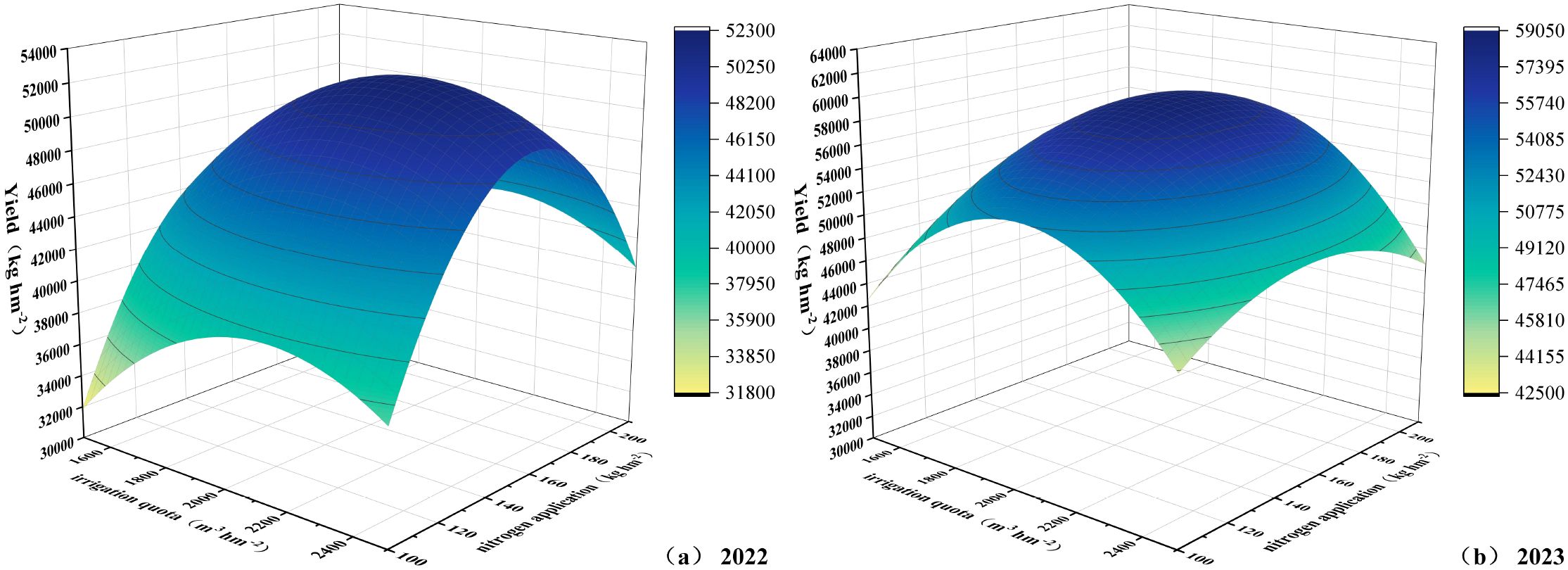
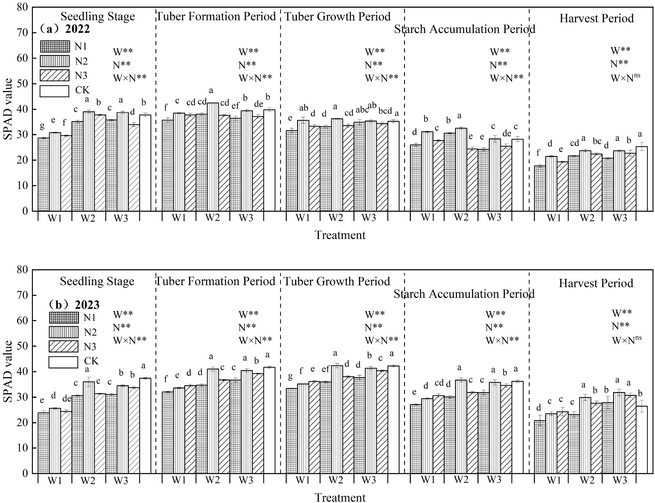
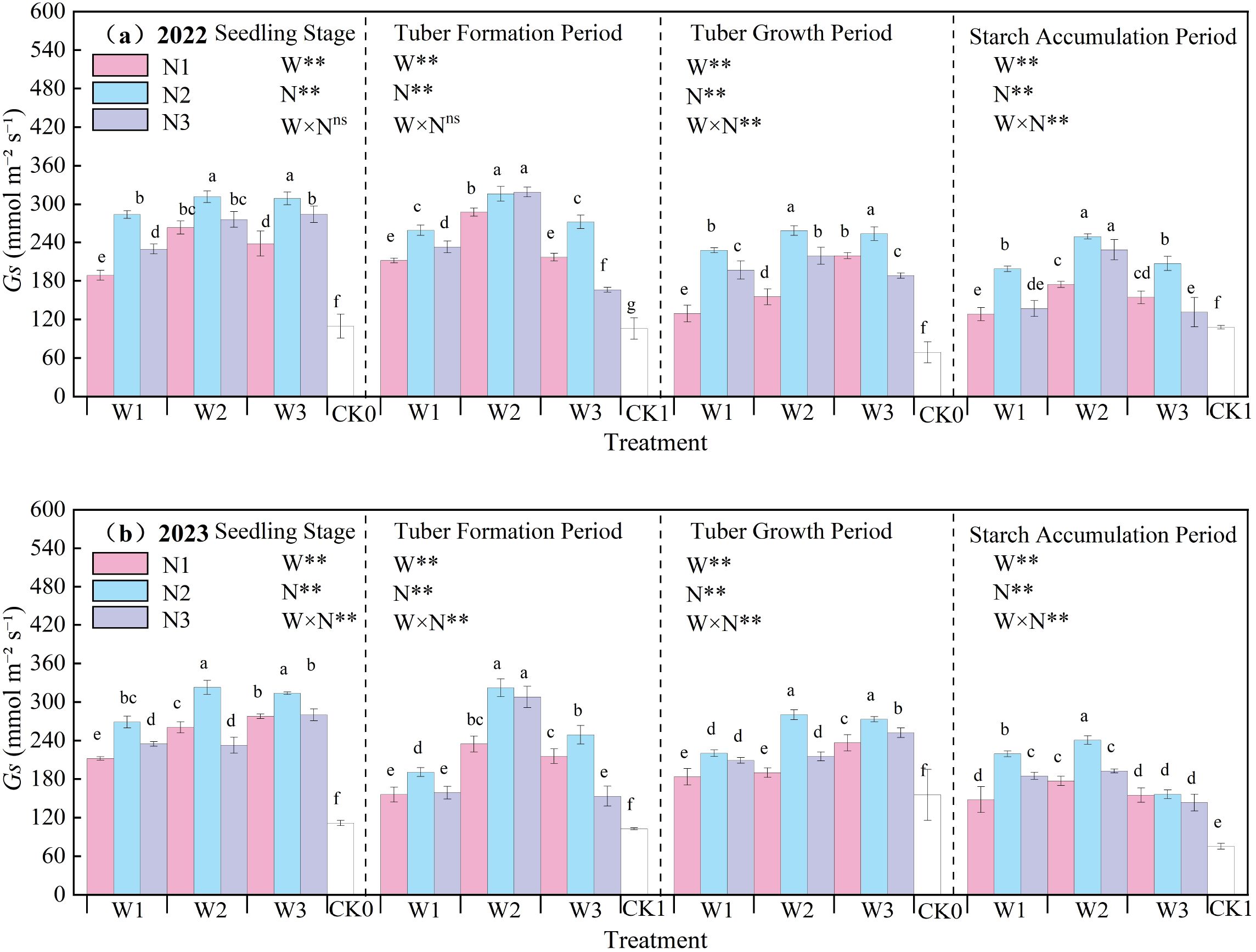
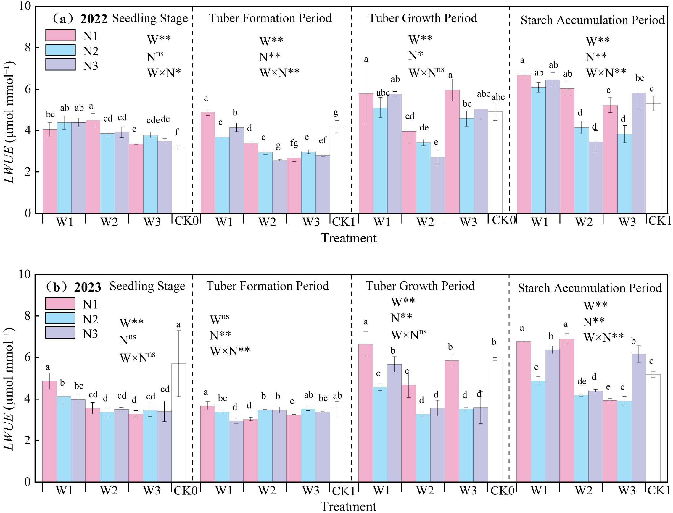
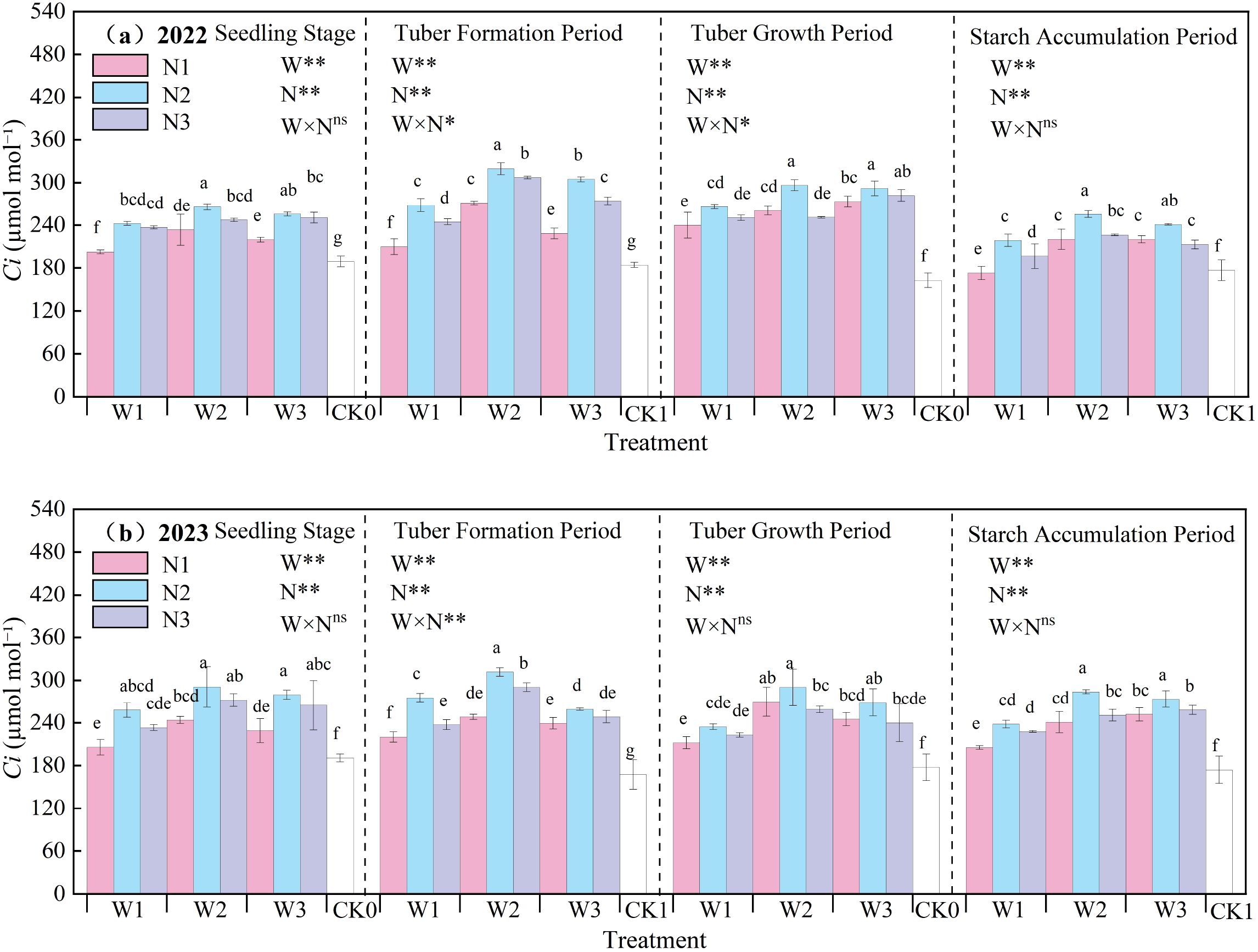
Potato, a globally important food crop, plays a key role in ensuring food security and poverty alleviation. Addressing the prominent contradiction between water scarcity and low nitrogen use efficiency in potato production in the arid regions of northwest China, this study conducted a water-nitrogen regulation experiment to explore the synergistic effects of water-nitrogen management on potato yield and physiological ecology. Irrigation treatments included the full irrigation quota (2250 m3 ha-1, W3), 20% water-saving (1800 m3 ha-1, W2), and 40% water-saving (1350 m3 ha-1, W1), while nitrogen application treatments consisted of the full nitrogen rate (195 kg ha-1, N3), 20% nitrogen reduction (156 kg ha-1, N2), 40% nitrogen reduction (117 kg ha-1, N1), with the local conventional practice as the control (CK). The results showed that the W2N2 treatment had the highest chlorophyll content, which was significantly higher than other treatments and 2.87% higher than CK on average. Under water-nitrogen interaction, potato leaf gas exchange parameters first increased and then decreased with growth stages, peaking at the tuber formation stage, and the W2N2 treatment was significantly superior to other combinations. For nutrient contents in various plant organs, the W2N2 treatment also achieved the highest total nitrogen and total phosphorus contents, which were significantly higher than other treatments. The distribution ratios of nutrient contents in different organs varied with water-nitrogen treatments across years. Based on quadratic regression analysis and the TOPSIS model, the optimal water-nitrogen coupling pattern for potato cultivation in the arid zone of central Ningxia was determined as W2N2, providing theoretical and technical references for efficient potato cultivation with water-saving and nitrogen-reducing practices in arid regions.
Keywords: Water-nitrogen interaction, Potato, Photosynthetic characteristics, Plant ecologicalstoichiometry, random forest model
Received: 21 Oct 2025; Accepted: 20 Nov 2025.
Copyright: © 2025 Du, Yin, Yang, Li and Tang. This is an open-access article distributed under the terms of the Creative Commons Attribution License (CC BY). The use, distribution or reproduction in other forums is permitted, provided the original author(s) or licensor are credited and that the original publication in this journal is cited, in accordance with accepted academic practice. No use, distribution or reproduction is permitted which does not comply with these terms.
* Correspondence:
Juan Yin, yj71115@126.com
Yingpan Yang, ypan312@163.com
Disclaimer: All claims expressed in this article are solely those of the authors and do not necessarily represent those of their affiliated organizations, or those of the publisher, the editors and the reviewers. Any product that may be evaluated in this article or claim that may be made by its manufacturer is not guaranteed or endorsed by the publisher.
