ORIGINAL RESEARCH article
Front. Plant Sci.
Sec. Sustainable and Intelligent Phytoprotection
This article is part of the Research TopicAdvanced Imaging and Phenotyping for Sustainable Plant Science and Precision Agriculture 4.0View all 5 articles
In situ estimation of cotton fourth internode length and height-to-node ratio using UAV-derived vegetation indices and machine learning algorithms
Provisionally accepted- 1College of Engineering, University of Georgia, Tifton, United States
- 2Department of Entomology, University of Georgia, Tifton, United States
- 3Department of Crop and Soil Sciences, University of Georgia, Tifton, United States
- 4Department of Mechanical Engineering, Clemson University, Clemson, United States
- 5College of Engineering, Department of Entomology, University of Georgia, Tifton, United States
Select one of your emails
You have multiple emails registered with Frontiers:
Notify me on publication
Please enter your email address:
If you already have an account, please login
You don't have a Frontiers account ? You can register here
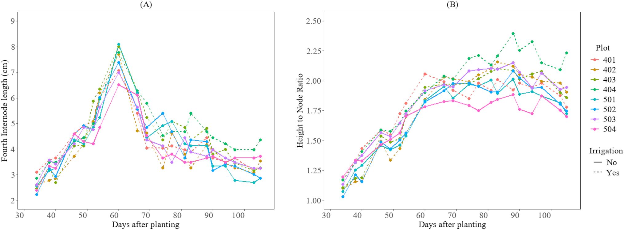
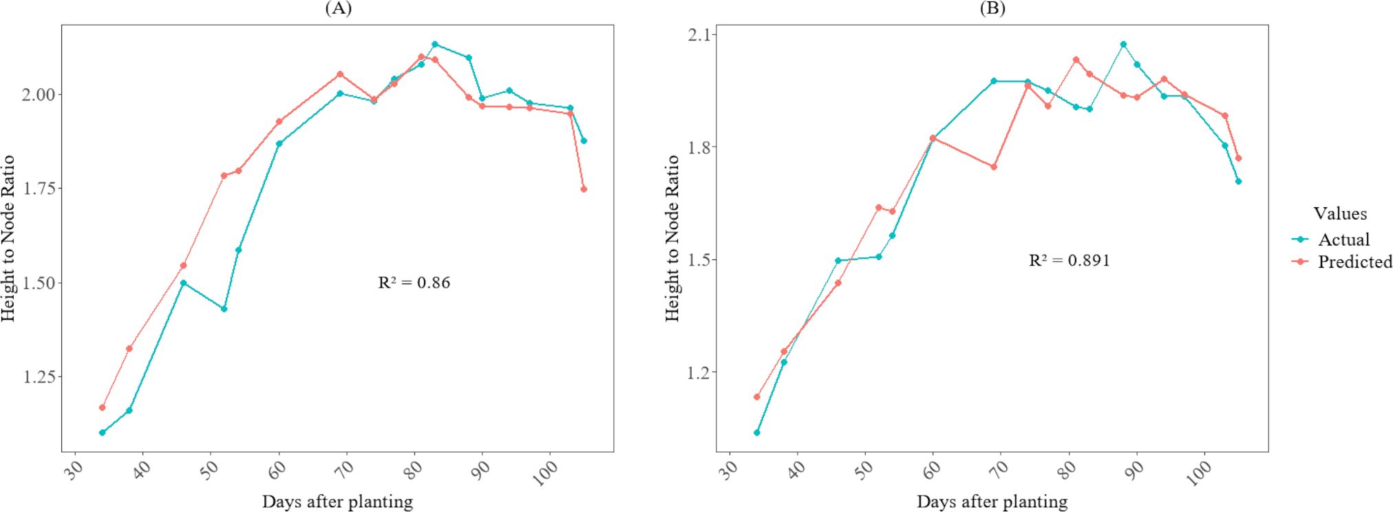
This study investigates the potential of utilizing non-parametric, non-linear machine learning (ML) algorithms, in conjunction with vegetation indices (VIs) derived from unmanned aerial vehicles (UAVs), to estimate the height-to-node ratio and the fourth internode length in cotton plants. The objective was to enhance the monitoring of these traits, thereby providing more accurate guidance on the optimal timing of plant growth regulator (PGR) applications. Data was collected from eight plots in our experimental field, with six plots used for model training and two for testing. During model development, the performance was assessed using nested 5-fold cross-validation, repeated three times with different partitions. For each algorithm, hyperparameters were tuned on the inner folds via Bayesian optimization with a Gaussian process surrogate, and the tuned model was evaluated on the corresponding outer test fold. We evaluated the performance of the ML algorithms using the Friedman test and interpreted their result using the Wilcoxon signed-rank test. The results demonstrate that VIs, combined with ML algorithms, can reliably estimate both the height-to-node ratio and the length of the fourth internode. Additionally, among the tested ML algorithms, Support Vector Regression (SVR) demonstrated superior performance for predicting height-to-node ratio, with an R² value of 0.8257 (95% CI: 0.7404 - 0.9110), RMSE value of 0.0998 (95% CI: 0.0953 - 0.1044), and rRMSE value of 5.51 (95% CI: 5.30 - 5.7). Meanwhile, the CatBoost demonstrated higher performance in estimating the fourth internode length, with an R² value of 0.799 (95% CI: 0.7570 - 0.8415), an RMSE of 0.1788 (95% CI: 0.1631 - 0.1945), and a rRMSE of 10.64 (95% CI: 9.90 - 11.38). Furthermore, using the Shapley Additive exPlanations (SHAP) approach, we revealed the contribution of each of the VI to the model's prediction. Overall, the findings demonstrate that UAV-derived VIs, combined with a machine learning algorithm, can consistently estimate the mentioned cotton traits. Additionally, this approach can replace traditional field-based measurements, thereby supporting more efficient monitoring and precise PGR management decisions.
Keywords: Crop Phenotyping, Decision Support, plant growth regulator, precision agriculture, remote sensing
Received: 10 Oct 2025; Accepted: 28 Nov 2025.
Copyright: © 2025 Ngimbwa, Kiobia, Mwitta, Porter, Velni and Rains. This is an open-access article distributed under the terms of the Creative Commons Attribution License (CC BY). The use, distribution or reproduction in other forums is permitted, provided the original author(s) or licensor are credited and that the original publication in this journal is cited, in accordance with accepted academic practice. No use, distribution or reproduction is permitted which does not comply with these terms.
* Correspondence: Peter C Ngimbwa
Disclaimer: All claims expressed in this article are solely those of the authors and do not necessarily represent those of their affiliated organizations, or those of the publisher, the editors and the reviewers. Any product that may be evaluated in this article or claim that may be made by its manufacturer is not guaranteed or endorsed by the publisher.
