ORIGINAL RESEARCH article
Front. Plant Sci.
Sec. Sustainable and Intelligent Phytoprotection
Extracting Ligusticum chuanxiong Hort. cultivation plots based on feature variable combinations constructed from UAV-based RGB images
Provisionally accepted- 1Southwest Minzu University, Chengdu, China
- 2Chengdu University of Traditional Chinese Medicine, Chengdu, China
Select one of your emails
You have multiple emails registered with Frontiers:
Notify me on publication
Please enter your email address:
If you already have an account, please login
You don't have a Frontiers account ? You can register here
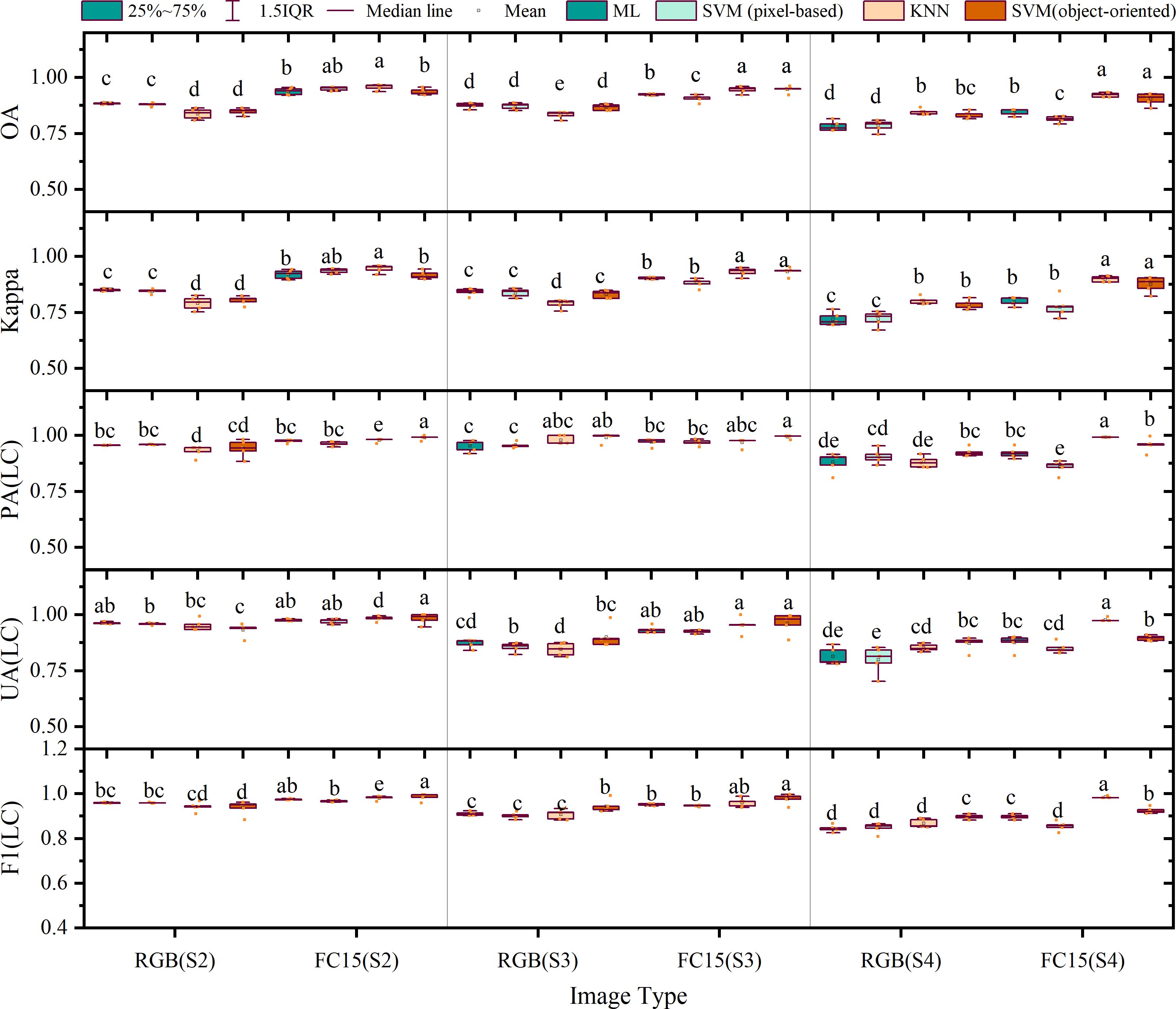
Accurate plots distribution mapping of the renowned Chinese medicinal plant, Ligusticum chuanxiong Hort. (LC) is crucial for its field management and yield estimation. However, due to the high fragmentation of LC cultivation plots, accurate classification using UAV-based RGB remote sensing images is challenging. This study utilized unmanned aerial vehicle RGB images to investigate the high-precision extraction of LC cultivation plots based on feature variable combinations across four representative sites: Site 1 (S1, traditional LC cultivation area in Dujiangyan City), Site 2 (S2, concentrated LC plots in Dujiangyan City), Site 3 (S3, traditional LC cultivation area in Pengzhou City), and Site 4 (S4, newly-developed LC cultivation area in Mianzhu City). Initially, appropriate color indices, texture features, color spaces, and digital elevation models were extracted from RGB images to form feature variable combinations. Subsequently, pixel-based classification and object-oriented classification methods were employed to construct LC cultivation plot extraction models. Compared with classification results based on RGB images, the object-oriented classification method (k-nearest neighbor, KNN) based on feature variable combinations showed the highest overall classification accuracy and Kappa coefficient. The average Kappa coefficients for the classification of S1, S2, S3, and S4 were 0.86, 0.94, 0.93, and 0.90, respectively, while the overall accuracy rates were 89.16%, 95.72%, 94.55%, and 92.25%, respectively. The F1 scores averaged 99.62%, 98.11%, 96.11%, and 97.75%, respectively. Across all four sites, the mean Kappa coefficient, overall accuracy, and F1 score were 0.92, 92.92%, and 97.90%, respectively, showing an increase of 0.14, 14.17%, and 4.9% compared to the RGB images. The results indicate that the feature variable combination constructed based on UAV-based RGB remote sensing images can enhance the extraction accuracy of LC's cultivation plots without incurring additional data acquisition costs. The research findings can provide theoretical and technical references for remote sensing measurement of similar medicinal plant cultivation varieties.
Keywords: Ligusticum chuanxiong Hort., unmanned aerial vehicle (UAV), machine learning, remote sensing, Plot extraction
Received: 04 Jul 2025; Accepted: 24 Oct 2025.
Copyright: © 2025 Zhong, Rui, Ding, Liang, Jiang and Wang. This is an open-access article distributed under the terms of the Creative Commons Attribution License (CC BY). The use, distribution or reproduction in other forums is permitted, provided the original author(s) or licensor are credited and that the original publication in this journal is cited, in accordance with accepted academic practice. No use, distribution or reproduction is permitted which does not comply with these terms.
* Correspondence:
Shihong Zhong, 21800010@swun.edu.cn
Chenghui Wang, chenghuiwang@stu.cdutcm.edu.cn
Disclaimer: All claims expressed in this article are solely those of the authors and do not necessarily represent those of their affiliated organizations, or those of the publisher, the editors and the reviewers. Any product that may be evaluated in this article or claim that may be made by its manufacturer is not guaranteed or endorsed by the publisher.
