ORIGINAL RESEARCH article
Front. Plant Sci.
Sec. Plant Pathogen Interactions
This article is part of the Research TopicInterplay of Plant Volatiles in Enhancing Immunity and Sustainable Pest ManagementView all 13 articles
Chemical Variability for Authenticated and Commercialof Artemisia absinthium L. Essential Oils and with Thujones on Tephritid fruit flies: Mediterranean Fruit Fly Ceratitis capitata (Wiedemann) and Caribbean Fruit Fly Anastrepha suspensa (Loew)
Provisionally accepted- 1USDA-ARS Subtropical Horticulture Research Station, Miami, United States
- 2University of HealthSciences, Faculty of Gulhane Pharmacy, Department of Pharmaceutical Botany, Ankara, Türkiye
- 3Anadolu University, Faculty of Pharmacy, Department of Pharmacognosy, Eskisehir, Türkiye
Select one of your emails
You have multiple emails registered with Frontiers:
Notify me on publication
Please enter your email address:
If you already have an account, please login
You don't have a Frontiers account ? You can register here
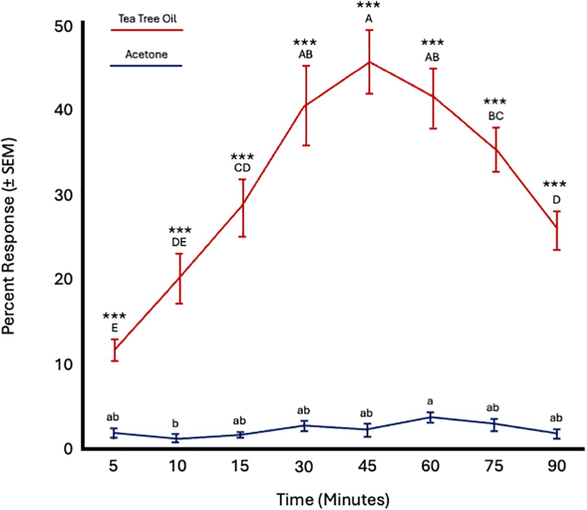
Introduction: Fruit flies, belonging to the family Tephritidae, such as the Mediterranean fruit fly (Ceratitis capitata Wiedemann) and the Caribbean fruit fly (Anastrepha suspensa Loew), are recognized as major agricultural pests worldwide. Their larval stages infest a wide array of fruits and vegetables, causing significant economic losses through direct damage to crops and restrictions on international trade. Conventional pest management, heavily reliant on synthetic pesticides, has led to health concerns and the emergence of pesticide resistance. In response, semiochemicals, particularly essential oils and their constituents, are emerging as promising alternatives. Methods: In this study, authentication of Artemisia absinthium L. (wormwood, Asteraceae) (Asd) essential oil (EO) was compared with lab-distilled commercial five A. absinthium EOs (A1 to A5) using Essential oils, hydrodistilled from Artemisia absinthium L. (wormwood, Asteraceae) aerial parts from one wild (Asd) and five commercial sources (A1 to A5) in Turkiye, were analyzed by gas chromatography with a flame ionization detector (GC-FID) and gas chromatography-mass spectrometry (GC-MS), and essential oils were tested in behavioral assays with sterile male C. capitata. Key components were evaluated for their potential attraction of male C. capitata, and the toxicities of compounds to female A. suspensa were determined. Results: Cluster analysis revealed three major groups of compoundschemotype clades: β-thujone and (Z)-β-ocimene epoxide, β-thujone and camphor, and only camphor-rich. In short-range attraction bioassays, Asd and A1 samples captured the most male C. capitata at 30 min. These findings were linked to a higher α,+β-thujone content in samples Asd (41.04%) and A1 (29.6%). A set of bioassays was conducted to compare the response of C. capitata to α-thujone, α,β-thujone, and tea tree oil, a strong medfly attractant. Medflies were similarly attracted to both α-thujone and α,β-thujone from 30 to 90 minutes. In a subsequent bioassay, α-thujone and α,β-thujone demonstrated strong toxicity to adult female A. suspensa, with the LD50 values being 0.21 and 0.14 µg/µL, respectively. Discussion: These findings demonstrate that thujones have both attractant properties for male C. capitata and significant toxicity to A. suspensa, making them promising candidate compounds for integration into comprehensive integrated pest management strategies.
Keywords: Semiochemical, Artemisia absinthium, wormwood, α-thujone, β-thujone, Medfly, Caribfly, Integrated Pest Management
Received: 28 Jul 2025; Accepted: 16 Sep 2025.
Copyright: © 2025 Tabanca, Cloonan, Yang, Baldemir Kilic and Demirci. This is an open-access article distributed under the terms of the Creative Commons Attribution License (CC BY). The use, distribution or reproduction in other forums is permitted, provided the original author(s) or licensor are credited and that the original publication in this journal is cited, in accordance with accepted academic practice. No use, distribution or reproduction is permitted which does not comply with these terms.
* Correspondence: Nurhayat Tabanca, nurhayat.tabanca@usda.gov
Disclaimer: All claims expressed in this article are solely those of the authors and do not necessarily represent those of their affiliated organizations, or those of the publisher, the editors and the reviewers. Any product that may be evaluated in this article or claim that may be made by its manufacturer is not guaranteed or endorsed by the publisher.
