ORIGINAL RESEARCH article
Front. Plant Sci.
Sec. Sustainable and Intelligent Phytoprotection
Advanced Hyperspectral Image Processing and Machine Learning Approaches for Early Detection of Wheat Stem Rust
Provisionally accepted- 1Peter the Great St.Petersburg Polytechnic University, Saint Petersburg, Russia
- 2FGBU Vserossijskij naucno-issledovatel'skij institut zasity rastenij, Pushkin, Russia
Select one of your emails
You have multiple emails registered with Frontiers:
Notify me on publication
Please enter your email address:
If you already have an account, please login
You don't have a Frontiers account ? You can register here
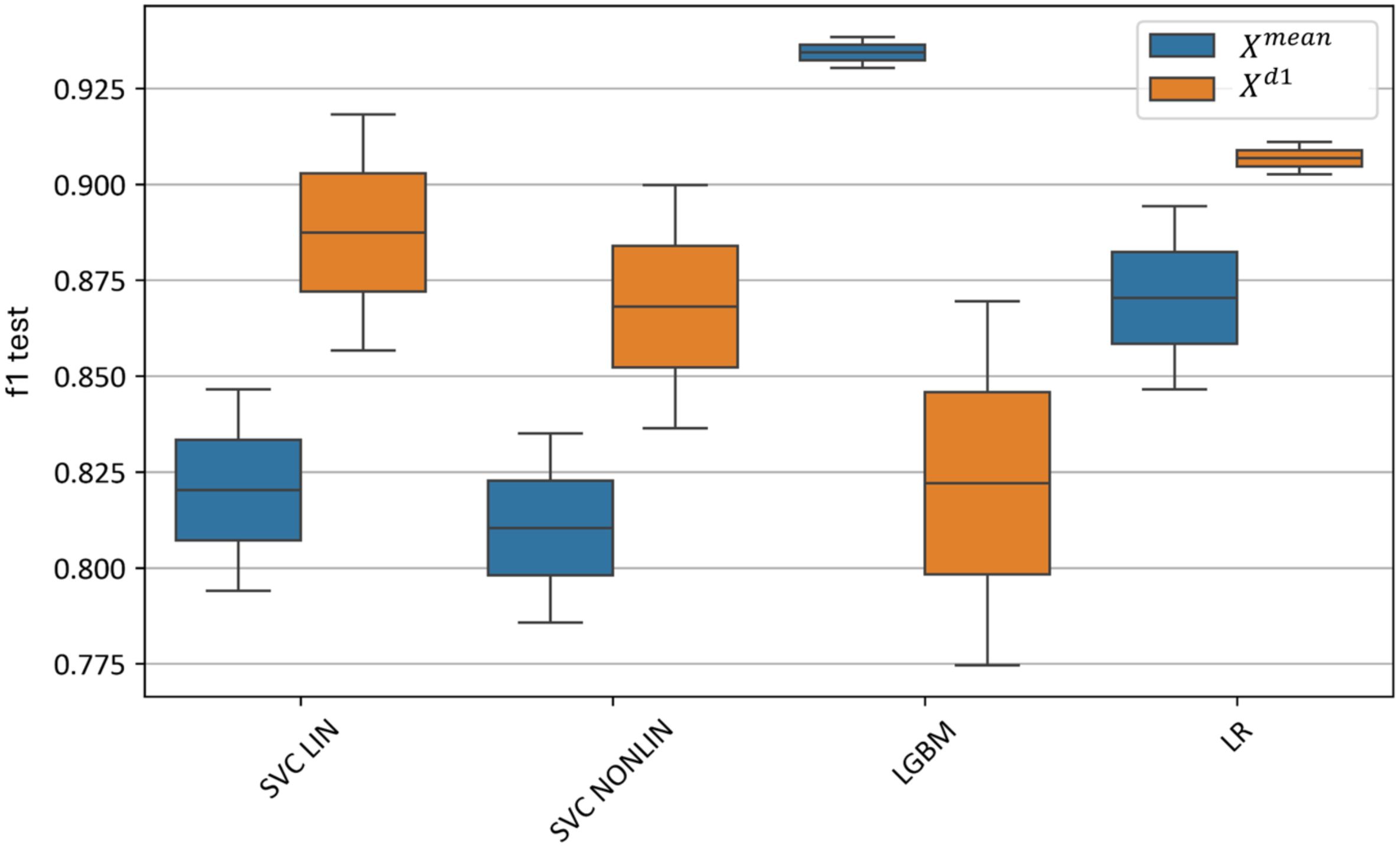
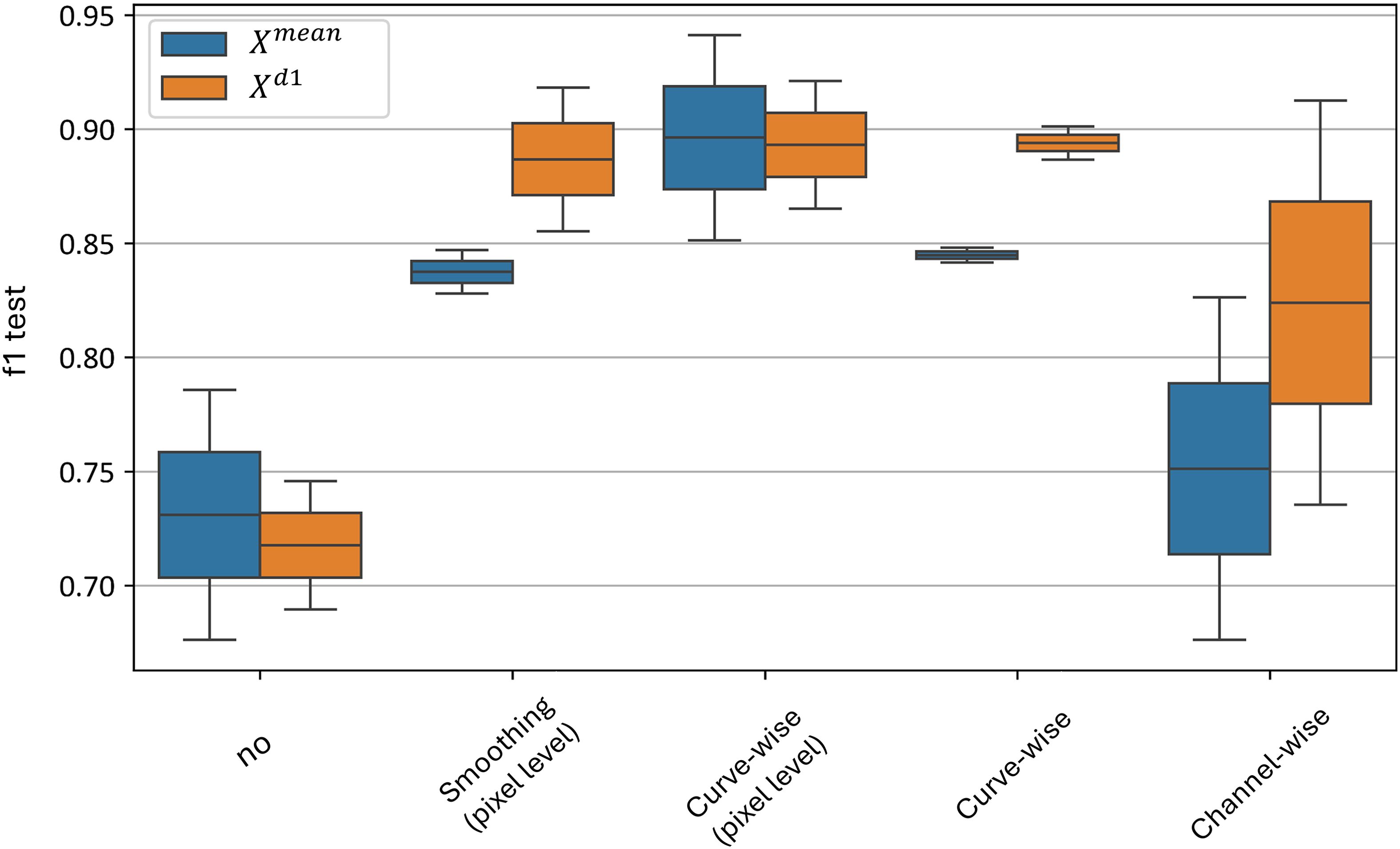
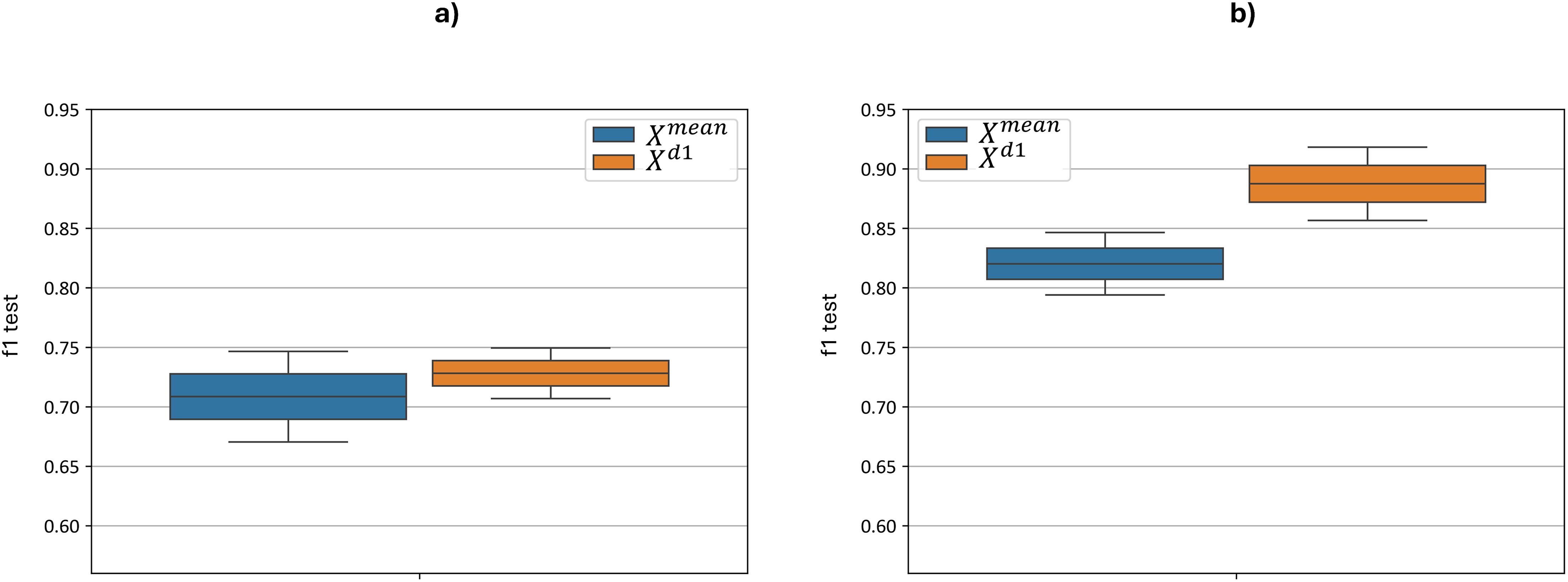
Hyperspectral remote sensing has shown great promise for early detection of plant diseases, yet its adoption is often hindered by spectral variability, noise, and distribution shifts across acquisition conditions. In this study, we present a systematic preprocessing pipeline tailored for hyperspectral data in plant disease detection, combining pixel-wise correction, curve-wise normalization and smoothing, and channel-wise standardization. The pipeline was evaluated on an experiment on early detection of stem rust (Puccinia graminis f. sp. tritici Eriks. and E. Henn.) of wheat (Triticum aestivum L.). The pipeline implementation enhanced the classification models accuracy raising F1-scores of logistic regression, support vector machines and Light Gradient Boosting Machine from 0.67–0.75 (raw spectra) to 0.86–0.94. Notably, it enabled reliable detection of asymptomatic infections as early as 4 days after inoculation, which was not achievable without preprocessing. The framework demonstrates potential for generalization beyond plant pathology, suggesting applicability to a range of hyperspectral remote sensing tasks such as vegetative health monitoring, environmental assessment, and material classification through improved signal interpretability and robustness. This work lays the groundwork for advancing hyperspectral image processing by proposing a reproducible, scalable pipeline that could be adapted for integration into unmanned and satellite imaging systems.
Keywords: early plant disease detection, Explainable ML, Feature importance, Hyperspectral data processing, machine learning, preprocessingpipeline, wheat (Triticum aestivum L.), wheat stem rust (Pucciniagraminis f. sp. tritici )
Received: 15 Oct 2025; Accepted: 29 Nov 2025.
Copyright: © 2025 Fedotov, Eremenko, Kuznetsova, Baranova and Terentev. This is an open-access article distributed under the terms of the Creative Commons Attribution License (CC BY). The use, distribution or reproduction in other forums is permitted, provided the original author(s) or licensor are credited and that the original publication in this journal is cited, in accordance with accepted academic practice. No use, distribution or reproduction is permitted which does not comply with these terms.
* Correspondence:
Alexander Fedotov
Anton Terentev
Disclaimer: All claims expressed in this article are solely those of the authors and do not necessarily represent those of their affiliated organizations, or those of the publisher, the editors and the reviewers. Any product that may be evaluated in this article or claim that may be made by its manufacturer is not guaranteed or endorsed by the publisher.
