Abstract
Worldwide, French beans (Phaseolus vulgaris L.), tomato (Solanum lycopersicum L.), and kales (Brassica oleracea L. var. acephala) are considered economically important food crops. There is a rapid decline in their yield due to severe soil degradation. Thus, high commercial fertilizer inputs are crucial, though they remain expensive and inaccessible to resource poor farmers. We investigated the comparative performance of composted black soldier fly frass fertilizer (BSFFF), conventionally composted brewer's spent grain (BSG), commercial organic fertilizer (Evergrow), and mineral [nitrogen, phosphorus, and potassium (NPK)] fertilizer on growth, yield, N use efficiency, and nutritional quality (crude protein, crude fiber, crude fats, ash, and carbohydrate concentrations) of tomatoes, kales, and French beans under greenhouse and open-field conditions for two seasons. The fertilizers were applied at rates equivalent to 371 kg of N ha−1. For each crop, the plots were treated with sole rates of BSFFF, BSG, Evergrow, and NPK to supply 100% of the N required. Additional treatments included a combination of BSFFF and NPK, and BSG and NPK so that each fertilizer supplies 50% of the N required. The control treatment consisted of unfertilized soil. Results show that vegetable yields achieved using a combination of BSFFF and NPK were 4.5, 2.4, and 5.4-folds higher than the yield from the control treatment for tomatoes, kales, and French beans, respectively. The combined application of BSFFF and NPK produced 22–135%, 20–27%, and 38–50% higher yields than sole NPK for tomatoes, kales, and French beans, respectively, under both greenhouse and open-field conditions. The highest agronomic N use efficiency was achieved in sole BSFFF-treated plots compared to sole BSG and Evergrow. The N taken up by the vegetables was significantly higher when BSFFF and NPK were integrated. Vegetables grown using a combination of BSFFF and NPK had the highest crude protein and ash concentrations. Our findings demonstrate that the integration of BSFFF and NPK in vegetable cropping systems at the recommended rate of 1.24 t ha−1 BSFFF and 322 kg ha−1 NPK would improve soil health, boost yield, and nutritional quality of vegetable crops.
Introduction
Horticulture is an important sector because it contributes to food and nutrition security, household income, employment, and foreign exchange in Sub-Saharan Africa (SSA) (Frank et al., 2019; Amao, 2020; Ebert, 2020; Minten et al., 2020). Vegetables, such as tomatoes, kales, and French beans, are high-value crops grown in most African countries including Kenya (van der Lans et al., 2012; Cernansk, 2015; Nordey et al., 2017). Tomatoes (Solanum lycopersicum L.) are highly nutritious and rich in vitamins A, B, and C and also lycopene, an antioxidant linked to a reduction of diseases like cancer (Dorais et al., 2008; Capanoglu et al., 2010). Kales (Brassica oleracea L.) contain high levels of carotenoids, minerals, and prebiotic carbohydrates, making them a healthy food source (Migliozzi et al., 2015). French beans (Phaseolus vulgaris L.) also known as green beans or snap beans have a significant amount of minerals, vitamins, and proteins (Messina, 2014; Celmeli et al., 2018), which are vital for human nutrition. Therefore, vegetable consumption is crucial in offering protection against non-communicable diseases, thus improving human health.
Despite their nutritional and economic values, the vegetable production in SSA is highly affected by low soil fertility (Tully et al., 2015; Mantovani et al., 2017). Most soils in SSA are deficient in macronutrients and secondary nutrients [calcium (Ca), magnesium (Mg), and sulfur (S)] (Gachimbi et al., 2005; Nkonya et al., 2008; Cobo et al., 2010; Wortmann et al., 2019) due to soil erosion and leaching losses (Alfaro et al., 2008) and yet, very little (≤ 10 kg ha−1 per year) or no mineral fertilizer is used (FAO, 2017). Most soils in Kenya are low in organic matter (<3%) (Gachimbi et al., 2005) and exhibit high acidity (Keino et al., 2015).
Organic fertilizers improve soil microbial activities and provide macronutrients necessary for the growth of crops (Alfaro et al., 2008; Islam et al., 2017). In addition, organic fertilizers supply secondary nutrients (Ca, Mg, and S) and micronutrients (zinc, boron, and manganese), which play a key role in the uptake and utilization of macronutrients [mostly nitrogen (N), phosphorous (P), and potassium (K)] (Tittonell et al., 2008a; Wortmann et al., 2019). A combined application of organic and inorganic fertilizers has been recommended to improve and sustain soil fertility, crop yields, and agronomic nutrient use efficiency in SSA (Tittonell et al., 2008b; Vanlauwe et al., 2014, 2015). Despite their critical role in the restoration of natural fertility, most farmers in SSA do not apply organic fertilizers because most organic resources have other competing uses such as fuel and feeding livestock on the farm (Rufino et al., 2011; Ndambi et al., 2019).
Insect mass rearing systems produce huge quantities of frass (a combination uneaten substrate, feces, and exuviae) with a great potential for improving soil and crop productivity (Kagata and Ohgushi, 2012; Poveda et al., 2019; Beesigamukama et al., 2020b; Houben et al., 2020; Quilliam et al., 2020; Menino et al., 2021). Black soldier fly (BSF) (Hermetia illucens L.) frass fertilizer (BSFFF) is a byproduct from bioconversion of organic wastes using BSF larvae into nutrient-rich and hygienic organic fertilizer (Erickson et al., 2004; Lalander et al., 2015, 2016). Unlike the conventional composting process, which takes 8–24 weeks, BSF-assisted composting takes only 5 weeks to convert organic waste into mature and stable organic fertilizer (Beesigamukama et al., 2021). The high bioconversion efficiency of BSF could be partly attributed to the high waste reduction efficiency (65–79%) (Diener et al., 2011) and the high abundance and diversity of microbial decomposers associated with BSF larvae (Elhag et al., 2017; Vogel et al., 2018). Recent studies have reported improved crop growth, yield, nutrient uptake, N use efficiency, and disease suppression in different plants grown using composted BSFFF (Choi and Hassanzadeh, 2019; Beesigamukama et al., 2020b,c; Quilliam et al., 2020).
Most research on the use of BSFFF has been conducted using non-vegetable crops (Beesigamukama et al., 2020b,c; Menino et al., 2021), except Quilliam et al. (2020) who used chili pepper and shallots, but this study did not investigate the nutritional quality of the crops involved. It should be noted that different crops have different nutrient requirements, and thus require different fertilizer application rates. The BSFFF is a relatively new product, and information on its performance in terms of how it influences the growth, yield, and nutritional quality of widely consumed vegetables, such as tomatoes, kales, and French beans, is largely unknown.
The performance of BSFFF for tomatoes, kales, and French beans production in comparison to existing organic fertilizers has not been studied. The combined application of organic and mineral fertilizers has been recommended for improved nutrient use efficiency and crop yield (Vanlauwe et al., 2015). However, information on the agronomic performance and nutritional quality of vegetables grown with sole BSFFF and a combination of BSFFF and mineral fertilizers is lacking. Therefore, the current study aimed to determine the effects of BSFFF on the growth, yield, N uptake and use efficiency, and nutritional quality of tomatoes, kales, and French beans in comparison with conventional compost, and commercial organic and mineral fertilizers.
Materials and Methods
Experimental Site
Greenhouse and field experiments were carried out in Nairobi County, Kenya. The greenhouse experiment was conducted at the International Centre of Insect Physiology and Ecology (icipe) (36.89°E, 1.17°S), whereas the field experiment was carried out at Kenyatta University teaching and demonstration farm (36.94°E, 1.18°S) for two cropping seasons (October to March 2018 and May to September 2019). Nairobi receives bimodal rainfall with an annual average amount of 787 mm. The long rain season falls between March and May, whereas the short rain season runs from October to December. The temperature of Nairobi ranges between 12 and 29°C. The soils in the study sites are Acric Ferralsols (Gachene and Kimaru, 2003) with medium acidity (5.6–5.8), low levels of N (0.05–0.13%), phosphorus (5–9 ppm), and organic matter (0.4–2.1%) (Table 1). Before experiments, soil samples were collected from 0 to 20 cm depth, air-dried for 5 days, and analyzed for nutrients, pH, organic matter, and texture using standard laboratory methods described in Okalebo et al. (2002). Table 1 presents the results of the soil analysis.
Table 1
| Parameter | Greenhouse | Open field |
|---|---|---|
| pH | 5.80 | 5.59 |
| Total nitrogen (%) | 0.05 | 0.13 |
| Total organic carbon (%) | 0.24 | 1.23 |
| Organic matter (%) | 0.42 | 2.1 |
| Available phosphorus (ppm) | 5.0 | 9.0 |
| Potassium (cmol kg−1) | 0.84 | 1.44 |
| Calcium (cmol kg−1) | 2.2 | 6.0 |
| Magnesium (cmol kg−1) | 2.77 | 3.85 |
| Manganese (cmol kg−1) | 0.43 | 0.48 |
| Copper (ppm) | 1.00 | 1.45 |
| Iron (ppm) | 29.5 | 44.4 |
| Zinc (ppm) | 3.00 | 2.47 |
| Sodium (cmol kg−1) | 0.28 | 1.19 |
| Textural class | Loam | Sandy loam |
Selected characteristics of soils used during green house and open-field experiments.
Source of Fertilizers
The experiment involved four fertilizers: composted BSFFF, conventionally composted organic fertilizer [brewer's spent grains (BSGs)], commercial organic fertilizer (Evergrow), and mineral fertilizer (NPK 23:23:0). The Evergrow and NPK were sourced from Sanergy and Kenya Farmers Association Ltd., respectively, all located in Nairobi, Kenya. The BSFFF was obtained frass generated from the feeding of BSF larvae on BSG at the animal rearing and quarantine unit at icipe. The BSF larvae were reared following procedures described by Beesigamukama et al. (2021). The BSG compost was generated from the composting process of BSG sourced from Kenya Breweries Limited, Nairobi, Kenya. The BSF frass and BSG were composted separately for 112 days using the heap composting method. Before the start of composting, the C/N ratios of BSF frass and BSGs were adjusted to 25:1 (Strong, 1911) using rice husks. The amounts of rice husk required to adjust C/N ratios of BSF frass and BSGs were calculated using a formula given by Richard and Trautmann (1996). The frass obtained from BSF rearing and BSG were composted separately to convert into mature and stable compost products.
During composting, heaps of 1 m height and 4 m long were built on surfaces lined with polythene sheets and hydrated to a moisture content of 55–65% (Chen et al., 2009). The heaps were covered using polythene sheets (1,000 mm gauge) to prevent moisture and heat losses. The composting materials were turned on a weekly basis using a forked spade to ensure uniform decomposition. Compost maturity was monitored biweekly up to maturity stage using temperature, pH (6–8), C/N ratio (<25), germination index (>80%) (Bernal et al., 2009). A phytotoxicity test was conducted using cabbage seeds (Brassica oleracea var. capitata) following protocols described by Emino and Warman (2004). Table 2 presents selected physical–chemical characteristics (dry weight basis) of mature composts and the commercial organic fertilizer used in experiments.
Table 2
| Parameter | Composted BSF frass fertilizer (BSFFF) | BSG compost | Evergrow fertilizer |
|---|---|---|---|
| pH | 7.26 | 7.11 | 7.8 |
| Organic carbon (%) | 38.61 | 37.9 | 20 |
| Nitrogen (%) | 3.61 | 2.45 | 1.0 |
| Phosphorus (%) | 0.50 | 0.37 | 0.4 |
| Potassium (%) | 0.29 | 0.24 | 0.5 |
| Calcium (%) | 0.97 | 0.28 | 1.3 |
| Magnesium (%) | 0.10 | 0.15 | 0.2 |
| Iron (ppm) | 310 | 185 | 0.12 |
| Copper (ppm) | 25.0 | 15.0 | 100 |
| Manganese (ppm) | 109 | 262 | 200 |
| Zinc (ppm) | 182 | 167 | 850 |
| C/N ratio | 10.7 | 15.5 | 20 |
| Germination index (%) | 86 | 75 | – |
Characteristics of organic fertilizers used during experiments.
Treatments and Experimental Setup
The BSFFF, BSG, Evergrow, and NPK fertilizer were applied at uniform rates equivalent to 371 kg N ha−1 in two sets of treatments. In the first set of treatments, 100% of the N required was supplied using sole organic fertilizers and sole NPK; these were denoted as BSFFF, BSG, and Evergrow, NPK, respectively. The quantity of fertilizers required to supply the 371 kg N ha−1 were equivalent to 2.5, 3.5, and 14.8 t ha−1 for sole BSFFF, BSG, and Evergrow, respectively, and 644.7 kg ha−1 for sole NPK. In the second set of treatments, the BSFFF and BSG were combined with mineral fertilizer, whereby 50% of the N required was supplied using organic fertilizers, and the other 50% was supplied using mineral NPK fertilizer. These were denoted as BSFFF + NPK and BSG + NPK, respectively. The quantities of fertilizers required to supply 50% of the N required (that is 185.5 kg N ha−1) were equivalent to 1.24, 1.73 t ha−1 for BSFFF and BSG, respectively, and 322.3 kg ha−1 for NPK. The control treatment consisted of unfertilized soil.
The experiments were carried out under greenhouse and open-field conditions. The greenhouse experiment was performed using polythene pots measuring 30 cm long, 40 cm wide, and 60 cm deep. Each polythene pot was filled with 10 kg of fresh soil, which was mixed with the different treatments. The experiments were arranged in a randomized complete block design (RCBD) with four replicates. Each replicate consisted of 10 pots, arranged at a spacing of 60 cm × 60 cm, 45 cm × 45 cm, and 30 cm × 30 cm for tomatoes, kales, and French beans, respectively.
In the field experiment, two 14-day-old seedlings of tomato (variety: Kilele) and kale (variety: Southern Georgia) were planted per hill, whereas two French beans seeds (variety: Samantha) were sown per hill. At 2 weeks after germination, thinning was done to maintain one plant per pot and hill for the greenhouse and field experiments, respectively. The field experiment was carried out using plots measuring 2.5 m × 2.5 m with borders of 0.5 m. The organic fertilizers (BSFFF, BSG, and Evergrow) were applied 1 week before sowing, whereas the mineral fertilizer (NPK) was applied 1 week after planting. During experiments, weeds were controlled manually by pulling, whereas a drip irrigation system was installed to cater for crop water requirements.
Vegetable Growth, Yield, and Nutritional Quality
Six vegetable plants were randomly selected and tagged from each treatment replicate for the determination of growth parameters. Plant growth for tomatoes and kales was determined by collecting data on plant height, stem diameter, and number of leaves biweekly from the 4th up to 10th week of experiments. For French beans, growth data were collected weekly from the 4th to 7th week of experiments. Plant height was measured using a tape measure placed from ground level to the tip of the shoot. The stem diameter was measured using a Vernier caliper placed at the 5 cm mark from the ground level. Tomato yield was determined by picking mature fruits, whereas kale yield was determined by picking mature leaves from the 7th week until the end of experiments. For French bean, pods were collected on a weekly basis from the 5th week until the end of experiments. The total vegetable yield per crop was determined by summing the yields obtained per harvest period and expressed on hectare basis (t ha−1).
Vegetable yield from the field experiments was used to calculate the N uptake (Equation 1) and agronomic N efficiency (AEN), which is a measure of economic yield produced per unit amount of N supplied from each treatment (Equation 2) (Baligar et al., 2001).
where F represents fertilizer-treated plot and C represents the control plot (no amendment).
A part of the tomato fruits, kale leaves, and French bean pods harvested from the field experiment were air-dried and ground into powder using an analytical mill to analyze for total N crude protein (total N using the Kjeldahl method followed which was converted to crude protein using a factor of 6.25), crude fiber (Velp fiber analyzer, VELP Scientifica, Usmate Velate, Italy), crude fat (Velp fat analyzer, VELP Scientifica, Usmate Velate, Italy) (Van Soest et al., 1991), and carbohydrates (Association of Official Analytical Chemists, 1990), whereas the ash concentration was calculated (Association of Official Analytical Chemists, 1990).
Data Analysis
Prior to analysis, data were checked for normality using the Shapiro–Wilk test. Plant height, number of leaves, and stem diameter were analyzed using a linear mixed-effect model with “lmer” function from the package “lme4” in R programming environment (R Core Team, 2019) with fertilizer treatment and sampling time as fixed effects, and replication as random effect. Data on crop yields, N accumulation AEN, and nutritional quality were analyzed using the ANOVA test. Mean separation was done using the Student–Newman–Keuls test with α = 0.05. The principal component analysis (PCA) was performed using the “prcomp” (Venables and Ripley, 2002) function from the “ggbiplot” (Wickham, 2016) package to examine the relationship among the growth, yield, and nutritional quality parameters of vegetables grown using different fertilizer treatments. Data were analyzed separately for each crop. All the statistical analyses were conducted using the R programming environment (R Core Team, 2019).
Results
Vegetable Growth
Tomato
The tomato plant height varied significantly due to fertilizer treatments (greenhouse: p < 0.001, open field: p < 0.001). The plant height under greenhouse and open-field conditions followed an increasing trend throughout experiments (Table 3). Application of BSFFF + NPK produced significantly (p < 0.001) taller tomato plants than where BSG was applied. Amendment with BSFFF + NPK produced tomato plants, which were significantly (p < 0.001) taller than those grown using BSG, NPK, and Evergrow fertilizers. All fertilizer-treated plots produced significantly (p < 0.001) taller tomato plants than the control treatment.
Table 3
| Parameter | Treatments | Greenhouse | Open field | ||||||
|---|---|---|---|---|---|---|---|---|---|
| 4 weeks | 6 weeks | 8 weeks | 10 weeks | 4 weeks | 6 weeks | 8 weeks | 10 weeks | ||
| Plant height (cm) | BSFFF | 30.8 ± 2.89ab | 53.8 ± 3.86b | 71.0 ± 3.02ab | 99 ± 4.75ab | 34.8 ± 1.49ab | 52.6 ± 2.46bc | 74.0 ± 3.86b | 84.2 ± 4.22ab |
| BSG | 24.3 ± 1.20c | 39.0 ± 1.59c | 63.0 ± 4.62b | 76.3 ± 6.59b | 28.7 ± 1.79cd | 44.0 ± 2.22d | 57.1 ± 2.29c | 70.8 ± 3.07c | |
| NPK | 33.6 ± 1.15ab | 60.0 ± 4.59ab | 73.0 ± 5.78ab | 91.0 ± 3.44bc | 39.7 ± 1.85a | 56.1 ± 1.6ab | 65.7 ± 3.21bc | 75.8 ± 2.9bc | |
| Evergrow | 32.1 ± 1.23ab | 50.0 ± 2.60b | 65.8 ± 3.42b | 74.0 ± 4.61c | 32.4 ± 1.88bc | 46.4 ± 3.24cd | 58.3 ± 3.72c | 66.8 ± 3.19c | |
| BSFFF + NPK | 35.7 ± 1.17a | 68.2 ± 3.56a | 86.0 ± 4.68a | 112.9 ± 3.8a | 38.4 ± 1.69ab | 62.1 ± 2.18a | 85.8 ± 3.80a | 90.2 ± 2.59a | |
| BSG + NPK | 29.1 ± 1.20b | 51.6 ± 2.73b | 78.0 ± 4.62ab | 100.4 ± 7.0ab | 35.7 ± 1.43ab | 54.5 ± 2.76abc | 69.5 ± 2.76b | 86.4 ± 2.5ab | |
| Control | 18.8 ± 1.20d | 26.6 ± 3.92d | 37.0 ± 4.12c | 49.1 ± 4.55d | 24.8 ± 1.73d | 35.2 ± 2.40e | 40.3 ± 2.56d | 47.1 ± 3.05d | |
| Number of leaves | BSFFF | 9.0 ± 0.54a | 12 ± 1.11a | 14.6 ± 0.87a | 16.5 ± 1.17a | 8.3 ± 0.37a | 10.0 ± 0.27b | 12.3 ± 0.67abc | 13.5 ± 0.78abc |
| BSG | 7.6 ± 1.01a | 10 ± 1.15a | 10.8 ± 1.11b | 12.3 ± 0.91b | 6.3 ± 0.25b | 8.8 ± 0.25c | 10.5 ± 0.53c | 11.5 ± 0.42c | |
| NPK | 7.8 ± 0.59a | 10.9 ± 0.9a | 13.4 ± 0.98ab | 15.3 ± 0.97ab | 9.0 ± 0.27a | 10.9 ± 0.4ab | 11.8 ± 0.56bc | 12.8 ± 0.56bc | |
| Evergrow | 8.5 ± 0.87a | 9.6 ± 0.85a | 10.5 ± 1.19b | 12.8 ± 1.21b | 8.8 ± 0.25a | 10.5 ± 0.19b | 11.5 ± 0.46bc | 12.0 ± 0.38c | |
| BSFFF + NPK | 8.6 ± 0.66a | 11.6 ± 0.69a | 15.4 ± 0.69a | 17.5 ± 0.59a | 9.0 ± 0.27a | 12.1 ± 0.52a | 13.9 ± 0.58a | 15.3 ± 0.59a | |
| BSG + NPK | 8.9 ± 1.16a | 10.6 ± 1.1a | 13.8 ± 0.82ab | 16.2 ± 1.15a | 8.5 ± 0.33a | 11.4 ± 0.53ab | 13.3 ± 0.7ab | 14.5 ± 0.71ab | |
| Control | 5.6 ± 0.39a | 6.6 ± 0.18b | 7.1 ± 0.27c | 8.1 ± 0.23c | 5.6 ± 0.26b | 7.0 ± 0.27d | 8.1 ± 0.30d | 9.1 ± 0.35d | |
| Stem diameter (mm) | BSFFF | 7.9 ± 0.88a | 10.2 ± 0.7a | 12.9 ± 1.15a | 14.0 ± 1.16ab | 6.3 ± 0.81ab | 9.1 ± 0.74a | 11.1 ± 0.79ab | 12.4 ± 0.75ab |
| BSG | 7.9 ± 0.46a | 9.4 ± 0.45a | 10.2 ± 0.65a | 11.0 ± 0.78b | 5.6 ± 0.54ab | 8.1 ± 0.66a | 8.9 ± 0.72b | 9.8 ± 0.73c | |
| NPK | 8.8 ± 0.24a | 10.4 ± 0.22a | 11.9 ± 0.70a | 12.9 ± 0.8ab | 7.4 ± 0.54a | 8.9 ± 0.65a | 10.1 ± 0.71ab | 11.4 ± 0.76bc | |
| Evergrow | 8.4 ± 0.56a | 9.5 ± 0.43a | 10.5 ± 0.62a | 11.5 ± 0.78b | 6.4 ± 0.64ab | 7.6 ± 0.73a | 8.5 ± 0.78b | 9.6 ± 0.89c | |
| BSFFF + NPK | 8.3 ± 0.87a | 10.9 ± 1.02a | 14.0 ± 1.28a | 15.6 ± 1.06a | 6.9 ± 0.73a | 10.0 ± 0.79a | 12.6 ± 0.6a | 14.2 ± 0.7a | |
| BSG + NPK | 7.3 ± 0.68a | 10.8 ± 0.89a | 12.4 ± 0.96a | 13.6 ± 0.93ab | 6.9 ± 0.77a | 9.9 ± 0.75a | 11.2 ± 0.66ab | 13.0 ± 0.7ab | |
| Control | 4.6 ± 0.67b | 5.2 ± 0.76b | 6.0 ± 0.70b | 6.8 ± 0.62c | 4.0 ± 0.64b | 4.7 ± 0.67b | 5.6 ± 0.68c | 6.2 ± 0.67d | |
Effect of composted BSF frass, conventionally composted BSG, and commercial fertilizers on the growth of tomatoes.
BSFFF, black soldier fly frass organic fertilizer applied at sole rate equivalent to 371 kg N ha−1; BSG, conventional compost from brewer's spent grain applied at sole rate equivalent to 371 kg N ha−1; NPK, commercial mineral fertilizer applied at sole rate equivalent to 371 kg N ha−1; Evergrow, commercial organic fertilizer applied at sole rate equivalent to 371 kg N ha−1; BSFFF + NPK, combined application of BSFFF and NPK so that each supplies 185.5 kg N ha−1; BSG + NPK, combined BSG compost and NPK so that each supplies 185.5 kg N ha−1, control, unfertilized soil. Within the same column and per parameter, means (±SE) followed by the same letters are not significantly different for α = 0.05.
The number of leaves varied significantly (p < 0.001) due to different fertilizer treatments. The number of leaves increased throughout experiments (Table 3). Tomatoes grown using fertilizer amendments produced a significantly (p < 0.001) higher number of leaves than those grown using the unfertilized soil. The soil treated with BSFFF produced a significantly (p < 0.001) higher number of tomato leaves than those grown using BSG and Evergrow at 8 and 10 weeks after planting under greenhouse conditions. Amendment with BSFFF + NPK produced significantly (p < 0.001) higher number of leaves than NPK, Evergrow, and BSG from the 8th to 10th week after planting under open-field conditions.
The tomato stem diameter also varied significantly due to different fertilizer treatments during greenhouse (p < 0.001) and open-field (p < 0.001) experiments. The stem diameter followed an increasing trend throughout experiments. Fertilizer treatments produced plants with significantly (p < 0.001) higher values compared to the control treatment (Table 3). During open-field experiments, tomatoes grown using BSFFF + NPK had significantly (p < 0.001) bigger stem diameter than those produced using Evergrow and BSG at 8 weeks after planting, and where BSG, NPK, and Evergrow were applied at 10 weeks after planting.
Kales
The height of kales varied significantly due to different fertilizer treatments (greenhouse: p < 0.001, open field: p < 0.001) (Table 4). The plant height increased to peak values at 10 weeks after planting. It was noted that fertilizer-treated soils produced significantly (p < 0.001) taller plants than the control. At 6 weeks after planting, amendment with NPK produced significantly (p < 0.001) taller plants than where Evergrow was applied under greenhouse experiments. Under open-field conditions, plots treated with BSFFF + NPK produced significantly (p < 0.001) higher plant than other treatments, except where BSG + NPK, NPK, and BSFFF were applied at 4 weeks after planting, and BSG + NPK and BSFFF at 8 weeks after planting.
Table 4
| Parameter | Fertilizer treatment | Greenhouse | Open field | ||||||
|---|---|---|---|---|---|---|---|---|---|
| 4 weeks | 6 weeks | 8 weeks | 10 weeks | 4 weeks | 6 weeks | 8 weeks | 10 weeks | ||
| Plant height (cm) | BSFFF | 14.7 ± 1.96a | 21.3 ± 1.81ab | 34.1 ± 1.56a | 36.3 ± 2.37a | 12.7 ± 0.96ab | 20.9 ± 1.17b | 28.0 ± 1.44ab | 30.4 ± 1.24b |
| BSG | 14.8 ± 1.25a | 20.1 ± 2.5ab | 29.6 ± 0.56a | 33.3 ± 1.3a | 11.0 ± 0.63b | 16.7 ± 0.71c | 23.2 ± 0.93c | 26.1 ± 1.07cd | |
| NPK | 15.4 ± 2.42a | 27.7 ± 0.73a | 30.0 ± 0.5a | 33.6 ± 0.49a | 12.5 ± 0.6ab | 19.8 ± 0.81b | 25.7 ± 1.32bc | 28.5 ± 1.28bc | |
| Evergrow | 15.6 ± 1.55a | 19.0 ± 1.82b | 27.5 ± 1.99a | 31.1 ± 1.2a | 11.2 ± 0.73b | 18.2 ± 1.01bc | 22.3 ± 1.12c | 24.1 ± 1.34d | |
| BSFFF + NPK | 16.4 ± 1.41a | 25.5 ± 2.7ab | 35.2 ± 1.91a | 38.5 ± 1.52a | 14.8 ± 0.52a | 24.4 ± 0.83a | 29.9 ± 0.93a | 33.8 ± 0.94a | |
| BSG + NPK | 14.5 ± 1.28a | 23.9 ± 2.24ab | 32.6 ± 2.98a | 35.9 ± 1.93a | 13.5 ± 0.56ab | 21.1 ± 0.81b | 27.7 ± 0.9ab | 30.1 ± 0.88b | |
| Control | 9.6 ± 0.56b | 11.4 ± 0.77c | 17.8 ± 2.37b | 18.2 ± 2.34b | 8.0 ± 0.34c | 11.9 ± 0.79d | 15.9 ± 0.9d | 18.8 ± 0.88e | |
| Number of leaves | BSFFF | 6.9 ± 0.8a | 12.2 ± 1.24a | 15.2 ± 1.03a | 15.9 ± 0.96ab | 9.0 ± 0.7a | 11.7 ± 0.74ab | 14.3 ± 0.9ab | 15.4 ± 0.8ab |
| BSG | 5.4 ± 0.86a | 11.3 ± 1.48ab | 13.2 ± 1.07ab | 14.0 ± 1.09ab | 7.5 ± 0.7a | 10.5 ± 0.75b | 12.5 ± 0.72b | 13.9 ± 0.78b | |
| NPK | 6.5 ± 1.1a | 9.2 ± 1.14ab | 13.3 ± 0.79ab | 14.1 ± 0.74ab | 10.0 ± 0.74a | 12.0 ± 0.73ab | 14.0 ± 0.84ab | 14.9 ± 0.85ab | |
| Evergrow | 8.2 ± 1.11a | 10.5 ± 0.72ab | 11.6 ± 0.42b | 12.6 ± 0.5b | 9.0 ± 0.69a | 11.5 ± 0.75ab | 12.6 ± 0.67b | 13.2 ± 0.71ab | |
| BSFFF + NPK | 7.3 ± 1.14a | 12.2 ± 1.11a | 15.8 ± 1.13a | 17.1 ± 1.19a | 9.6 ± 0.6a | 13.9 ± 0.68a | 16.2 ± 0.74a | 16.8 ± 0.77a | |
| BSG + NPK | 8.2 ± 1.17a | 10.5 ± 1.13ab | 15.0 ± 0.68ab | 16.2 ± 0.64ab | 9.6 ± 0.67a | 12.3 ± 0.93ab | 15.2 ± 0.87ab | 15.8 ± 0.86ab | |
| Control | 5.1 ± 0.76a | 7.1 ± 0.78ab | 8.8 ± 0.73c | 9.7 ± 0.84c | 5.5 ± 0.67b | 7.1 ± 0.69c | 8.9 ± 0.73c | 9.8 ± 0.72c | |
| Stem diameter (mm) | BSFFF | 7.4 ± 1.01a | 13.3 ± 1.09ab | 18.1 ± 1.78ab | 20.8 ± 2.03ab | 9.5 ± 0.71bc | 14.8 ± 0.75bc | 18.8 ± 1.23ab | 21.2 ± 1.27a |
| BSG | 6.3 ± 1.44a | 10.9 ± 1.8ab | 14.9 ± 0.81b | 16.8 ± 1.0bc | 8.9 ± 0.75c | 12.5 ± 0.67c | 15.6 ± 0.71c | 16.5 ± 0.69b | |
| NPK | 8.5 ± 1.09a | 10.7 ± 0.7ab | 14.7 ± 1.16b | 17.7 ± 1.54bc | 12.3 ± 0.73ab | 14.9 ± 0.7bc | 17.0 ± 0.73bc | 18.2 ± 0.74b | |
| Evergrow | 8.1 ± 1.6a | 9.5 ± 1.16ab | 13.5 ± 1.11b | 15.1 ± 1.09c | 11.0 ± 0.75abc | 13.4 ± 0.6bc | 14.9 ± 0.58c | 15.4 ± 0.58b | |
| BSFFF + NPK | 9.1 ± 2.05a | 14.8 ± 2.05a | 19.9 ± 0.52a | 23.1 ± 1.14a | 12.6 ± 0.72a | 19.0 ± 1.25a | 21.4 ± 1.15a | 22.3 ± 1.12a | |
| BSG + NPK | 8.2 ± 1.01a | 11.8 ± 1.69ab | 15.8 ± 1.11b | 18.8 ± 1.2abc | 11.3 ± 0.85abc | 15.8 ± 0.56b | 19.2 ± 0.36ab | 21.0 ± 0.69a | |
| Control | 5.3 ± 0.87a | 7.3 ± 1.21b | 7.3 ± 1.06c | 10.1 ± 1.07d | 6.4 ± 0.73d | 8.0 ± 0.7d | 9.3 ± 0.68d | 10.3 ± 0.77c | |
Effect of composted BSF frass, conventionally composted BSG, and commercial fertilizers on the growth of kales.
BSFFF, black soldier fly frass organic fertilizer applied at sole rate equivalent to 371 kg N ha−1; BSG, conventional compost from brewer's spent grain applied at sole rate equivalent to 371 kg N ha−1; NPK, commercial mineral fertilizer applied at sole rate equivalent to 371 kg N ha−1; Evergrow, commercial organic fertilizer applied at sole rate equivalent to 371 kg N ha−1; BSFFF + NPK, combined application of BSFFF and NPK so that each supplies 185.5 kg N ha−1; BSG + NPK, combined BSG compost and NPK so that each supplies 185.5 kg N ha−1, control, unfertilized soil. Within the same column and per parameter, means (±SE) followed by the same letters are not significantly different for α = 0.05.
The number of kale leaves was observed to vary significantly (greenhouse: p < 0.001, open field: p < 0.001) due to fertilizer amendments (Table 4). The number of kale leaves reached peak values at 10 weeks after planting, with minimal changes observed between the 8th and 10th week. Fertilizer-treated plots produced kale plants with a significantly (p < 0.001) higher number of leaves than the control treatment, except at 4 and 6 weeks during greenhouse experiments. At 8 and 10 weeks after planting, amendment with BSFFF + NPK produced significantly (p < 0.001) higher number of kale leaves than where Evergrow was applied during greenhouse experiments. During the open-field experiments, kales grown in plots treated with both BSFFF + NPK had a significantly (p < 0.001) higher number of leaves than those grown using BSG from the 8th to 10th week after planting, and Evergrow at 8 weeks after planting.
The stem diameter of kales grown using different fertilizer treatments varied significantly (greenhouse: p < 0.001, open field: p < 0.001) during experiments. Peak values of stem diameter were observed 10 weeks after planting (Table 4). Amendment with BSFFF + NPK fertilizers produced the biggest stem, which was significantly (p < 0.001) bigger than those of other treatments, except BSFFF at 8 and 10 weeks after planting and BSG + NPK at 10 weeks after planting under greenhouse conditions. During the field experiments, amendment with BSFFF + NPK produced significantly (p < 0.001) bigger stem diameters than BSFFF at 4 and 6 weeks, BSG + NPK at 6 weeks, BSG, Evergrow, and NPK from the 6th to 10th week, and the control treatment from 4 to 10 weeks.
French Beans
The fertilizer treatments caused significant differences (greenhouse: p < 0.001, open field: p < 0.001) in the height, number of leaves, and stem diameter of French beans (Table 5). The plant height, number of leaves, and stem diameter increased to peak values at 7 weeks after planting. French beans grown using fertilizer treatments were significantly (p < 0.001) taller and had a higher number of leaves and bigger stem diameters compared to plants grown on unfertilized soil from the 4th week of experiments. During greenhouse experiments, soil amendment with BSFFF + NPK produced significantly (p < 0.001) taller French bean crops than NPK and control at 4 weeks, and other treatments from the 5th to 7th week of experiments, except where BSG + NPK was applied at 6 and 7 weeks and BSFFF at 7 weeks. In addition, treatment with BSFFF + NPK produced significantly (p < 0.001) taller plants from the 5th to 7th week of field experiments, except where BSG + NPK, NPK, and BSFFF were applied at 6 and 7 weeks.
Table 5
| Parameter | Fertilizer treatment | Greenhouse | Open field | ||||||
|---|---|---|---|---|---|---|---|---|---|
| 4 weeks | 5 weeks | 6 weeks | 7 weeks | 4 weeks | 5 weeks | 6 weeks | 7 weeks | ||
| Plant height (cm) | BSFFF | 16.8 ± 2.58ab | 25.1 ± 2.78bc | 36.2 ± 1.54bc | 38.2 ± 1.99a | 12.8 ± 0.80a | 19.4 ± 0.84b | 24.3 ± 0.59a | 26.9 ± 0.92ab |
| BSG | 16.8 ± 1.52ab | 23.3 ± 2.85bc | 30.7 ± 2.19c | 32.5 ± 2.68b | 9.1 ± 0.66b | 14.9 ± 0.77c | 19.2 ± 1.07b | 21.5 ± 1.04c | |
| NPK | 13.9 ± 2.46b | 20.7 ± 2.61bc | 29.7 ± 2.35c | 31.8 ± 2.06b | 14.5 ± 0.47a | 19.4 ± 0.78b | 24.0 ± 0.59a | 26.6 ± 0.92ab | |
| Evergrow | 14.6 ± 1.56ab | 17.6 ± 1.75c | 22.4 ± 1.58d | 25.1 ± 1.31c | 13.1 ± 0.64a | 17.8 ± 0.70b | 20.4 ± 0.79b | 23.8 ± 0.88bc | |
| BSFFF + NPK | 20.6 ± 0.55a | 34.5 ± 0.71a | 43.4 ± 1.66a | 44.6 ± 1.44a | 15.4 ± 0.41a | 22.3 ± 1.26a | 26.2 ± 1.34a | 28.9 ± 1.53a | |
| BSG + NPK | 19.4 ± 1.92ab | 27.5 ± 2.94b | 39.1 ± 2.85ab | 40.6 ± 2.06a | 14.8 ± 1.10a | 19.0 ± 0.89b | 24.1 ± 1.05a | 27.2 ± 0.76ab | |
| Control | 9.1 ± 0.92c | 10.0 ± 1.07d | 12.7 ± 1.22e | 15.0 ± 1.14d | 7.3 ± 0.58b | 11.8 ± 0.68d | 14.0 ± 0.99c | 15.5 ± 0.67d | |
| Number of leaves | BSFFF | 5.3 ± 0.79a | 8.6 ± 1.07ab | 13.8 ± 0.66b | 16.7 ± 0.78b | 8.1 ± 0.80a | 11.9 ± 1.12ab | 13.9 ± 1.17ab | 15.0 ± 1.08a |
| BSG | 4.9 ± 1.14a | 8.1 ± 1.34ab | 12.5 ± 0.53b | 13.9 ± 1.13c | 6.6 ± 0.85a | 8.9 ± 0.81bc | 10.9 ± 1.01bc | 11.4 ± 0.88bc | |
| NPK | 6.5 ± 1.16a | 9.2 ± 1.6ab | 13.8 ± 1.04b | 15.9 ± 0.88b | 8.3 ± 0.68a | 11.2 ± 0.75ab | 12.4 ± 0.78ab | 13.8 ± 0.81ab | |
| Evergrow | 4.0 ± 0.58a | 6.0 ± 0.48bc | 10.0 ± 1.09c | 10.9 ± 1.0cd | 7.2 ± 0.81a | 9.3 ± 0.92bc | 11.1 ± 1.00bc | 11.8 ± 0.97bc | |
| BSFFF + NPK | 6.5 ± 1.2a | 11.6 ± 1.11a | 17.9 ± 1.13a | 19.9 ± 0.66a | 8.9 ± 0.74a | 13.5 ± 0.99a | 15.6 ± 1.06a | 16.9 ± 0.99a | |
| BSG + NPK | 5.7 ± 0.73a | 9.9 ± 1.14ab | 15.2 ± 1.16b | 17.9 ± 1.05a | 8.4 ± 0.73a | 11.9 ± 0.90ab | 13.9 ± 0.98ab | 15.6 ± 1.01a | |
| Control | 3.0 ± 0.54a | 3.7 ± 0.31c | 4.6 ± 0.38d | 5.0 ± 0.41d | 5.9 ± 0.59a | 7.3 ± 0.78c | 8.1 ± 0.84c | 8.7 ± 0.77c | |
| Stem diameter (mm) | BSFFF | 3.1 ± 0.06ab | 4.9 ± 0.46abc | 5.5 ± 0.39abc | 6.8 ± 0.24a | 3.2 ± 0.22ab | 4.4 ± 0.23ab | 5.4 ± 0.32ab | 6.3 ± 0.36ab |
| BSG | 2.9 ± 0.16ab | 3.9 ± 0.32bcd | 4.4 ± 0.41bcd | 5.4 ± 0.35b | 3.0 ± 0.20ab | 3.8 ± 0.27b | 4.6 ± 0.37b | 5.2 ± 0.40bc | |
| NPK | 3.2 ± 0.51ab | 4.8 ± 0.24abc | 5.2 ± 0.24abc | 5.6 ± 0.12b | 3.3 ± 0.23ab | 4.3 ± 0.21ab | 4.9 ± 0.19ab | 5.5 ± 0.18bc | |
| Evergrow | 2.5 ± 0.25ab | 3.3 ± 0.58cd | 4.0 ± 0.73cd | 4.3 ± 0.7b | 2.7 ± 0.23bc | 3.5 ± 0.39b | 4.2 ± 0.48b | 4.6 ± 0.47c | |
| BSFFF + NPK | 3.6 ± 0.33a | 5.7 ± 0.23a | 6.6 ± 0.20a | 7.6 ± 0.19a | 3.8 ± 0.25a | 5.0 ± 0.29a | 6.1 ± 0.23a | 6.8 ± 0.17a | |
| BSG + NPK | 2.8 ± 0.36ab | 5.2 ± 0.55ab | 5.9 ± 0.46ab | 6.9 ± 0.2a | 3.0 ± 0.24ab | 4.5 ± 0.34ab | 5.4 ± 0.37ab | 6.2 ± 0.31ab | |
| Control | 2.0 ± 0.19b | 2.5 ± 0.39d | 2.9 ± 0.48d | 3.1 ± 0.46c | 2.1 ± 0.15c | 2.7 ± 0.28c | 3.1 ± 0.30c | 3.3 ± 0.30d | |
Effect of composted BSF frass, conventionally composted BSG, and commercial fertilizers on the growth of French beans.
BSFFF, black soldier fly frass organic fertilizer applied at sole rate equivalent to 371 kg N ha−1; BSG, conventional compost from brewer's spent grain applied at sole rate equivalent to 371 kg N ha−1; NPK, commercial mineral fertilizer applied at sole rate equivalent to 371 kg N ha−1; Evergrow, commercial organic fertilizer applied at sole rate equivalent to 371 kg N ha−1; BSFFF + NPK, combined application of BSFFF and NPK so that each supplies 185.5 kg N ha−1; BSG + NPK, combined BSG compost and NPK so that each supplies 185.5 kg N ha−1, control, unfertilized soil. Within the same column and per parameter, means (±SE) followed by the same letters are not significantly different for α = 0.05.
During greenhouse experiments, soil amendment with BSFFF + NPK produced significantly (p < 0.001) higher number of leaves than Evergrow, and control treatments at 4 weeks and other treatments from the 6th to 7th week, except where BSG + NPK was applied at 7 weeks. Likewise, the number of leaves produced by French bean grown using BSFFF + NPK was significantly (p < 0.001) higher than those achieved using BSG, Evergrow, and control treatments from the 5th to 7th week during open-field experiments.
It was noted that application of BSFFF + NPK significantly (p < 0.001) increased French bean stem diameter than BSG, Evergrow, and control treatments from the 5th to 7th week of both experiments, and NPK at 7 weeks during both greenhouse and field experiments. At 7 weeks, treatment with BSFFF frass produced significantly (p < 0.001) bigger French bean stem diameter than BSG and NPK during greenhouse experiments, and Evergrow during both experiments.
Vegetable Yields
Tomatoes
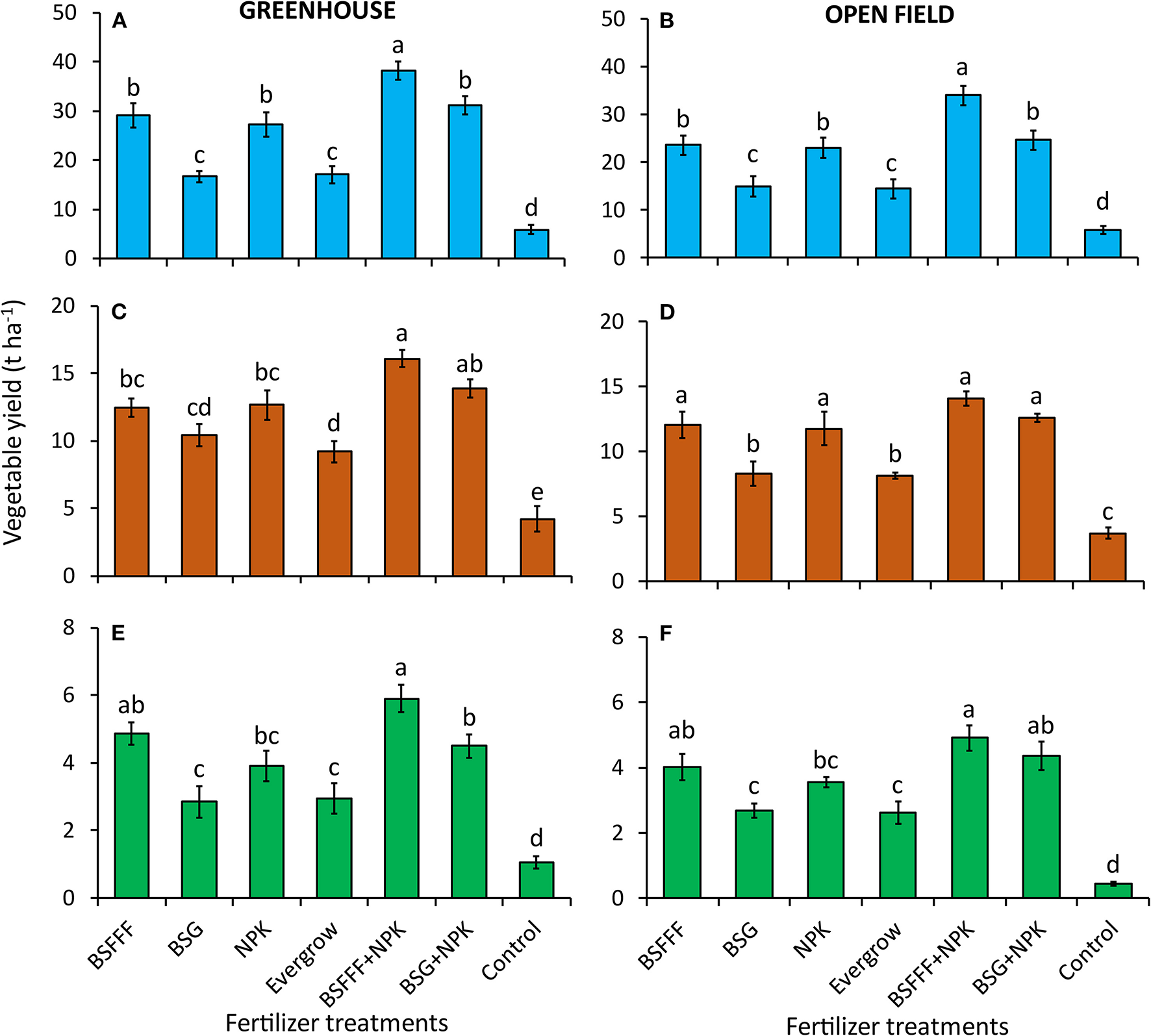
There were significant differences in the yield of tomato grown using different fertilizer treatments (greenhouse: p < 0.001, open field: p < 0.001). The tomato yields achieved using fertilizer treatments were significantly (p < 0.001) higher than those obtained using unfertilized soil by 2.9–6.5 and 2.6–6.1 times under greenhouse and open-field conditions, respectively (Figures 1A,B). Amendment with BSFFF + NPK produced the highest tomato yields compared to the other fertilizer treatments, which were 22–124% and 38–135% higher under greenhouse (p < 0.001) and open-field (p < 0.001) conditions, respectively. The tomato yields achieved using sole BSFFF were significantly (p < 0.001) higher than those where BSG (58–75%) and Evergrow (63–71%) were applied.
Figure 1

Effect of composted BSF frass fertilizer, conventionally composted BSG, and commercial organic and inorganic fertilizer on the yield of tomatoes (A,B), kales (C,D), and French beans (E,F) under greenhouse (A,C,E) and open-field (B,D,F) conditions. BSFFF, black soldier fly frass organic fertilizer applied at sole rate equivalent to 371 kg N ha−1; BSG, conventional compost from brewer's spent grain applied at sole rate equivalent to 371 kg N ha−1; NPK, commercial mineral fertilizer applied at sole rate equivalent to 371 kg N ha−1; Evergrow, commercial organic fertilizer applied at sole rate equivalent to 371 kg N ha−1; BSFFF + NPK, combined application of BSFFF and NPK so that each supplies 185.5 kg N ha−1; BSG + NPK, combined BSG compost and NPK so that each supplies 185.5 kg N ha−1, control, unfertilized soil. Per panel, means (±SE) followed by the same letters are not significantly different for α = 0.05.
Kales
The yield of kale plants grown using different fertilizer treatments varied significantly during experiments (greenhouse: p < 0.001, open field: p < 0.001). Kales grown using fertilizer treatments yielded significantly higher than those grown on unfertilized soil (Figures 1C,D). Amendment with BSFFF + NPK fertilizer produced significantly (p < 0.001) higher than those of BSG and Evergrow under both greenhouse and open-field conditions, and BSFFF and NPK during greenhouse experiments. During the greenhouse experiments, kale yields from pots treated with BSFFF, NPK, and BSG + NPK were significantly (p < 0.001) higher than that of Evergrow.
French Beans
The pod yields of French beans were significantly influenced by different fertilizer amendments under both greenhouse (p < 0.001) and open-field (p < 0.001) conditions. All fertilizer treatments produced a significantly (p < 0.001) higher French bean yield than the control. Treatment BSFFF + NPK produced significantly (p < 0.001) higher French bean yields than those of other treatments, except BSFFF under both production environments and where BSG + NPK was applied under open-field conditions (Figures 1E,F). The French bean yields achieved using BSFFF and BSG + NPK under greenhouse conditions were significantly (p < 0.001) higher than those of BSG and Evergrow. Furthermore, soil treated with BSFFF, NPK, and BSG + NPK produced significantly (p < 0.001) higher French bean yields under open-field conditions compared to amendment with BSG and Evergrow.
The yields of French beans achieved using BSFFF were 70, 24, and 65% higher than those of BSG, NPK, and Evergrow, respectively, during greenhouse experiments. In addition, soil treated with BSFFF produced 50, 14, and 52% higher French bean yields than BSG, NPK, and Evergrow, respectively, during open-field experiments. Amendment with BSFFF + NPK produced 31% higher yield than BSG + NPK under greenhouse conditions. Likewise, French bean yield obtained using BSFFF + NPK was 50 and 38% higher than those achieved using NPK during greenhouse and open-field experiments, respectively.
Nitrogen Uptake
The fertilizer amendments caused significant variation in the N uptake of tomatoes (p < 0.001), kales (p < 0.001), and French beans (p < 0.001) (Table 6). Crops grown using fertilizer treatments accumulated significantly (p < 0.001) higher N than the control treatment. It was noted that tomatoes and kales grown using BSFFF + NPK accumulated significantly (p < 0.001) higher N than other treatments. The N accumulated by tomatoes and kales grown using BSFFF, NPK, and BSG + NPK was significantly (p < 0.001) higher than those of tomatoes grown in soil amended with BSG or Evergrow.
Table 6
| Parameter | Fertilizer treatment | Tomatoes | Kales | French beans |
|---|---|---|---|---|
| Nitrogen uptake (kg N ha−1) | BSFFF | 45.6 ± 7.14b | 254.2 ± 30.89b | 97.5 ± 11.82b |
| BSG | 17.6 ± 4.12cd | 164.7 ± 7.75c | 57.4 ± 2.39c | |
| NPK | 41.9 ± 4.68b | 255.8 ± 12.13b | 107.7 ± 7.63b | |
| Evergrow | 23.7 ± 5.9c | 160.9 ± 5.23c | 55.9 ± 3.01c | |
| BSFFF + NPK | 65.9 ± 3.33a | 376.3 ± 13.61a | 160.4 ± 15.48a | |
| BSG + NPK | 47.2 ± 7.14b | 295.3 ± 32.95b | 137.9 ± 10.04a | |
| Control | 3.8 ± 0.65d | 43.1 ± 7.96d | 7.9 ± 1.29d | |
| Agronomic nitrogen use efficiency (kg kg−1 N) | BSFFF | 118.4 ± 10.26b | 55.7 ± 5.38a | 23.8 ± 3.17ab |
| BSG | 60.5 ± 11.05c | 30.6 ± 3.67b | 15 ± 1.81c | |
| NPK | 114.6 ± 10.64b | 53.6 ± 6.22a | 20.7 ± 1.39bc | |
| Evergrow | 57.4 ± 10.14c | 29.6 ± 4.03b | 14.6 ± 1.93c | |
| BSFFF + NPK | 187.6 ± 10.16a | 69.4 ± 2.9a | 29.7 ± 2.23a | |
| BSG + NPK | 125.4 ± 10.89b | 59.4 ± 4.74a | 26.2 ± 2.56ab |
Nitrogen uptake and agronomic nitrogen use efficiency of tomatoes, kales, and French beans grown using composted BSF frass, conventionally composted BSG, and commercial fertilizers.
BSFFF, black soldier fly frass organic fertilizer applied at sole rate equivalent to 371 kg N ha−1; BSG, conventional compost from brewer's spent grain applied at sole rate equivalent to 371 kg N ha−1; NPK, commercial mineral fertilizer applied at sole rate equivalent to 371 kg N ha−1; Evergrow, commercial organic fertilizer applied at sole rate equivalent to 371 kg N ha−1; BSFFF + NPK, combined application of BSFFF and NPK so that each supplies 185.5 kg N ha−1; BSG + NPK, combined BSG compost and NPK so that each supplies 185.5 kg N ha−1, control, unfertilized soil. Within the same column and per parameter, means (±SE) followed by the same letters are not significantly different for α = 0.05.
Use of sole BSFFF increased N uptake in tomatoes by 91 and 161% compared to where Evergrow or BSG were applied, respectively (Table 6). In addition, tomatoes grown using BSFFF + NPK accumulated 40, 44, and 58% higher N than where BSG + NPK, BSFFF, and NPK were applied, respectively. The N accumulated in kales grown using BSFFF was 54 and 59% higher than those accumulated by BSG and Evergrow, respectively. Amendment with BSFFF + NPK increased the N uptake of kales by 47 and 27% compared to NPK and BSG + NPK, respectively.
The French beans grown using BSFFF + NPK or BSG + NPK accumulated significantly (p < 0.001) higher N than other treatments (Table 6). Similarly, soil amendment with BSFFF or NPK caused significantly higher N accumulation in French beans than where BSG and Evergrow were applied. However, the N accumulated in French beans grown using BSFFF + NPK was 49% higher than that of the crops grown in soil amended with NPK. Furthermore, soil treated with BSFFF produced French beans with 70 and 75% higher N uptake than where BSG and Evergrow were applied, respectively.
Agronomic N Use Efficiency
There were significant (p < 0.001) differences in the AEN of tomatoes, kales, and French beans grown using various fertilizer treatments (Table 6). Tomatoes grown in soil amended with either BSFFF + NPK or BSG + NPK achieved significantly (p < 0.001) higher AEN values than other treatments. In addition, the AEN of tomatoes grown using BSFFF and NPK were significantly (p < 0.001) higher than those of BSG and Evergrow treatments. Similarly, amendment with BSFFF increased the AEN of tomatoes by 96 and 106% compared to where BSG and Evergrow were applied, respectively.
The AEN of kales grown using Evergrow and BSG compost was significantly (p < 0.001) lower than those of other treatments (Table 6). Amendment with combined BSFFF + NPK produced tomatoes with the highest AEN, which was 29% higher than that achieved using NPK. Furthermore, the AEN kales grown in soil treated with sole BSF frass were 82 and 89% higher than those of kales grown using BSG and Evergrow fertilizers, respectively. It was noted that French beans grown in soil treated with BSFFF + NPK had the highest AEN, which was two times higher (p < 0.001) than those of French beans grown using BSG and Evergrow. Likewise, the application of BSFFF and BSG + NPK produced French beans with significantly (p < 0.001) higher AEN values than where BSG and Evergrow were applied.
Nutritional Quality of Vegetables Grown Using Different Fertilizers
Tomatoes
The different fertilizer treatments caused significant differences in the ash (p < 0.001), crude fat (p < 0.001), crude protein (p < 0.001), crude fiber (p < 0.001), and carbohydrate (p < 0.001) concentrations of tomatoes (Table 7). Amendment with BSFFF + NPK produced tomatoes with the highest crude protein, significantly higher (p < 0.001) than that of tomatoes grown using BSG. In addition, amendment with BSFFF achieved significantly higher crude protein in tomatoes than where BSG was applied. Furthermore, the highest ash concentration was recorded in tomatoes grown using BSFFF + NPK, and this was significantly (p < 0.001) higher than those of BSG and Evergrow.
Table 7
| Crop | Fertilizer treatment | Ash | Crude fat | Crude protein | Crude fiber | Carbohydrates |
|---|---|---|---|---|---|---|
| (%) | ||||||
| Tomatoes | BSFFF | 0.41 ± 0.3ab | 0.23 ± 0.01cd | 1.19 ± 0.08a | 1.26 ± 0.06c | 4.7 ± 0.70bc |
| BSG | 0.23 ± 0.04cd | 0.19 ± 0.02cd | 0.71 ± 0.10b | 1.61 ± 0.05a | 5.3 ± 0.56b | |
| NPK | 0.45 ± 0.04a | 0.28 ± 0.03c | 1.13 ± 0.04a | 1.36 ± 0.07bc | 2.9 ± 0.36c | |
| Evergrow | 0.32 ± 0.02bc | 0.12 ± 0.02d | 0.98 ± 0.13a | 1.63 ± 0.05a | 4.6 ± 0.63bc | |
| BSFFF + NPK | 0.48 ± 0.04a | 0.37 ± 0.04b | 1.22 ± 0.08a | 1.40 ± 0.06bc | 3.9 ± 0.38bc | |
| BSG + NPK | 0.53 ± 0.05a | 0.49 ± 0.05a | 1.18 ± 0.08a | 1.52 ± 0.07ab | 3.0 ± 0.56c | |
| Control | 0.17 ± 0.01d | 0.15 ± 0.02d | 0.42 ± 0.06c | 1.32 ± 0.04c | 6.9 ± 0.48a | |
| Kales | BSFFF | 10.5 ± 1.10a | 3.9 ± 0.11a | 13.2 ± 1.08a | 12.1 ± 0.47a | 47.4 ± 2.78b |
| BSG | 5.7 ± 0.38b | 3.9 ± 0.15a | 12.8 ± 1.14a | 11.2 ± 0.37a | 54.3 ± 1.89b | |
| NPK | 10.1 ± 1.01a | 3.9 ± 0.19a | 14.0 ± 1.23a | 12.3 ± 0.34a | 47.0 ± 3.23b | |
| Evergrow | 6.2 ± 0.31b | 3.5 ± 0.23a | 12.4 ± 0.20a | 11.9 ± 0.48a | 53.1 ± 1.00b | |
| BBSFFF + NPK | 9.8 ± 1.01a | 3.6 ± 0.13a | 16.7 ± 0.54a | 11.2 ± 0.49a | 45.4 ± 2.22b | |
| BSG + NPK | 9.7 ± 1.07a | 3.7 ± 0.18a | 14.6 ± 1.27a | 12.1 ± 0.42a | 46.2 ± 3.00b | |
| Control | 4.1 ± 0.31b | 2.4 ± 0.16b | 7.4 ± 1.20b | 10.9 ± 0.41a | 65.2 ± 1.61a | |
| French beans | BSFFF | 7.2 ± 0.24ab | 1.5 ± 0.14bc | 15.1 ± 0.85b | 13.3 ± 1.10ab | 49.8 ± 1.64bc |
| BSG | 5.0 ± 0.20c | 1.1 ± 0.26cd | 13.5 ± 0.69bc | 14.6 ± 0.86a | 54.6 ± 0.68b | |
| NPK | 7.7 ± 0.76ab | 1.7 ± 0.06bc | 18.9 ± 0.74a | 13.3 ± 0.91ab | 45.9 ± 2.27cd | |
| Evergrow | 5.6 ± 0.18bc | 1.5 ± 0.18bc | 13.7 ± 0.99bc | 13.4 ± 1.08ab | 55.8 ± 2.06b | |
| BSFFF + NPK | 9.1 ± 1.08a | 2.4 ± 0.20a | 20.4 ± 1.03a | 14.3 ± 0.63a | 40.8 ± 0.90d | |
| BSG + NPK | 8.6 ± 0.51a | 2.0 ± 0.19ab | 19.9 ± 0.81a | 15.9 ± 1.13a | 40.9 ± 2.65d | |
| Control | 4.6 ± 0.60c | 0.8 ± 0.10d | 11.2 ± 0.63c | 9.7 ± 0.61b | 62.5 ± 1.16a | |
Influence of composted BSF frass, conventionally composted BSG, and commercial fertilizers on the nutritional quality of tomatoes, kales, and French beans.
BSFFF, black soldier fly frass organic fertilizer applied at sole rate equivalent to 371 kg N ha−1; BSG, conventional compost from brewer's spent grain applied at sole rate equivalent to 371 kg N ha−1; NPK, commercial mineral fertilizer applied at sole rate equivalent to 371 kg N ha−1; Evergrow, commercial organic fertilizer applied at sole rate equivalent to 371 kg N ha−1; BSFFF + NPK, combined application of BSFFF and NPK so that each supplies 185.5 kg N ha−1; BSG + NPK, combined BSG compost and NPK so that each supplies 185.5 kg N ha−1, control, unfertilized soil. Within the same column and per parameter, means (±SE) followed by the same letters are not significantly different for α = 0.05.
Tomatoes grown using BSG + NPK had significantly (p < 0.001) higher crude fat concentration than other treatments (Table 7). Furthermore, amendment with BSFFF or NPK-produced tomatoes with the significantly (p < 0.001) higher crude fat concentration than other treatments, except combined BSFFF + NPK. The crude fat concentration of tomatoes harvested from plots amended with NPK was significantly (p < 0.001) higher than those of tomatoes grown using BSFFF, BSG, and Evergrow. Tomatoes grown using Evergrow, BSG, and BSG + NPK achieved significantly (p < 0.001) higher crude fiber concentrations than other treatments. The carbohydrate concentration of tomatoes grown using unfertilized soil (control) was significantly (p < 0.001) higher than those of other treatments.
Kales
The ash (p < 0.001), crude fat (p < 0.001), crude protein (p < 0.001), and carbohydrate (p < 0.001) concentrations of kales also varied significantly due to different fertilizer amendments (Table 7). The ash concentration recorded in kales grown using BSFFF, and this was significantly (p < 0.001) higher than those of kales grown using BSG, Evergrow, and the control treatment. The crude fat concentrations of kales grown in fertilizer-treated soils were significantly (p < 0.001) higher than that of kale grown using unfertilized soil.
Amendment with fertilizers produced kales with significantly (p < 0.001) higher crude fat and crude protein concentrations than the control treatment (Table 7). Amendment with BSFFF + NPK doubled the crude protein concentration of kales compared to the control. However, there were no significant differences in the crude protein concentrations of kales grown using different fertilizer treatments. Moreover, the crude fiber concentration of kales did not vary significantly during experiments. The control treatment produced kales with significantly (p < 0.001) higher carbohydrate concentration than other treatments.
French Beans
The ash (p < 0.001), crude fat (p < 0.001), crude protein (p < 0.001), crude fiber, and carbohydrate (p < 0.001) concentrations of French beans grown using different fertilizer amendments varied significantly (Table 7). The highest ash concentration of French beans grown using BSFFF + NPK was significantly (p < 0.001) higher than those of BSG, Evergrow, and control treatments. In addition, soil amended with BSFFF produced French beans with significantly (p < 0.001) higher ash concentrations than the control and BSG. Furthermore, the crude fat concentration of French beans grown using BSFFF + NPK was significantly (p < 0.001) higher than those of other treatments, except where BSG + NPK was applied.
The crude protein of French beans produced using BSFFF + NPK, BSG + NPK, NPK, and BSFFF were significantly (p < 0.001) higher than those achieved using the control treatment by 82, 78, 69, and 35%, respectively (Table 7). Moreover, amendment with BSFFF + NPK, BSG + NPK, and NPK produced French beans with significantly (p < 0.001) higher crude protein concentrations than other treatments. The crude fiber concentrations of French beans grown in soil treated with BSFFF + NPK, BSG + NPK, and BSG were significantly (p < 0.001) higher than that achieved using the control treatment.
The carbohydrate concentration of French harvested from the unfertilized soil was significantly (p < 0.001) higher than those of other treatments (Table 7). Furthermore, soil treatment with BSG and Evergrow fertilizers produced French beans with significantly (p < 0.001) higher carbohydrate concentration than where NPK, BSFFF + NPK, and BSG + NPK were applied. The carbohydrate concentration of French beans treated with BSFFF or BSG was significantly (p < 0.001) higher than those of French beans grown using BSFFF + NPK and BSG + NPK.
Multivariate Analysis of Vegetable Growth, Yield, and Nutritional Quality
The PCA revealed that the growth, yield, and nutritional quality of the three vegetables were significantly affected by fertilizer amendments (Figure 2). For tomatoes, the first two components of PCA explained 78.8% of the total data variance with PC 1 and PC 2 accounting for 66.8 and 12.0%, respectively (Figure 2A). It was noted that tomato height, number of leaves, stem diameter, and N uptake were positively correlated, whereas tomato yield, crude protein, ash concentration, and crude fat were negatively correlated. However, carbohydrates and crude fiber were negatively correlated with the rest of the parameters.
Figure 2

Biplot graphs based on the PC analysis of parameters that measure (A) tomato, (B) kale and (C) French bean growth, yield, and nutritional quality as a function of the different fertilizer treatments. BSFFF, black soldier fly frass organic fertilizer applied at sole rate equivalent to 371 kg N ha−1; BSG, conventional compost from brewer's spent grain applied at sole rate equivalent to 371 kg N ha−1; NPK, commercial mineral fertilizer applied at sole rate equivalent to 371 kg N ha−1; Evergrow, commercial organic fertilizer applied at sole rate equivalent to 371 kg N ha−1; BSFFF + NPK, combined application of BSFFF and NPK so that each supplies 185.5 kg N ha−1; BSG + NPK, combined BSG compost and NPK so that each supplies 185.5 kg N ha−1, control, unfertilized soil.
The first two components of the PCA explained 82.6% of the total variance in kale growth, yield, and nutritional quality, whereby PC 1 accounted for 71% and PC 2 accounted for 12.6% of the total variance (Figure 2B). The kale height, stem diameter, number of leaves, N uptake, and yield were positively correlated. The crude protein, ash, crude fat, and crude fiber were positively correlated in PC 1. For French beans, first two components of PCA explained 83% of the total variance, PC 1 and PC 2 accounted for 75.3 and 7.7% of the total variance, respectively (Figure 2C). The French bean yield, N uptake, stem diameter, number of leaves, and crude fat were positively correlated. However, crude protein, crude fiber, and ash were negatively correlated. For both kales (Figure 2B) and French beans (Figure 2C), it was noted that carbohydrate concentration was negatively correlated with the rest of the parameters.
Discussion
Most research efforts on vegetable production in SSA have focused on the reduction of pest and disease pressure, weeds, and the mitigation of climatic hazards such as excessive solar irradiation, rain, and wind, using physical protection (Nordey et al., 2017). However, little has been done to develop cost-effective and environmentally friendly and sustainable fertilizer products for improving vegetable growth and yield. The higher growth, yield, and nutritional quality of three vegetables grown using fertilizers compared to unfertilized soil, indicate high levels of nutrient depletion in the experimental soils (Table 1) and in most regions of SSA (Gachimbi et al., 2005; Nkonya et al., 2008; Tully et al., 2015; Wortmann et al., 2019). The current study provides evidence on the high efficiency of composted BSF frass as fertilizer for improving the growth, yield, and nutritional quality of vegetable crops.
The composted BSF frass and its combination with NPK fertilizer performed better than other treatments on increasing the height, leaf growth, and stem diameter of tomatoes, kales, and French beans (Figure 1). The higher growth rate and yield associated with vegetables grown using BSFFF could also be attributed to its high maturity and stability as indicated by parameters such as the lower C/N ratio (11) and high germination index (86%) (Table 2). Findings from this study are in line with Beesigamukama et al. (2020a, 2021) who reported the absence of phytotoxicity in composted BSF frass as organic fertilizer. Therefore, the increased vegetable growth, N uptake in vegetables grown using BSFFF compared to the conventional compost, and commercial organic and mineral fertilizers could be attributed to better supply and availability of nutrients from the newly introduced frass fertilizer (Beesigamukama et al., 2020b). Furthermore, the high release of nutrients resulting from the high mineralization rate of BSFFF (Adin Yéton et al., 2019) might have partly contributed to better synchrony of nutrient supply for vegetables and high yields.
The higher vegetable growth, yield, and nutritional quality achieved using a combination of BSF frass and NPK could be attributed to the synergistic and complementary effects of organic and inorganic fertilizers on crop growth and yield have been reported previously (Boateng et al., 2009; Nsoanya and Nweke, 2015; Islam et al., 2017; Musyoka et al., 2017). The current study agrees with earlier findings of Islam et al. (2017) who reported that the combined use of organic and inorganic fertilizer increases the growth and yield of tomatoes.
The low growth rate and yields associated with the conventional compost (BSG) could be due to moderate phytotoxicity as indicated by the low seed germination index (Table 2). The lower growth rate observed in soils treated with conventional compost (BSG) and commercial organic fertilizer (Evergrow) could have been caused by the higher C/N ratios associated with these organic fertilizers (Table 2). Our findings agree with those of Beesigamukama et al. (2020b) and Palomba (2016) who reported higher crop yields and faster nutrient release while using organic fertilizers with low C/N ratios. The higher vegetable yields achieved under greenhouse than open-field conditions could be largely attributed to the presence of ideal conditions for plant growth (water, temperature, minimal loss of nutrients, and absence of pests and diseases) provided by the greenhouse environment.
The higher crude protein, fat, fiber, and ash concentrations achieved using composted BSF frass as fertilizer indicate that in addition to enhancing vegetable yields, the BSFFF is effective in increasing the nutritional quality of vegetable crops. The higher crude protein, fat, fiber, and ash concentrations achieved using BSFFF (Table 7, Figure 2) are comparable to values reported in previous studies (van der Lans et al., 2012; Chakwizira et al., 2015; Dunsin et al., 2016; Mukta et al., 2016; Meena et al., 2018; Yoder and Davis, 2020) and could be attributed to the high uptake of N (Table 6) and other nutrients by crops grown using this organic fertilizer (Beesigamukama et al., 2020b; Menino et al., 2021). Information on the nutritional quality of vegetable crops grown using BSFFF is still scarce. Therefore, the current study acts as a benchmark for future research efforts.
Conclusion
This study provides clear evidence that soil amendment with composted BSF frass as an organic fertilizer has the potential to create favorable soil conditions for vegetable cultivation leading to improved performance. Sole application of composted BSF as organic fertilizer or its integration with NPK fertilizer boosts the growth, yield, and nutritional quality similarly or better than the commercial organic and mineral fertilizers. Therefore, the application rate of 2.5 t ha−1 BSFFF or combined application of 1.24 t ha−1 BSF-composted organic fertilizer with 322 kg ha−1 of NPK is recommended for improving the production of tomatoes, kales, and French beans. Adoption of high-quality fertilizer products, such as the BSF-composted organic fertilizer, would reduce the use of expensive mineral fertilizers and consequently lessen the associated burden of environmental pollution. More field experiments should be carried out in different agroecological zones for a wider application of the current research findings.
Statements
Data availability statement
The original contributions presented in the study are included in the article/supplementary material, further inquiries can be directed to the corresponding author/s.
Author contributions
AA, NK, and CT: conceptualization. AA, NK, DB, and CT: data curation, formal analysis, and methodology. JL, MD, and CT: funding acquisition. AA, NK, DB, KN, and CT: investigation. CT: project administration. NK, KN, and CT: resources. AA, DB, and CT: software, validation, and visualization. NK and CT: supervision. AA, GC, DB, and CT: writing and original draft preparation. AA, NK, JL, MD, DB, KN, GC, SS, and CT: writing—review and editing. All authors contributed to the article and approved the submitted version.
Funding
Financial support for this research was provided by the Norwegian Agency for Development Cooperation, the Section for research, innovation, and higher education grant number RAF-3058 KEN-18/0005 (CAP-Africa), Netherlands Organization for Scientific Research, WOTRO Science for Global Development (NWO-WOTRO) (ILIPA—W 08.250.202), Canadian International Development Research Centre (IDRC) and the Australian Centre for International Agricultural Research (ACIAR) (INSFEED—Phase 2: Cultivate Grant No: 108866-001), and the Rockefeller Foundation (SiPFeed—Grant No: 2018 FOD 009). We also gratefully acknowledge the support of International Centre of Insect Physiology and Ecology (icipe) core funding provided by United Kingdom's Foreign, Commonwealth and Development Office (FCDO); the Swedish International Development Cooperation Agency (Sida); the Swiss Agency for Development and Cooperation (SDC); the Federal Democratic Republic of Ethiopia; and the Government of the Republic of Kenya. The funders had no role in study design, data collection and analysis, decision to publish, or preparation of the manuscript.
Acknowledgments
The authors would like to thank all the project technicians: Nyamu Faith, Ondiaka Shem, Rachami Isaiah, Wambua Joshua, and Raphael Kioko at icipe and Kenyatta University farm management for providing support during experiments.
Conflict of interest
The authors declare that the research was conducted in the absence of any commercial or financial relationships that could be construed as a potential conflict of interest.
References
1
Adin Yéton B. G. Aliou S. Noël O. Guillaume L. A. Attanda M. I. Victor A. C. et al . (2019). Decomposition and nutrient release pattern of agro-processing by-products biodegraded by fly larvae in Acrisols. Arch. Agron. Soil Sci. 65, 1610–1621. 10.1080/03650340.2019.1572118
2
Alfaro M. Salazar F. Iraira S. Teuber N. Villarroel D. Ramírez L. (2008). Nitrogen, phosphorus and potassium losses in a grazing system with different stocking rates in a volcanic soil. Chil. J. Agric. Res. 68, 146–155. 10.4067/S0718-58392008000200004
3
Amao I. (2020). Urban Horticulture in Sub-Saharan Africa. Intechopen1–15. 10.5772/intechopen.90722. [Epub ahead of print].
4
Association of Official Analytical Chemists (1990). Official Methods of Analysis of the AOAC International, Vol. 2. Arlington, TX: Association of Official Analytical Chemists Inc.
5
Baligar V. C. Fageria N. K. He Z. L. (2001). Nutrient use efficiency in plants. Commun. Soil Sci. Plant Anal. 32, 921–950. 10.1081/CSS-100104098
6
Beesigamukama D. Mochoge B. Korir N. Musyoka M. W. Fiaboe K. K. M. Nakimbugwe D. et al . (2020c). Nitrogen fertilizer equivalence of black soldier fly frass fertilizer and synchrony of nitrogen mineralization for maize production. Agronomy10, 1–9. 10.3390/agronomy10091395
7
Beesigamukama D. Mochoge B. Korir N. K. Fiaboe K. K. M. Nakimbugwe D. Khamis F. M. et al . (2020a). Biochar and gypsum amendment of agro-industrial waste for enhanced black soldier fly larval biomass and quality frass fertilizer. PLoS ONE15:e0238154. 10.1371/journal.pone.0238154
8
Beesigamukama D. Mochoge B. Korir N. K. Fiaboe K. K. M. Nakimbugwe D. Khamis F. M. et al . (2020b). Exploring black soldier fly frass as novel fertilizer for improved growth, yield, and nitrogen use effi ciency of maize under field conditions. Front. Plant Sci. 11:574592. 10.3389/fpls.2020.574592
9
Beesigamukama D. Mochoge B. Korir N. K. K. M. Fiaboe K. Nakimbugwe D. et al . (2021). Low-cost technology for recycling agro-industrial waste into nutrient-rich organic fertilizer using black soldier fly. Waste Manag. 119, 183–194. 10.1016/j.wasman.2020.09.043
10
Bernal M. P. Alburquerque J. A. Moral R. (2009). Composting of animal manures and chemical criteria for compost maturity assessment. A review. Bioresour. Technol. 100, 5444–5453. 10.1016/j.biortech.2008.11.027
11
Boateng S. Zickermann J. Kornahrens M. (2009). Poultry manure effect on growth and yield of maize. West African J. Appl. Ecol. 9, 1–11. 10.4314/wajae.v9i1.45682
12
Capanoglu E. Beekwilder J. Boyacioglu D. De Vos R. C. H. Hall R. D. (2010). The effect of industrial food processing on potentially health-beneficial tomato antioxidants. Crit. Rev. Food Sci. Nutr. 50, 919–930. 10.1080/10408390903001503
13
Celmeli T. Sari H. Canci H. Sari D. Adak A. Eker T. et al . (2018). The nutritional content of common bean (Phaseolus vulgaris L.) landraces in comparison to modern varieties. Agronomy8:166. 10.3390/agronomy8090166
14
Cernansk R. (2015). Super vegetables. Nature522:146. 10.1038/522146a
15
Chakwizira E. De Ruiter J. M. Maley S. (2015). Effects of nitrogen fertiliser application rate on nitrogen partitioning, nitrogen use efficiency and nutritive value of forage kale. New Zeal. J. Agric. Res. 58, 259–270. 10.1080/00288233.2015.1016538
16
Chen L. Marti M. D. H. Moore A. Falen C. (2009). The Composting Process. Idaho: Univ. Idaho Ext.
17
Choi S. Hassanzadeh N. (2019). BSFL frass: a novel biofertilizer for improving plant health while minimizing environmental impact. Can. Sci. Affair J. 2, 41–46. 10.18192/csfj.v2i220194146
18
Cobo J. G. Dercon G. Cadisch G. (2010). Nutrient balances in African land use systems across different spatial scales: a review of approaches, challenges and progress. Agric. Ecosyst. Environ. 136, 1–15. 10.1016/j.agee.2009.11.006
19
Diener S. Studt Solano N. M. Roa Gutiérrez F. Zurbrügg C. Tockner K. (2011). Biological treatment of municipal organic waste using black soldier fly larvae. Waste Biomass Valori.2, 357–363. 10.1007/s12649-011-9079-1
20
Dorais M. Ehret D. L. Papadopoulos A. P. (2008). Tomato (Solanum lycopersicum) health components: from the seed to the consumer. Phytochem. Rev. 7, 231–250. 10.1007/s11101-007-9085-x
21
Dunsin O. Agbaje G. Olasekan A. A. (2016). Effect of biochar and NPK fertilizer on growth, biomass yield and nutritional quality of kale (Brassica Oleracea) in a derived Agro-Ecological Zone of Nigeria. PAT. 12, 135–141.
22
Ebert A. W. (2020). Security and vegetable breeding. Plants9, 1–20. 10.3390/plants9060736
23
Elhag O. Zhou D. Song Q. Soomro A. A. Cai M. Zheng L. et al . (2017). Screening, expression, purification and functional characterization of novel antimicrobial peptide genes from hermetia illucens (L.). PLoS ONE 12:e0169582. 10.1371/journal.pone.0169582
24
Emino E. R. Warman P. R. (2004). Biological assay for compost quality. Compost Sci. Util. 12, 342–348. 10.1080/1065657X.2004.10702203
25
Erickson M. C. Islam M. Sheppard C. Liao J. Doyle M. P. (2004). Reduction of Escherichia coli O157:H7 and Salmonella enterica serovar Enteritidis in chicken manure by larvae of the black soldier fly. J. Food Prot. 67, 685–690. 10.4315/0362-028X-67.4.685
26
FAO (2017). The State of Food and Agriculture. Leveraging Food Systems for Inclusive Rural Transformation (Rome: FAO publishing group). 10.2307/2938399
27
Frank S. M. Webster J. McKenzie B. Geldsetzer P. Manne-Goehler J. Andall-Brereton G. et al . (2019). Consumption of fruits and vegetables among individuals 15 years and older in 28 low- And middle-income countries. J. Nutr. 149, 1252–1259. 10.1093/jn/nxz040
28
Gachene C. Kimaru G. (2003). Soil Fertility and Land Productivity: A Guide for Extension Workers in the Eastern Africa Region (Nairobi: English Press Limited).
29
Gachimbi L. N. van Keulen H. Thuranira E. G. Karuku A. M. de Jager A. Nguluu S. et al . (2005). Nutrient balances at farm level in Machakos (Kenya), using a participatory nutrient monitoring (NUTMON) approach. Land Use Policy22, 13–22. 10.1016/j.landusepol.2003.07.002
30
Houben D. Daoulas G. Faucon M. P. Dulaurent A. M. (2020). Potential use of mealworm frass as a fertilizer: impact on crop growth and soil properties. Sci. Rep. 10:4659. 10.1038/s41598-020-61765-x
31
Islam M. Islam S. Akter A. Rahman M. Nandwani D. (2017). Effect of organic and inorganic fertilizers on soil properties and the growth, yield and quality of tomato in Mymensingh, Bangladesh. Agriculture7:18. 10.3390/agriculture7040031
32
Kagata H. Ohgushi T. (2012). Positive and negative impacts of insect frass quality on soil nitrogen availability and plant growth. Popul. Ecol. 54, 75–82. 10.1007/s10144-011-0281-6
33
Keino L. Baijukya F. Ng'etich W. Otinga A. N. Okalebo J. R. Njoroge R. et al . (2015). Nutrients limiting soybean (glycine max l) growth in acrisols and ferralsols of Western Kenya. PLoS ONE10:e0145202. 10.1371/journal.pone.0145202
34
Lalander C. Senecal J. Gros Calvo M. Ahrens L. Josefsson S. Wiberg K. et al . (2016). Fate of pharmaceuticals and pesticides in fly larvae composting. Sci. Total Environ. 565, 279–286. 10.1016/j.scitotenv.2016.04.147
35
Lalander C. H. Fidjeland J. Diener S. Eriksson S. Vinnerås B. (2015). High waste-to-biomass conversion and efficient Salmonella spp. reduction using black soldier fly for waste recycling. Agron. Sustain. Dev. 35, 261–271. 10.1007/s13593-014-0235-4
36
Mantovani J. R. Carrera M. Moreira J. L. A. Marques D. J. Da Silva A. B. (2017). Fertility properties and leafy vegetable production in soils fertilized with cattle manure. Rev. Caatinga30, 825–836. 10.1590/1983-21252017v30n402rc
37
Meena J. K. Ram R. B. Meena M. L. (2018). Studies on bio-fertilizers on yield and quality traits of French bean (Phaseolus vulgaris L.) cultivars under Lucknow condition. J. Pharmacogn. Phytochem. 7, 1571–1574.
38
Menino R. Felizes F. Castelo-Branco M. A. Fareleira P. Moreira O. Nunes R. et al . (2021). Agricultural value of black soldier fly larvae frass as organic fertilizer on ryegrass. Heliyon7:e05855. 10.1016/j.heliyon.2020.e05855
39
Messina V. (2014). Nutritional and health benefits of dried beans. Am. J. Clin. Nutr.100, 437S–442S. 10.3945/ajcn.113.071472
40
Migliozzi M. Thavarajah D. Thavarajah P. Smith P. (2015). Lentil and kale: complementary nutrient-rich whole food sources to combat micronutrient and calorie malnutrition. Nutrients7, 9285–9298. 10.3390/nu7115471
41
Minten B. Mohammed B. Tamru S. (2020). Emerging medium-scale tenant farming, gig economies, and the COVID-19 disruption: the case of commercial vegetable clusters in ethiopia. Eur. J. Dev. Res. 32, 1402–1429. 10.1057/s41287-020-00315-7
42
Mukta S. Rahman M. Mortuza M. (2016). Yield and nutrient content of tomato as influenced by the application of vermicompost and chemical fertilizers. J. Environ. Sci. Nat. Resour. 8, 115–122. 10.3329/jesnr.v8i2.26877
43
Musyoka M. W. Adamtey N. Muriuki A. W. Cadisch G. (2017). Effect of organic and conventional farming systems on nitrogen use efficiency of potato, maize and vegetables in the Central highlands of Kenya. Eur. J. Agron. 86, 24–36. 10.1016/j.eja.2017.02.005
44
Ndambi O. A. Pelster D. E. Owino J. O. de Buisonjé F. Vellinga T. (2019). Manure management practices and policies in Sub-Saharan Africa: implications on manure quality as a fertilizer. Front. Sustain. Food Syst. 3, 1–14. 10.3389/fsufs.2019.00029
45
Nkonya E. Pender J. Kaizzi K. Kato E. Mugarura S. Ssali H. et al . (2008). Linkages Between Land Management, Land Degradation, and Poverty in Sub-Saharan Africa: The Case of Uganda.
46
Nordey T. Basset-Mens C. De Bon H. Martin T. Déletr,é E. Simon S. et al . (2017). Protected cultivation of vegetable crops in sub-Saharan Africa: limits and prospects for smallholders. A review. Agron. Sustain. Dev. 37:53. 10.1007/s13593-017-0460-8
47
Nsoanya L. N. Nweke I. A. (2015). Effect of integrated use of spent grain and NPK (20 : 10 : 10) fertilizer on soil chemical properties and maize (Zea Mays L) growth. Int. J. Res. Agric. For. 2, 14–19.
48
Okalebo J. R. Gathua K. W. Woomer P. L. (2002). Laboratory Methods of Soil and Plant Analysis: A Working Manual, 2nd Edn. Nairobi: TSBF-CIAT and SACRED Africa.
49
Palomba I. (2016). Effects of C : N Ratio in Cut-and-Carry Green Manure and Nitrogen Application Rate in Organic Potato Production (M.Sc. thesis). Wageningen University Netherlands, Wageningen.
50
Poveda J. Jiménez-Gómez A. Saati-Santamaría Z. Usategui-Martín R. Rivas R. García-Fraile P. (2019). Mealworm frass as a potential biofertilizer and abiotic stress tolerance-inductor in plants. Appl. Soil Ecol. 142, 110–122. 10.1016/j.apsoil.2019.04.016
51
Quilliam R. S. Nuku-Adeku C. Maquart P. Little D. Newton R. Murray F. (2020). Integrating insect frass biofertilisers into sustainable peri-urban agro-food systems. J. Insects Food Feed6, 315–322. 10.3920/JIFF2019.0049
52
R Core Team (2019). R: A Language and Environment for Statistical Computing. Vienna: R Foundation for Statistical Computing.
53
Richard T. Trautmann N. (1996). C/N Ratio - Cornell Composting [WWW Document]. Available online at: http://compost.css.cornell.edu/calc/cn_ratio.html (accessed May 19, 2019).
54
Rufino M. C. Dury J. Tittonell P. van Wijk M. T. Herrero M. Zingore S. et al . (2011). Competing use of organic resources, village-level interactions between farm types and climate variability in a communal area of NE Zimbabwe. Agric. Syst. 104, 175–190. 10.1016/j.agsy.2010.06.001
55
Strong L. W. (1911). The preparation and use of thrombo-kinase. Laryngoscope21, 81–83. 10.1288/00005537-191102000-00001
56
Tittonell P. Corbeels M. Van Wijk M. T. Vanlauwe B. Giller K. E. (2008a). Combining organic and mineral fertilizers for integrated soil fertility management in smallholder farming systems of Kenya: explorations using the crop-soil model FIELD. Agron. J. 100, 1511–1526. 10.2134/agronj2007.0355
57
Tittonell P. Vanlauwe B. Corbeels M. Giller K. E. (2008b). Yield gaps, nutrient use efficiencies and response to fertilisers by maize across heterogeneous smallholder farms of western Kenya. Plant Soil313, 19–37. 10.1007/s11104-008-9676-3
58
Tully K. Sullivan C. Weil R. Sanchez P. (2015). The state of soil segradation in Sub-Saharan Africa: baselines, trajectories, and solutions. Sustainability7, 6523–6552. 10.3390/su7066523
59
van der Lans C. Snoek H. de Boer F. Elings A. (2012). Vegetable chains in Kenya. Wageningen 88. Available online at: http://library.wur.nl/WebQuery/edepot/216710
60
Van Soest P. J. Robertson J. B. Lewis B. A. (1991). Methods for dietary fiber, neutral detergent fiber, and nonstarch polysaccharides in relation to animal nutrition. J. Dairy Sci. 74, 3583–3597. 10.3168/jds.S0022-0302(91)78551-2
61
Vanlauwe B. Coyne D. Gockowski J. Hauser S. Huising J. Masso C. et al . (2014). Sustainable intensification and the African smallholder farmer. Curr. Opin. Environ. Sustain. 8, 15–22. 10.1016/j.cosust.2014.06.001
62
Vanlauwe B. Descheemaeker K. Giller K. E. Huising J. Merckx R. Nziguheba G. et al . (2015). Integrated soil fertility management in sub-Saharan Africa : unravelling local adaptation. Soil J. 1, 491–508. 10.5194/soil-1-491-2015
63
Venables W. N. Ripley B. D. (2002). Modern Applied Statistics With S, 4th Edn. Heidelberg: Springer-Verlag.
64
Vogel H. Müller A. Heckel D. G. Gutzeit H. Vilcinskas A. (2018). Nutritional immunology: diversification and diet-dependent expression of antimicrobial peptides in the black soldier fly Hermetia illucens. Dev. Comp. Immunol. 78, 141–148. 10.1016/j.dci.2017.09.008
65
Wickham H. (2016). ggplot2: Elegant Graphics for Data Analysis. New York, NY: Springer-Verlag.
66
Wortmann C. S. Kaizzi K. C. Maman N. Cyamweshi A. Dicko M. Garba M. et al . (2019). Diagnosis of crop secondary and micro-nutrient deficiencies in sub-Saharan Africa. Nutr. Cycl. Agroecosystems113, 127–140. 10.1007/s10705-018-09968-7
67
Yoder N. Davis J. G. (2020). Organic fertilizer comparison on growth and nutrient content of three kale cultivars. Horttechnology30, 176–184. 10.21273/HORTTECH04483-19
Summary
Keywords
black soldier fly frass fertilizer, nitrogen uptake, nitrogen use efficiency, nutritional quality, soil health, vegetable productivity
Citation
Anyega AO, Korir NK, Beesigamukama D, Changeh GJ, Nkoba K, Subramanian S, van Loon JJA, Dicke M and Tanga CM (2021) Black Soldier Fly-Composted Organic Fertilizer Enhances Growth, Yield, and Nutrient Quality of Three Key Vegetable Crops in Sub-Saharan Africa. Front. Plant Sci. 12:680312. doi: 10.3389/fpls.2021.680312
Received
14 March 2021
Accepted
03 May 2021
Published
02 June 2021
Volume
12 - 2021
Edited by
Stefania Astolfi, University of Tuscia, Italy
Reviewed by
Daniela Baldantoni, University of Salerno, Italy; Youry Pii, Free University of Bozen-Bolzano, Italy
Updates
Copyright
© 2021 Anyega, Korir, Beesigamukama, Changeh, Nkoba, Subramanian, van Loon, Dicke and Tanga.
This is an open-access article distributed under the terms of the Creative Commons Attribution License (CC BY). The use, distribution or reproduction in other forums is permitted, provided the original author(s) and the copyright owner(s) are credited and that the original publication in this journal is cited, in accordance with accepted academic practice. No use, distribution or reproduction is permitted which does not comply with these terms.
*Correspondence: Chrysantus M. Tanga ctanga@icipe.org
This article was submitted to Plant Nutrition, a section of the journal Frontiers in Plant Science
Disclaimer
All claims expressed in this article are solely those of the authors and do not necessarily represent those of their affiliated organizations, or those of the publisher, the editors and the reviewers. Any product that may be evaluated in this article or claim that may be made by its manufacturer is not guaranteed or endorsed by the publisher.