ORIGINAL RESEARCH article
Front. Plant Sci.
Sec. Plant Symbiotic Interactions
This article is part of the Research TopicMicrobial-Fungal Symbioses: Ecological Implications, Environmental Impact, and Biotechnological Applications in Natural and Agricultural SystemsView all 7 articles
Endophyte Community Shifts in Rubus chingii during Fruit Ripening Are Associated with Key Metabolites
Provisionally accepted- 1Jiangxi Institute of Traditional Chinese Medicine, Nanchang, China
- 2Jiangxi Research Center for the Protection and Development of Traditional Chinese Medicine Resources, Nanchang, China
- 3Key Laboratory of Germplasm Selection and Breeding of Chinese Medicinal Materials, Nanchang, China
- 4Jiangxi Academy of Sciences, Nanchang, China
Select one of your emails
You have multiple emails registered with Frontiers:
Notify me on publication
Please enter your email address:
If you already have an account, please login
You don't have a Frontiers account ? You can register here
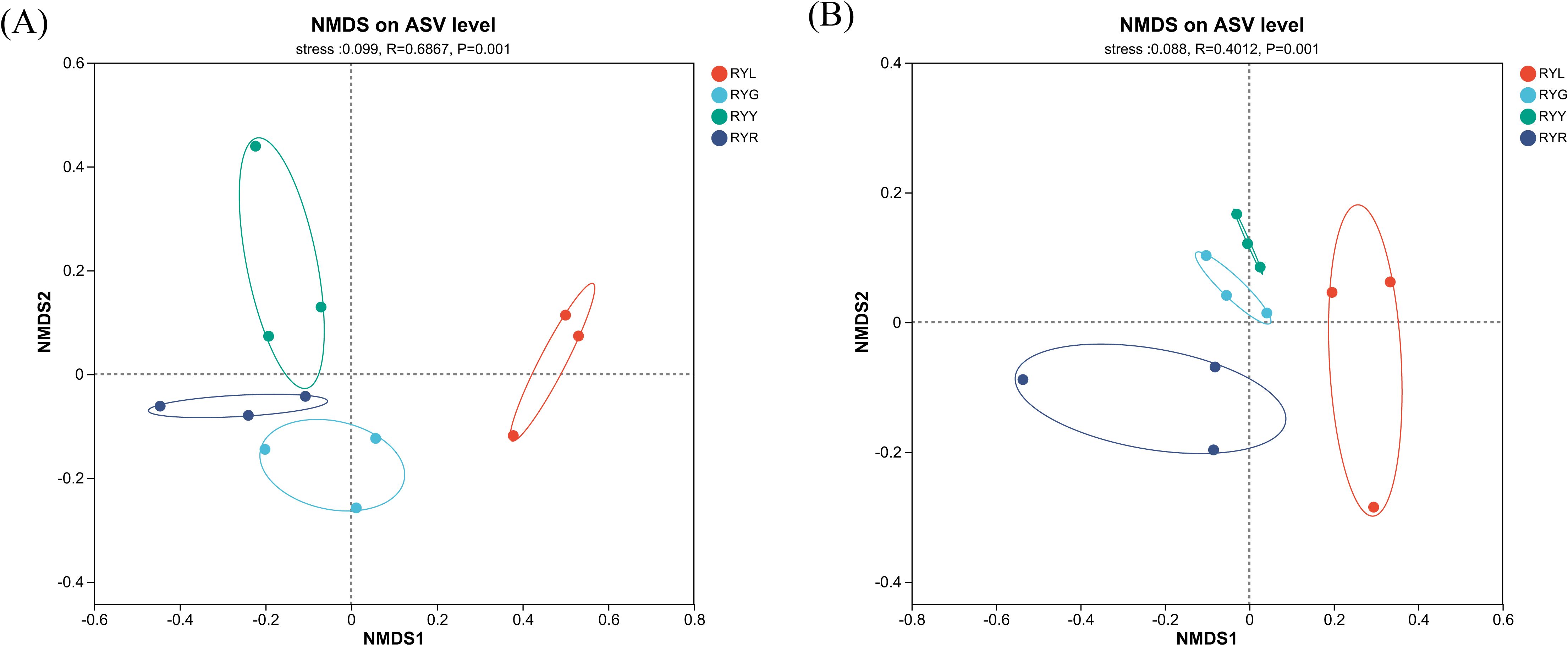
Introduction: The fruit of Rubus chingii Hu is a prized traditional medicine and functional food, with its quality predominantly determined by its secondary metabolites. While the metabolic dynamics during fruit ripening are documented, the role of the endophytic microbiome, a key regulator of plant physiology, remains entirely unexplored. Methods: An integrated approach, combining 16S/ITS amplicon sequencing with spectroscopic and chromatographic analyses, were employed to investigate the correlation between the endophytic microbiome and the metabolome across four distinct ripening stages of R. chingii fruit. Results: Significant stage-dependent shifts in the community structure of both bacterial and fungal endophytes were revealed in this study. Notably, Spearman correlation analysis identified specific microbial taxa, including the bacterial genera Geodermatophilus and Brevundimonas, and the fungal yeasts Metschnikowia and Starmerella, that were significantly positively correlated with the accumulation of key secondary metabolites (ellagic acid, flavonoids, and phenolic acids). Concurrently, the content of these beneficial metabolites and the fruit's antioxidant capacity decreased markedly as ripening progressed. Discussion: This study provides the first evidence of a structured succession in the endophytic microbiome of R. chingii fruit and its close association with the dynamics of medically relevant This is a provisional file, not the final typeset article metabolites. The findings propose that the ripening process is a tripartite interplay between host development, microbial succession, and metabolic reprogramming. The identified keystone taxa represent promising targets for future microbiome-based strategies to manipulate fruit quality, offering novel insights into the role of the microbiome in medicinal plant biology and its potential application in sustainable agriculture.
Keywords: Rubus chingii, Endophytic microbiome, secondary metabolites, Chinese medicinalmaterials, Sustainable horticulture
Received: 17 Oct 2025; Accepted: 28 Nov 2025.
Copyright: © 2025 Xie, Dai, Zeng, Tian, Zou, Meng, Li and Wu. This is an open-access article distributed under the terms of the Creative Commons Attribution License (CC BY). The use, distribution or reproduction in other forums is permitted, provided the original author(s) or licensor are credited and that the original publication in this journal is cited, in accordance with accepted academic practice. No use, distribution or reproduction is permitted which does not comply with these terms.
* Correspondence:
Jin Li
Zhaoxiang Wu
Disclaimer: All claims expressed in this article are solely those of the authors and do not necessarily represent those of their affiliated organizations, or those of the publisher, the editors and the reviewers. Any product that may be evaluated in this article or claim that may be made by its manufacturer is not guaranteed or endorsed by the publisher.
