ORIGINAL RESEARCH article
Front. Plant Sci.
Sec. Plant Abiotic Stress
This article is part of the Research TopicPlant Responses to Abiotic Stress: Unraveling Complex Mechanisms through Genomics and PhysiologyView all 5 articles
Spectral Light Quality Influences Photosynthesis and multiprotein complex proteins and Enhances Drought Tolerance in Okra Rootstocks
Provisionally accepted- 1VIT University, Vellore, India
- 2Annamalai University, Annamalai Nagar, India
- 3Gyeongsang National University, Jinju-si, Republic of Korea
Select one of your emails
You have multiple emails registered with Frontiers:
Notify me on publication
Please enter your email address:
If you already have an account, please login
You don't have a Frontiers account ? You can register here
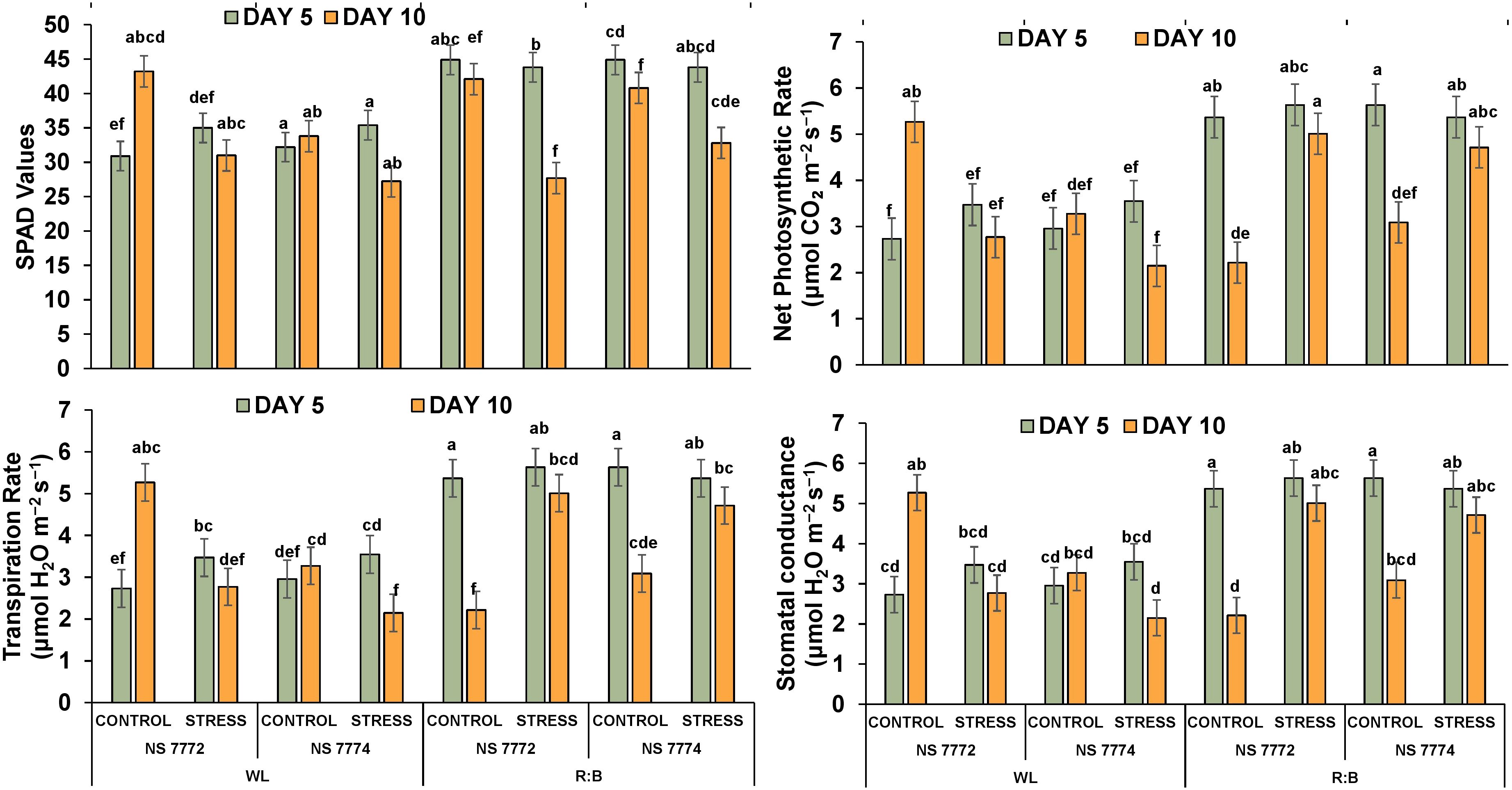
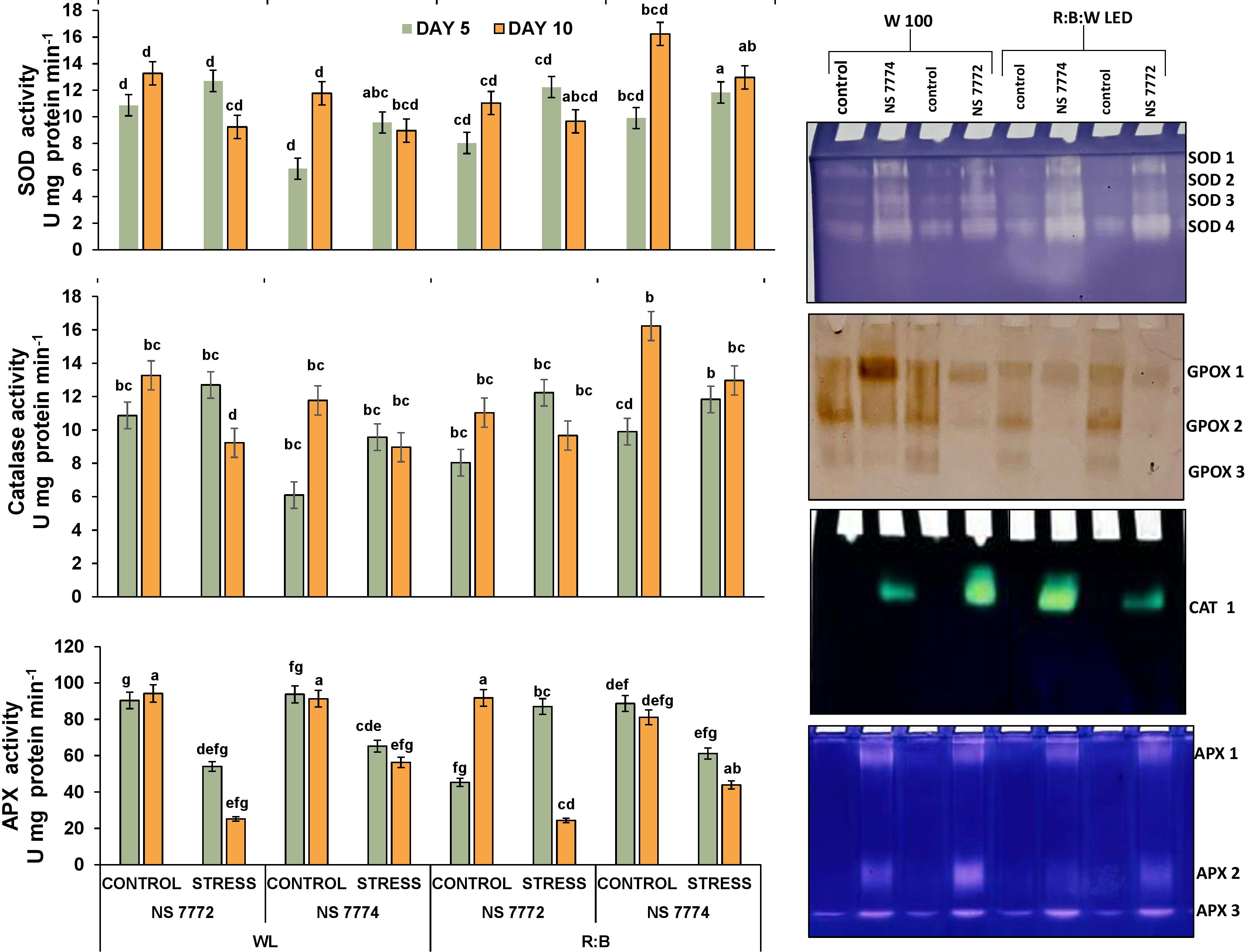
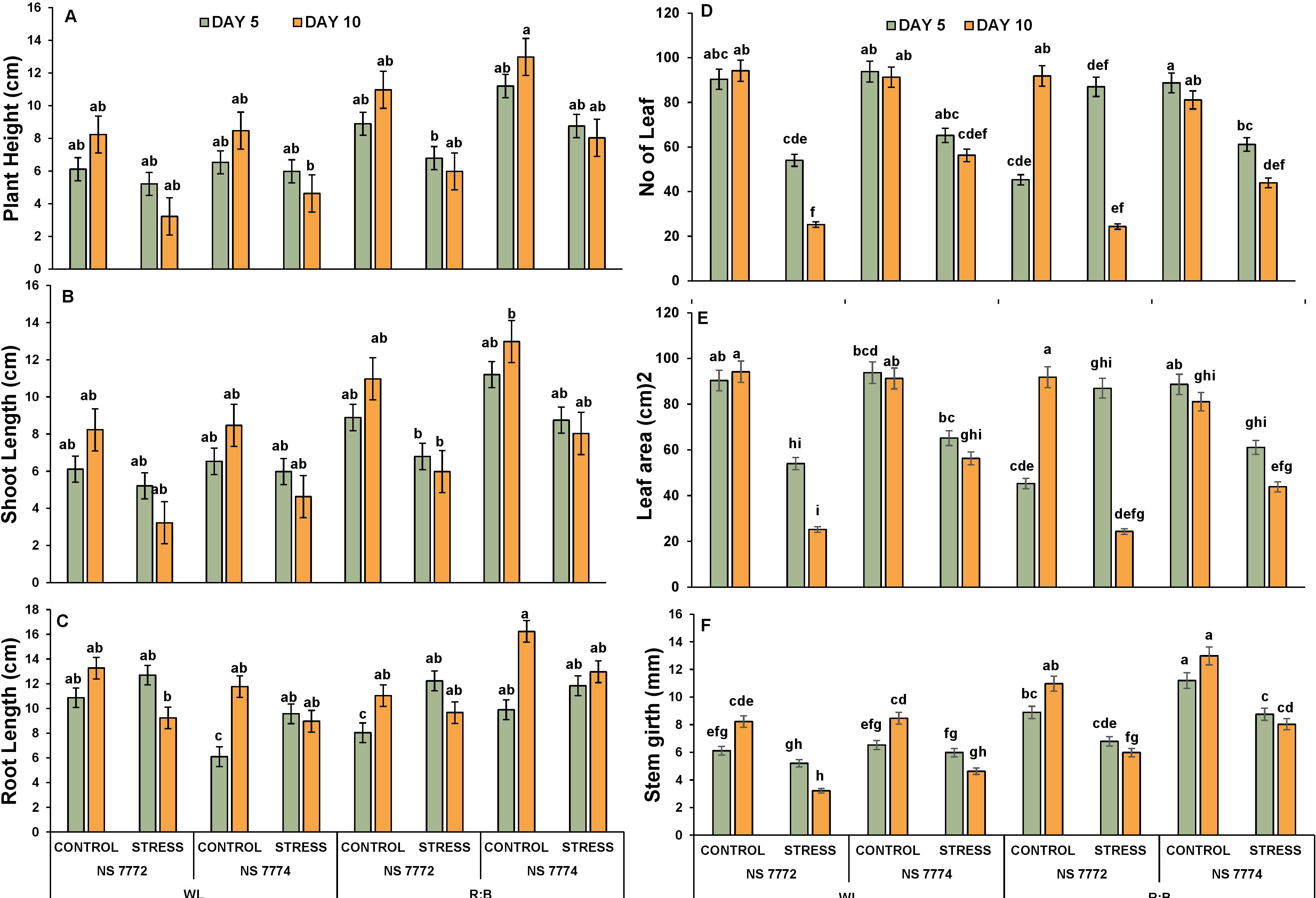
Abstract Introduction: Global agriculture is seriously threatened by drought stress, especially in arid and semiarid areas where crop production is already low. Okra (Abelmoschus esculentus L.), a nutritionally beneficial yet underutilised crop, experiences considerable productivity and quality losses. Plant cellular activities are modulated by light quality, which impacts stress adaptation. To increase okra productivity and stress resilience, this study attempts to optimise the performance of drought-resilient rootstocks under various spectral light conditions. Methods: Two okra genotypes, NS 7772 and NS 7774, were evaluated in this study under drought conditions with two light spectra: red: blue: white (R: B) light-emitting diodes (LEDs) and white light (WL). Results and discussion: Infrared thermographic images showed lower canopy temperatures, indicating increased water content under R:B light conditions. NS-7774 exhibited improved drought tolerance confirmed by decreased malondialdehyde (MDA) levels and enhanced antioxidant enzyme activity. Metabolic stability was indicated by preserved photosynthetic protein complexes and stress-responsive polypeptides in the thylakoidal multiprotein complex profiling. Nutrient preservation was validated through SEM-EDAX analysis, assessments of chlorophyll, total soluble protein, isoenzyme patterns, and antioxidant activity (CAT, SOD, APX, GPOX). Multivariate analysis highlighted six critical factors contributing to resilience. These results demonstrate that combinational spectral light modifications can greatly increase the tolerance of okra to drought. The superior performance of NS 7774 under R:B light conditions suggests the potential suitability of NS 7774 for cultivation in drought-prone zones of India.
Keywords: Drought stress, Grafting, Light spectra (R:B), Physiological traits, cellular processes, Stresstolerance
Received: 16 Sep 2025; Accepted: 29 Nov 2025.
Copyright: © 2025 Suresh, Rameshkumar, Lee, Bae and Muneer. This is an open-access article distributed under the terms of the Creative Commons Attribution License (CC BY). The use, distribution or reproduction in other forums is permitted, provided the original author(s) or licensor are credited and that the original publication in this journal is cited, in accordance with accepted academic practice. No use, distribution or reproduction is permitted which does not comply with these terms.
* Correspondence: Sowbiya Muneer
Disclaimer: All claims expressed in this article are solely those of the authors and do not necessarily represent those of their affiliated organizations, or those of the publisher, the editors and the reviewers. Any product that may be evaluated in this article or claim that may be made by its manufacturer is not guaranteed or endorsed by the publisher.
