ORIGINAL RESEARCH article
Front. Plant Sci.
Sec. Plant Abiotic Stress
Biological mechanisms of sodium nitroprusside in enhancing quality of Radix Paeoniae Rubra and Radix Paeoniae Alba
Provisionally accepted- 1Heilongjiang University of Chinese Medicine, Harbin, China
- 2Mudanjiang Medical University, Mudanjiang, China
Select one of your emails
You have multiple emails registered with Frontiers:
Notify me on publication
Please enter your email address:
If you already have an account, please login
You don't have a Frontiers account ? You can register here
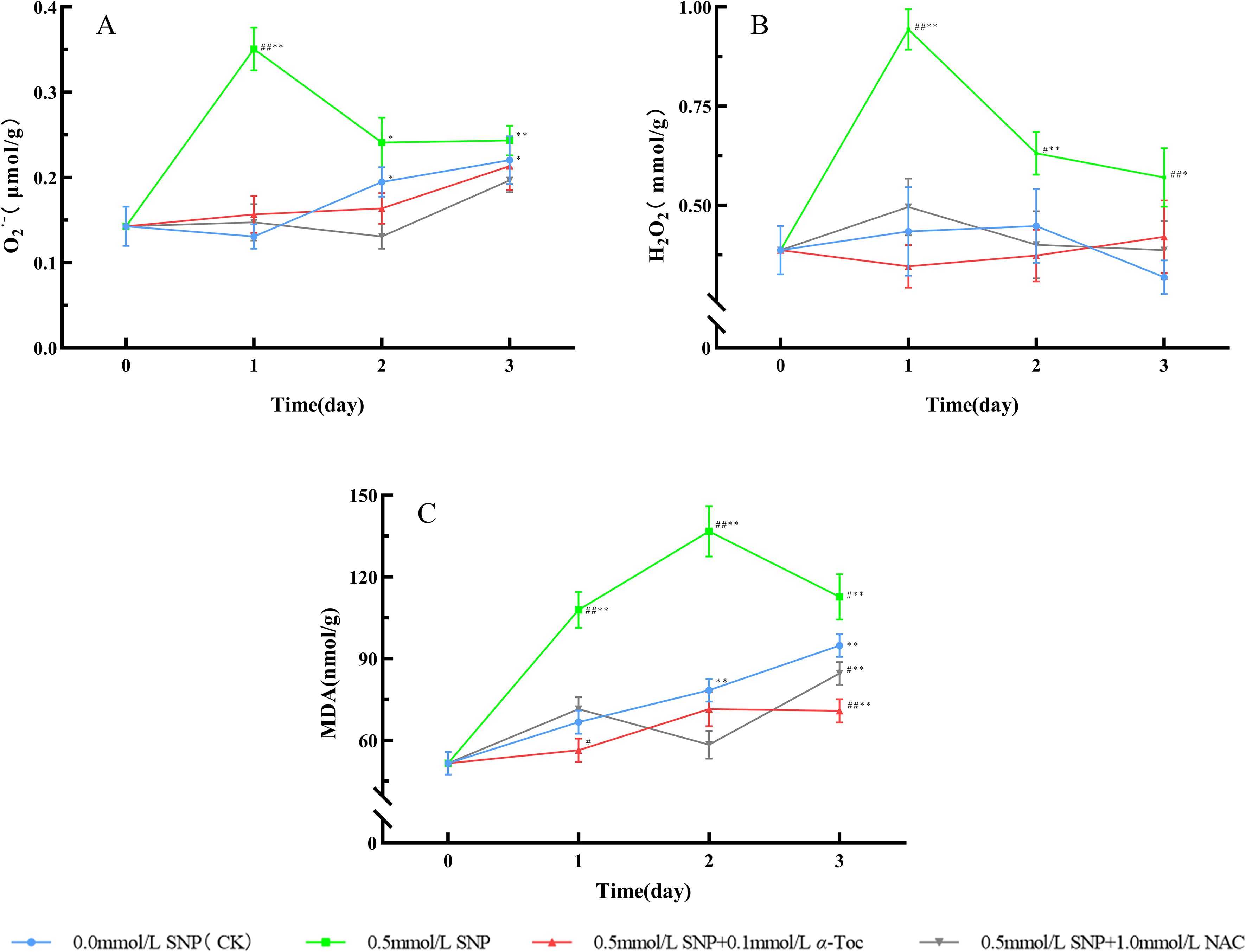
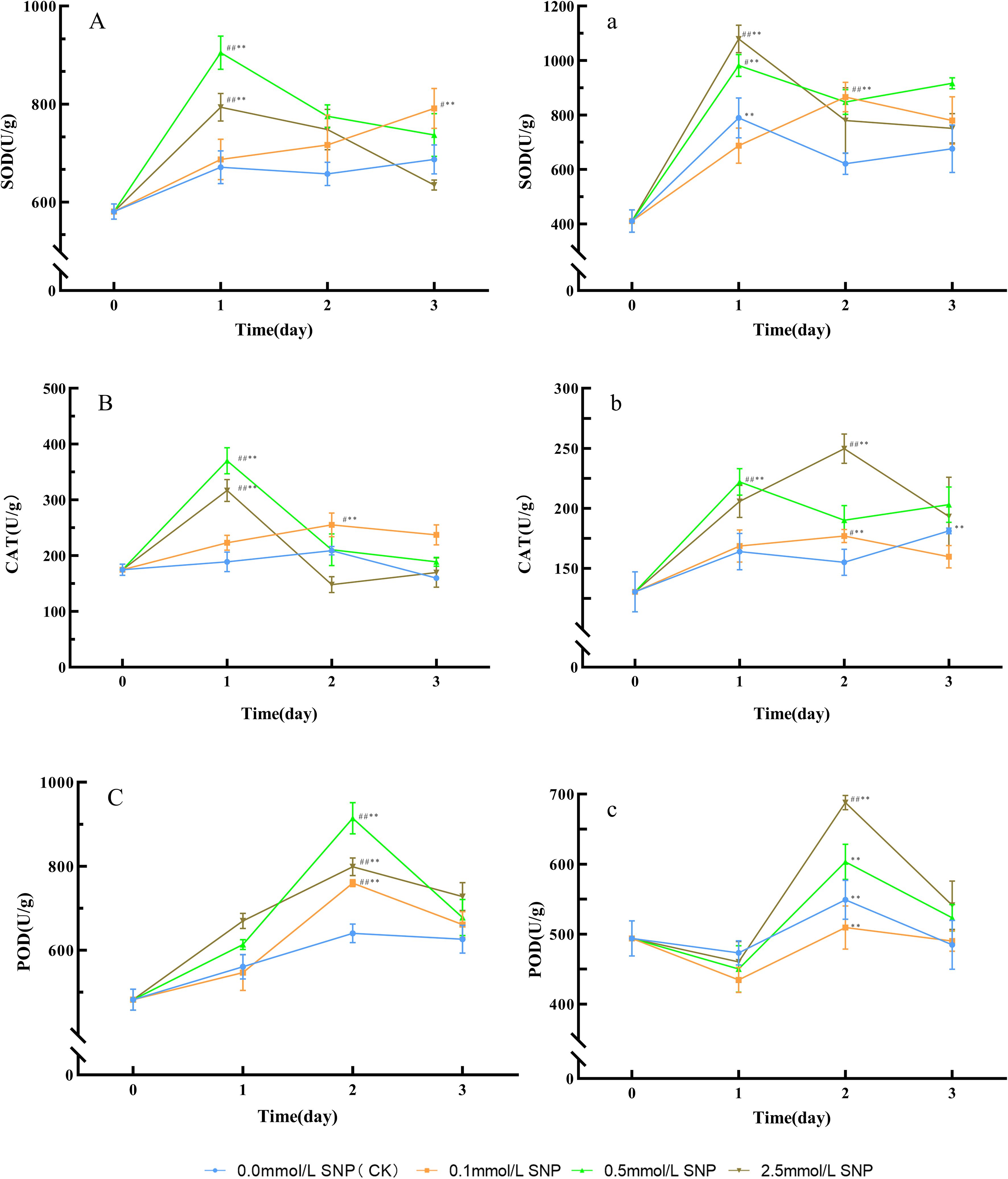
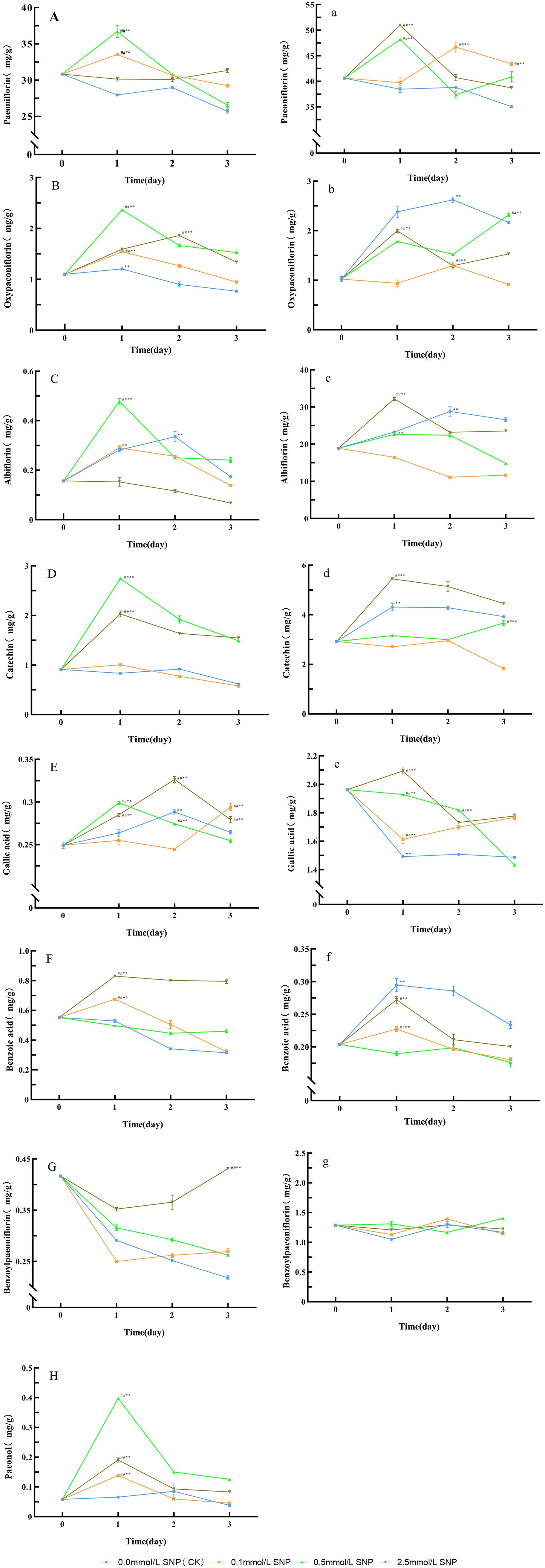
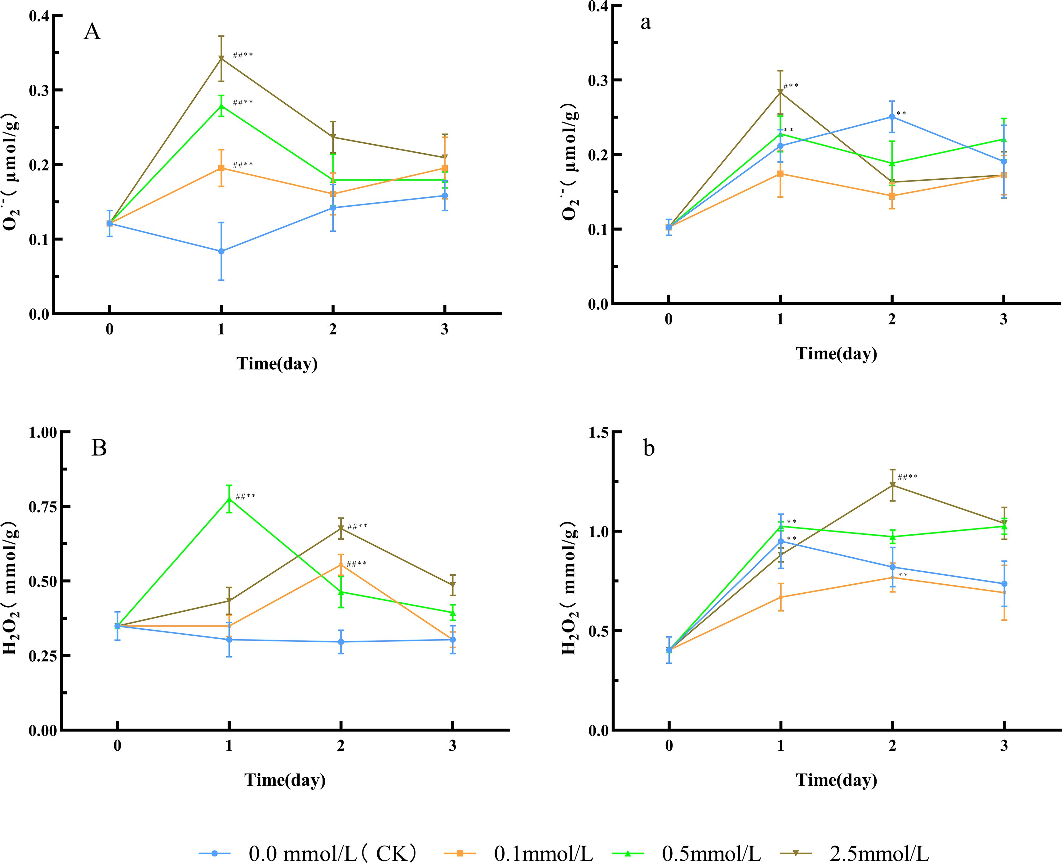
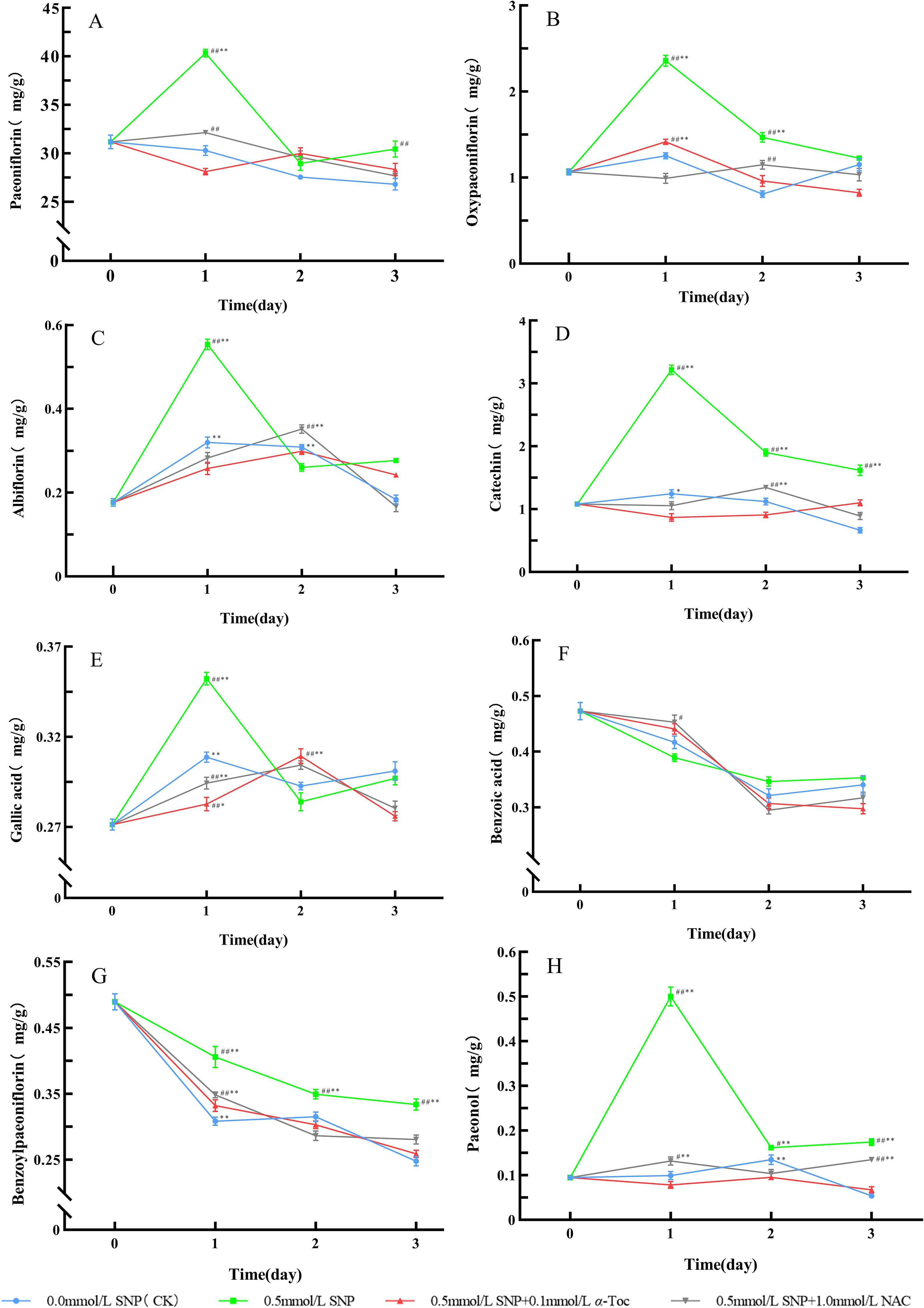
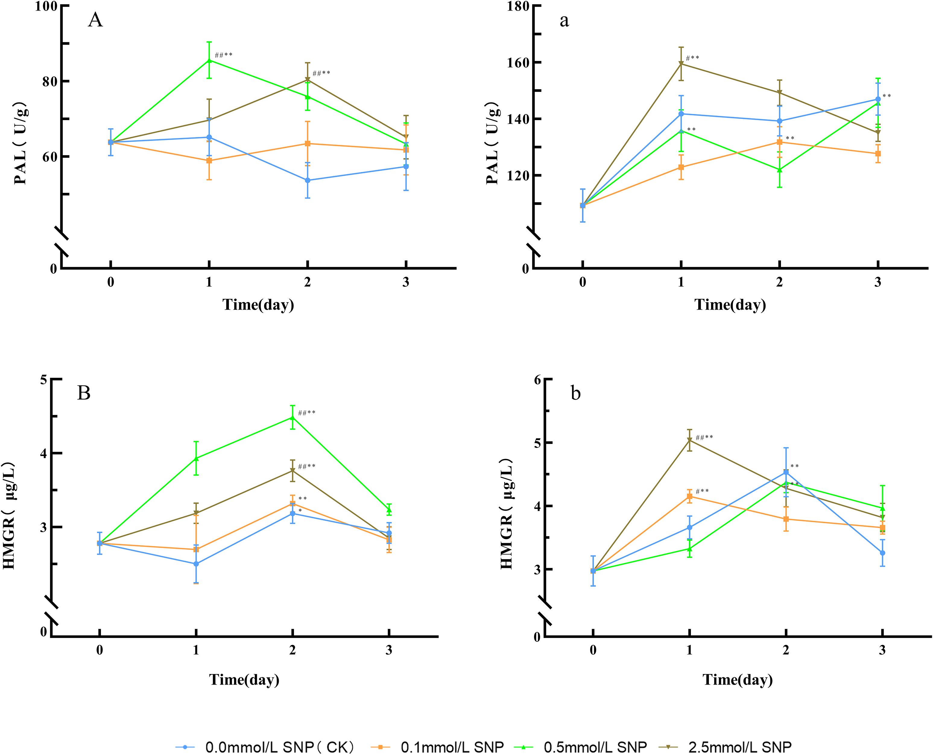
Both Paeoniae Radix Alba (RAP) and Paeoniae Radix Rubra (RRP) are important botanical drugs used in Asian countries. Although they are both derived from the roots of Paeonia lactiflora Pall., they exhibit distinct pharmacological properties due to differences in germplasm and processing methods. Due to overwhelming market demand, the cultivated varieties have become the primary source to compensate for insufficient wild resources, which have led to decreased medicinal quality. This study aimed to address this quality decline and put forward a hypothesis that exogenous nitric oxide (NO) induces the reactive oxygen species (ROS)-mediated enhancement of secondary metabolism in fresh roots of P. lactiflora, thereby improving medicinal quality. Fresh roots of P. lactiflora germplasm for Paeoniae Radix Rubra production (RRP-germplasm) and for Paeoniae Radix Alba production (RAP-germplasm) were treated with sodium nitroprusside (SNP) at concentrations of 0.0, 0.1, 0.5, or 2.5 mmol/L to induce ROS bursts. In the fresh roots of RRP-germplasm treated with 0.5 mmol/L SNP, the secondary metabolites paeoniflorin, albiflorin, oxypaeoniflorin, gallic acid, catechin, and paeonol were elevated by 19.1%, 205.4%, 115.4%, 19.9%, 201.0%, and 585.2%, respectively, and in the fresh roots of RAP-germplasm treated with 2.5 mmol/L SNP, the major secondary metabolites paeoniflorin, albiflorin, oxypaeoniflorin, gallic acid, catechin, and benzoic acid showed increases of 25.4%, 70.4%, 95.1%, 6.7%, 86.5%, and 33.6%, respectively. Moreover, experiments involving combined treatment with SNP and ROS scavengers demonstrated that ROS act as the key mediator linking exogenous NO to the secondary metabolism of P. lactiflora: scavenging ROS significantly attenuated the SNP-induced accumulation of target secondary metabolites. Combined with the above findings of SNP promoting secondary metabolite synthesis, this study confirms that exogenous NO can improve the quality of cultivated RAP and RRP via ROS-mediated secondary metabolism, and clarifies the NO-ROS-secondary metabolism regulatory axis, offering insights for other medicinal plants' quality improvement.
Keywords: Paeoniae Radix Rubra, Paeoniae Radix Alba, Nitric Oxide, Reactive Oxygen Species, secondary metabolites, Qualityof medicinal herbs
Received: 05 Jul 2025; Accepted: 27 Oct 2025.
Copyright: © 2025 Zhao, You, Deng, Du, Guo, Liu and Meng. This is an open-access article distributed under the terms of the Creative Commons Attribution License (CC BY). The use, distribution or reproduction in other forums is permitted, provided the original author(s) or licensor are credited and that the original publication in this journal is cited, in accordance with accepted academic practice. No use, distribution or reproduction is permitted which does not comply with these terms.
* Correspondence: Xiangcai Meng, mengxiangcai000@163.com
Disclaimer: All claims expressed in this article are solely those of the authors and do not necessarily represent those of their affiliated organizations, or those of the publisher, the editors and the reviewers. Any product that may be evaluated in this article or claim that may be made by its manufacturer is not guaranteed or endorsed by the publisher.
