ORIGINAL RESEARCH article
Front. Plant Sci.
Sec. Plant Nutrition
This article is part of the Research TopicThe Influence of Climatic Factors on Nutrient Uptake Efficiency in CropsView all 3 articles
Micro-nano aeration oxygenation and Column P gradient variations enhance the soil microbial environment, thereby increasing corn yield
Provisionally accepted- 1Xinjiang Agricultural University, Urumqi, China
- 2Institute of Agricultural Resources and Environment, Xinjiang Uygur Autonomous Region Academy of Agricultural Sciences, Urumqi, China
Select one of your emails
You have multiple emails registered with Frontiers:
Notify me on publication
Please enter your email address:
If you already have an account, please login
You don't have a Frontiers account ? You can register here
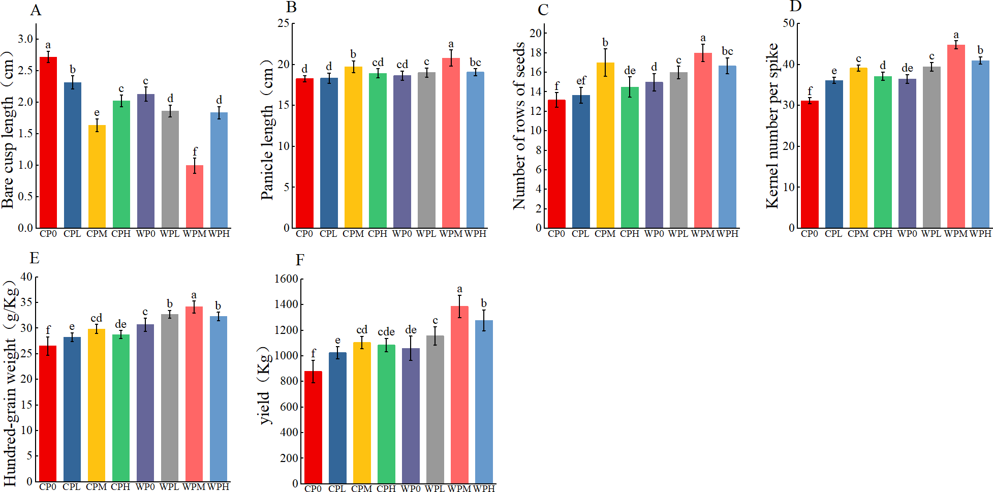
In field cultivation, crop yields are frequently limited by soil compaction and low fertilizer use efficiency. Regulating the rhizosphere microbial community structure of crops may represent an effective mitigation strategy. This study investigated the effects of micro-nano aeration oxygenation (WP) and Column P gradient levels on the microbial environment of maize rhizosphere soil and their impact on maize yield. Results demonstrate that WP significantly increased maize yield and biomass: under the medium Column P gradient (PM), the yield in the WP treatment increased from 1104.93 kg/hm² to 1387.04 kg/hm² compared to the control treatment (CP), representing a 25.56% increase (p<0.05). Soil and plant analyses further showed that, under identical Column P gradients, WP promoted more efficient absorption and utilization of available phosphorus than CP. Furthermore, by increasing soil oxygen content and improving aeration, WP enhanced enzyme activity and microbial diversity in the rhizosphere soil. Collectively, these findings indicate that combining micro-nano aeration oxygenation with appropriate phosphorus application can effectively stimulate rhizosphere microbial activity, thereby promoting maize growth and nutrient use efficiency. This approach offers a theoretical basis for optimizing irrigation and fertilization strategies in maize production systems.
Keywords: Column P gradient, Corn yield, enzyme activity, Micro-nano aeration, soil microorganisms
Received: 17 Jul 2025; Accepted: 15 Dec 2025.
Copyright: © 2025 Wang, Zhao, Fu, Wang, Zhang and Zhu. This is an open-access article distributed under the terms of the Creative Commons Attribution License (CC BY). The use, distribution or reproduction in other forums is permitted, provided the original author(s) or licensor are credited and that the original publication in this journal is cited, in accordance with accepted academic practice. No use, distribution or reproduction is permitted which does not comply with these terms.
* Correspondence:
Yanbo Fu
Zhiguo Wang
Disclaimer: All claims expressed in this article are solely those of the authors and do not necessarily represent those of their affiliated organizations, or those of the publisher, the editors and the reviewers. Any product that may be evaluated in this article or claim that may be made by its manufacturer is not guaranteed or endorsed by the publisher.
