ORIGINAL RESEARCH article
Front. Plant Sci.
Sec. Plant Systematics and Evolution
This article is part of the Research TopicEvolutionary Adaptations of Plant Genes: A Comprehensive Study of Phylogenomics, Epigenetic Changes, and Protein DynamicsView all 15 articles
Genome-Wide Comprehensive Analysis the Molecular Phylogenetic Evolution, Functional divergence and Tissue-Specific Expression of GH3 Gene Family in Salvia miltiorrhiza, Arabidopsis thaliana, and Oryza sativa
Provisionally accepted- 1College of Life Science, Henan Normal University, Xinxiang, China
- 2East China University of Technology, Nanchang, China
- 3Lingnan Normal University, Zhanjiang, China
Select one of your emails
You have multiple emails registered with Frontiers:
Notify me on publication
Please enter your email address:
If you already have an account, please login
You don't have a Frontiers account ? You can register here
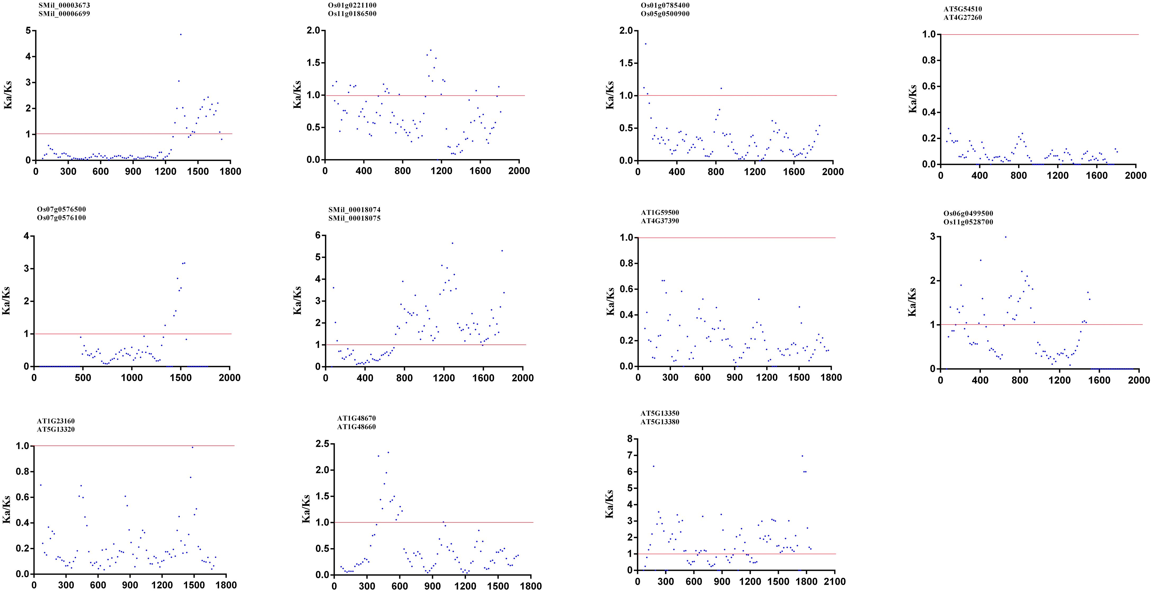
Auxin, as a central phytohormone and signaling molecule, plays a crucial role in plant growth and development. The activity of auxin is tightly regulated by the auxin-responsive GH3 gene family. In this study, a total of 40 GH3 genes in A. thaliana, S. miltiorrhiza, and O. sativa were identified and subjected to comprehensive study. Phylogenetic analysis revealed that those GH3 genes can be classified into three distinct subgroups, with 11 pairs of paralogs identified. Genetic divergence analysis indicated that the GH3 gene family had predominantly experienced purifying selection as evidenced by the Ka/Ks ratio being less than 1 for all 11 paralogs pairs. Positive selection analysis with the site and branch-site models further suggested that SmGH3 AtGH3 and OsGH3 genes had gone through purifying selective pressure for adaptive evolution. Motif analysis indicated that group-specific motifs may contribute to functional divergence across species and subgroups. Functional divergence analysis confirmed that subgroup-specific genes have experienced functional divergence during evolution, and elucidated the molecular mechanisms underlying their divergent functions. The tissue-specific expression analysis of SmGH3 AtGH3 and OsGH3 genes revealed that these genes might perform distinct functions in different tissues. This study performed a comprehensive bioinformatics analysis of the GH3 gene family, offering valuable information to further elucidate the functional roles of GH3 genes.
Keywords: conserved motifs, functional divergence, GH3 gene family, Nonsynonymous and synonymous substitution rate, phylogenetic analysis, positive selection, tissue-specific expression
Received: 11 Jun 2025; Accepted: 27 Oct 2025.
Copyright: © 2025 Wang, Li, Chen and Chen. This is an open-access article distributed under the terms of the Creative Commons Attribution License (CC BY). The use, distribution or reproduction in other forums is permitted, provided the original author(s) or licensor are credited and that the original publication in this journal is cited, in accordance with accepted academic practice. No use, distribution or reproduction is permitted which does not comply with these terms.
* Correspondence: Bin Wang, happywangbin2003@163.com
Disclaimer: All claims expressed in this article are solely those of the authors and do not necessarily represent those of their affiliated organizations, or those of the publisher, the editors and the reviewers. Any product that may be evaluated in this article or claim that may be made by its manufacturer is not guaranteed or endorsed by the publisher.
